| ²é¿´: 954 | »Ø¸´: 6 | |||
promisewind½ð³æ (ÖøÃûдÊÖ)
|
[½»Á÷]
Ò»µÀÓÐÒâ˼µÄÖ¤Ã÷Ìâ ÒÑÓÐ4È˲ÎÓë
|
|
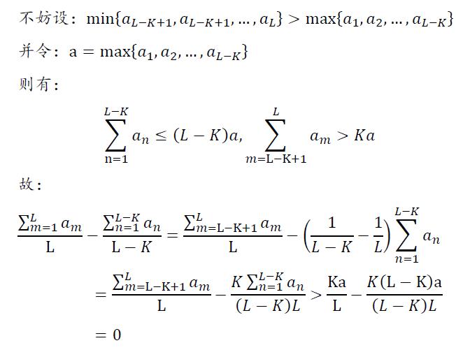
ÒÑÖªa1, a2, a3 ,a4, a5, ¼ÙÉèa4, a5 ´óÓÚmax£¨a1,a2,a 3£© ÈÝÒ׿´³ö £¨a1+a2+a3+a4+a5)/5 > (a1+a2+a3)/3 ¿ÉÔõÃ´ÍÆµ¼Ö¤Ã÷ÄØ£¿¿ÉÒÔ¼ÙÉèÓÐL¸öÊý£¬ÆäÖÐK¸ö±ÈÆäËû£¨L£K£©¸ö¾ù´ó£¬Ò²ÓÐÀàËÆ½áÂÛ£¬²»ÖªµÀÔõô֤Ã÷£¬»¹Çë¸ßÊִͽ̡£ |
» ²ÂÄãϲ»¶
Ò»Ö¾Ô¸»ªÄÏÀí¹¤´óѧ331·Ö²ÄÁÏÇóµ÷¼Á
ÒѾÓÐ11È˻ظ´
271Çóµ÷¼Á
ÒѾÓÐ40È˻ظ´
Çóµ÷¼ÁѧУ
ÒѾÓÐ3È˻ظ´
332Çóµ÷¼Á
ÒѾÓÐ15È˻ظ´
297Çóµ÷¼Á
ÒѾÓÐ25È˻ظ´
±¾¿ÆÎ÷¹¤´ó 324Çóµ÷¼Á
ÒѾÓÐ5È˻ظ´
297¹¤¿Æµ÷¼Á?
ÒѾÓÐ7È˻ظ´
µ÷¼Á
ÒѾÓÐ11È˻ظ´
08¹¤Ñ§ 309·ÖÇóµ÷¼Á
ÒѾÓÐ7È˻ظ´
¸÷λÀÏʦºÃ£¬Çóµ÷¼Á£¬±¾¿Æ211£¬Ò»Ö¾Ô¸Ìì½ò´óѧÉúÎïÓëҽҩѧ˶£¬²îÁ½Ãû¼ȡ¡£
ÒѾÓÐ9È˻ظ´
» ±¾Ö÷ÌâÏà¹Ø¼ÛÖµÌùÍÆ¼ö£¬¶ÔÄúͬÑùÓаïÖú:
ÈÈÁ¦Ñ§¹¦ÎÊÌâÇó½Ì
ÒѾÓÐ19È˻ظ´
ʲôʱºò¿ªÊ¼×öÊýÑ§ÕæÌâ±È½ÏºÃ£¬»òÕß˵×î¶ÔµÄʱ¼äÊÇɶʱºò
ÒѾÓÐ14È˻ظ´
Êýѧ֤Ã÷Ì⣺Á½ÊýÏà³Ë Ö¤Ã÷³Ë»ýµÄλÊý
ÒѾÓÐ15È˻ظ´
±¨¿¼Ò»½¨£¬¹¤×÷Ö¤Ã÷µÄÎÊÌ⣿
ÒѾÓÐ7È˻ظ´
Ò»µÀÖÐѧ¼¸ºÎÖ¤Ã÷Ì⣬ÇóÖú³õ¸ßÖÐרְÊýѧ½Ìʦδ¹û£¬´ó¼Ò°ï°ïæ
ÒѾÓÐ7È˻ظ´
¹ØÓÚµ¼Ê¦×ÊÖúÖ¤Ã÷ÓÐÎÊÌâÇë½Ì
ÒѾÓÐ8È˻ظ´
ÕâµÀ¹ØÓÚÆ«µ¼ÊýµÄÖ¤Ã÷ÌâÔõô×ö
ÒѾÓÐ4È˻ظ´
Ò»µÀ¸ßÖÐÊýѧÌâµÄ½â·¨£¬¿´²»¶®°¡£¬¸ßÈËÇë½ø£¡
ÒѾÓÐ6È˻ظ´
×ÔÈ»¿ÆÑ§»ù½ð½áÌâ»á¸øÊ²Ã´Ö¤Ã÷ÄØ?
ÒѾÓÐ6È˻ظ´
Ò»¸ßÊý»ù´¡Ö¤Ã÷Ì⣬ÏëÁ˺ܾÃÎÒ»¹ÊDz»»á£¬´ó¼Ò°ï°ï棬ллÁË¡£
ÒѾÓÐ17È˻ظ´
ÇóÖúÒ»µÀ¹ØÓÚÕý¶¨¾ØÕóµÄÖ¤Ã÷Ìâ
ÒѾÓÐ5È˻ظ´
Ò»µÀ¹ØÓÚÉ̿ռäµÄÖ¤Ã÷Ìâ
ÒѾÓÐ13È˻ظ´
ÇóÎÊÔÚУ֤Ã÷µÄÎÊÌâ
ÒѾÓÐ8È˻ظ´
Ò»¸ö¾ØÕóÖ¤Ã÷Ì⣬ÇóÖú£¡
ÒѾÓÐ4È˻ظ´
Êýѧ¶þµÄÖ¤Ã÷ÌâÔõô¸´Ï°°¡£¬ÏÖÔںþÀ½á
ÒѾÓÐ7È˻ظ´
¹þ¹þ£¬ÊýѧÔÀ´³¬ÓÐȤ
ÒѾÓÐ84È˻ظ´
¹ØÓÚÒ»¸öºãµÈʽµÄÖ¤Ã÷ÎÊÌâ
ÒѾÓÐ6È˻ظ´
Á½µÀÏßÐÔ´úÊýµÄÖ¤Ã÷Ìâ
ÒѾÓÐ21È˻ظ´
Ò»¸ö¼òµ¥µÄÊýѧ֤Ã÷Ìâ
ÒѾÓÐ8È˻ظ´
¹ØÓÚ±ÏÒµÂÛÎÄÖ¤Ã÷²ÄÁϵÄÎÊÌâ
ÒѾÓÐ3È˻ظ´
ÓÐÒâ˼µÄÒ»¸öСÎÊÌâ
ÒѾÓÐ3È˻ظ´
½éÉÜËÄÉ«ÎÊÌâµÄ¿ÏÆÕÖ¤Ã÷£¨½ÚÑ¡×Ô¡¶Êýѧ֤Ã÷¡·¡¢´óÁ¬Àí¹¤´óѧ³ö°æÉç Öø ÏôÎÄÇ¿£©
ÒѾÓÐ4È˻ظ´
¡¾½»Á÷¡¿Ïô󿼲©½áÊø£¬ËµËµ¸Ð¾õ£¬Ë³±ãɢЩ½ð
ÒѾÓÐ312È˻ظ´
¡¾ÇóÖú¡¿ÏßÐÔ´úÊý¹ØÓÚÌØÕ÷ÖµµÄÖ¤Ã÷Ìâ
ÒѾÓÐ7È˻ظ´

