| ²é¿´: 8552 | »Ø¸´: 10 | ||
| ±¾Ìû²úÉú 1 ¸ö ÊýѧEPI £¬µã»÷ÕâÀï½øÐв鿴 | ||
СºÆ×ÓÍõ×Óгæ (СÓÐÃûÆø)
|
[ÇóÖú]
ÇóÖú£º½«Ë«Çúº¯ÊýcothxÕ¹¿ª³ÉÃݼ¶ÊýµÄÏêϸ²½Öè ÒÑÓÐ3È˲ÎÓë
|
|
|
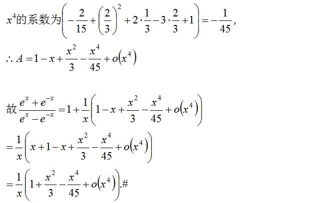
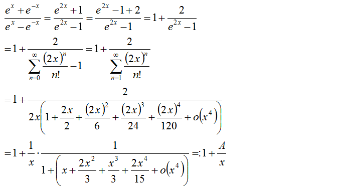
×î½ü¿´µÄÒ»±¾ÊéÉÏ˵µ±x<<1ʱ£¬º¯Êýcothx¿ÉÕ¹¿ª³Écothx=1/x*(1+x^2/3-x^4/45+......) ²¢Ã»ÓиøÏêϸ²½Ö裬ÏëÁ˺ܾÃÒ²Ïë²»³ö¡£Âé·³´óÉñÃǸø¸öÏêϸչ¿ª²½Öè¡£·Ç³£¸Ðл£¡ |
» ²ÂÄãϲ»¶
È˹¤ÖÇÄÜ320µ÷¼Á08¹¤À໹Óлú»áÂð
ÒѾÓÐ17È˻ظ´
¿¼ÑÐÓ¢Ò»ÊýÒ»338·Ö
ÒѾÓÐ10È˻ظ´
ÇóÖúµ÷¼Á£¬¿çµ÷
ÒѾÓÐ15È˻ظ´
085600²ÄÁÏÓ뻯¹¤329·ÖÇóµ÷¼Á
ÒѾÓÐ20È˻ظ´
085600²ÄÁÏÓ뻯¹¤349·ÖÇóµ÷¼Á
ÒѾÓÐ15È˻ظ´
Çóµ÷¼Á
ÒѾÓÐ13È˻ظ´
Ò»Ö¾Ô¸»ªÄÏÀí¹¤´óѧ331·Ö²ÄÁÏÇóµ÷¼Á
ÒѾÓÐ11È˻ظ´
271Çóµ÷¼Á
ÒѾÓÐ40È˻ظ´
Çóµ÷¼ÁѧУ
ÒѾÓÐ3È˻ظ´
332Çóµ÷¼Á
ÒѾÓÐ15È˻ظ´
hank612
ÖÁ×ðľ³æ (ÖøÃûдÊÖ)
- ÊýѧEPI: 14
- Ó¦Öú: 225 (´óѧÉú)
- ½ð±Ò: 14270.6
- É¢½ð: 1055
- ºì»¨: 95
- Ìû×Ó: 1526
- ÔÚÏß: 1375.8Сʱ
- ³æºÅ: 2530333
- ×¢²á: 2013-07-03
- ÐÔ±ð: GG
- רҵ: ÀíÂۺͼÆË㻯ѧ
¡¾´ð°¸¡¿Ó¦Öú»ØÌû
¡ï ¡ï ¡ï ¡ï ¡ï ¡ï ¡ï ¡ï ¡ï ¡ï ¡ï ¡ï ¡ï ¡ï ¡ï ¡ï ¡ï
¸Ðл²ÎÓ룬ӦÖúÖ¸Êý +1
СºÆ×ÓÍõ×Ó(feixiaolin´ú·¢): ½ð±Ò+17 2015-07-23 11:55:57
feixiaolin: ÊýѧEPI+1, http://emuch.net/bbs/viewthread.php?tid=9452448&fpage=1 EPI 2015-10-03 08:09:03
¸Ðл²ÎÓ룬ӦÖúÖ¸Êý +1
СºÆ×ÓÍõ×Ó(feixiaolin´ú·¢): ½ð±Ò+17 2015-07-23 11:55:57
feixiaolin: ÊýѧEPI+1, http://emuch.net/bbs/viewthread.php?tid=9452448&fpage=1 EPI 2015-10-03 08:09:03
|
Çë´ó¼ÒÓеãÄÍÐÄ£¬ÎÄÕÂÓеㆪà £¨ÎÒ²»ÖªµÀ¼ò½àÃ÷¿ìµÄÍÆµ¼£¬ÆÙ²¼º¹£© ÀûÓà ֪µÀ Òò´Ë ÀûÓà http://muchong.com/bbs/viewthread.php?tid=8093491 ÀïÃæµÄ¹«Ê½£¬Á¢µÃ ´ó¼Ò¸ø³öµÄÊǼÆËã·½·¨£¬¿ÉÒÔÇáËɵõ½Ç°Ã漸Ïî |

8Â¥2015-07-23 11:02:42
ÖÕ̫֮µ¶¡ªÏþ
Ìú¸Ëľ³æ (ÖøÃûдÊÖ)
Êýѧ°®ºÃÕß
- ÊýѧEPI: 7
- Ó¦Öú: 282 (´óѧÉú)
- ¹ó±ö: 0.018
- ½ð±Ò: 2934.2
- É¢½ð: 5589
- ºì»¨: 53
- Ìû×Ó: 1809
- ÔÚÏß: 401.6Сʱ
- ³æºÅ: 3469007
- ×¢²á: 2014-10-12
- ÐÔ±ð: MM
- רҵ: ƫ΢·Ö·½³Ì

9Â¥2015-07-23 19:43:56
hank612
ÖÁ×ðľ³æ (ÖøÃûдÊÖ)
- ÊýѧEPI: 14
- Ó¦Öú: 225 (´óѧÉú)
- ½ð±Ò