sskkyy
Òø³æ (ÕýʽдÊÖ)
- ÊýѧEPI: 1
- Ó¦Öú: 180 (¸ßÖÐÉú)
- ½ð±Ò: 1017.9
- É¢½ð: 376
- ºì»¨: 18
- Ìû×Ó: 742
- ÔÚÏß: 245.1Сʱ
- ³æºÅ: 1324155
- ×¢²á: 2011-06-16
- רҵ: ÍØÆËѧ
¡ï
Сľ³æ(½ð±Ò+0.5):¸ø¸öºì°ü£¬Ð»Ð»»ØÌû
Сľ³æ(½ð±Ò+0.5):¸ø¸öºì°ü£¬Ð»Ð»»ØÌû
| »¶ÓÌÖÂÛ.Ö¤Ã÷ÈçÏ£¬Ö»ÐèÕý3(a1+a2+a3+a4+a5)>5(a1+a2+a3), Ö»ÐèÖ¤ 3(a4+a5)>2(a1+a2+a3). ×¢Òâµ½£º2(a4+a5)>2(a1+a2), a4+a5>2a3 ¸ùa4,a5µÄÐÔÖÊ¡£ ½«×îºóÕâÁ½¸ö²»µÈʽÏà¼Ó¼È¿É¡£Ò»°ãÇé¿öÒ²ÊÇÀàËÆµÄ¶Ô±È¡£ |
2Â¥2011-08-04 20:21:15
just_play
ÖÁ×ðľ³æ (ÕýʽдÊÖ)
- ÊýѧEPI: 12
- Ó¦Öú: 6 (Ó×¶ùÔ°)
- ¹ó±ö: 0.1
- ½ð±Ò: 11813.8
- É¢½ð: 1210
- ºì»¨: 1
- Ìû×Ó: 688
- ÔÚÏß: 667.1Сʱ
- ³æºÅ: 837886
- ×¢²á: 2009-09-01
- ÐÔ±ð: GG
- רҵ: Äý¾Û̬ÎïÐÔ II £ºµç×ӽṹ
¡ï ¡ï ¡ï ¡ï
Сľ³æ(½ð±Ò+0.5):¸ø¸öºì°ü£¬Ð»Ð»»ØÌû
soliton923(½ð±Ò+3): Ê®·Ö¸Ðл²ÎÓëÌÖÂÛ 2011-08-04 22:46:34
Сľ³æ(½ð±Ò+0.5):¸ø¸öºì°ü£¬Ð»Ð»»ØÌû
soliton923(½ð±Ò+3): Ê®·Ö¸Ðл²ÎÓëÌÖÂÛ 2011-08-04 22:46:34

3Â¥2011-08-04 20:53:55
promisewind
½ð³æ (ÖøÃûдÊÖ)
- Ó¦Öú: 3 (Ó×¶ùÔ°)
- ½ð±Ò: 4065.7
- É¢½ð: 2776
- ºì»¨: 5
- Ìû×Ó: 1074
- ÔÚÏß: 238.9Сʱ
- ³æºÅ: 1253129
- ×¢²á: 2011-04-02
- רҵ: ͨÐÅÀíÂÛÓëϵͳ

4Â¥2011-08-04 20:59:42
promisewind
½ð³æ (ÖøÃûдÊÖ)
- Ó¦Öú: 3 (Ó×¶ùÔ°)
- ½ð±Ò: 4065.7
- É¢½ð: 2776
- ºì»¨: 5
- Ìû×Ó: 1074
- ÔÚÏß: 238.9Сʱ
- ³æºÅ: 1253129
- ×¢²á: 2011-04-02
- רҵ: ͨÐÅÀíÂÛÓëϵͳ

5Â¥2011-08-04 21:10:25
lpwcngb
гæ (³õÈëÎÄ̳)
- Ó¦Öú: 0 (Ó×¶ùÔ°)
- ½ð±Ò: 9.5
- Ìû×Ó: 10
- ÔÚÏß: 2.2Сʱ
- ³æºÅ: 1365886
- ×¢²á: 2011-08-11
- רҵ: º¯ÊýÂÛ
¡ï
Сľ³æ(½ð±Ò+0.5):¸ø¸öºì°ü£¬Ð»Ð»»ØÌû
Сľ³æ(½ð±Ò+0.5):¸ø¸öºì°ü£¬Ð»Ð»»ØÌû
| ÏÈ»¯¼ò£¬È»ºó¼ÙÉèa1´óÓÚa2,a3,Ôò3*£¨a4+a5£©>3*2*a1=2*3*a1>2*(a1+a2+a3)£¬Ö¤±Ï |
6Â¥2011-08-12 18:36:19
Ó÷ǮǮÄãºÃ
½ð³æ (ÕýʽдÊÖ)
- Ó¦Öú: 0 (Ó×¶ùÔ°)
- ½ð±Ò: 975.9
- É¢½ð: 50
- ºì»¨: 5
- ɳ·¢: 2
- Ìû×Ó: 426
- ÔÚÏß: 328.6Сʱ
- ³æºÅ: 1357789
- ×¢²á: 2011-07-31
- רҵ: ʳƷ¿ÆÑ§»ù´¡
7Â¥2011-08-20 10:17:22














»Ø¸´´ËÂ¥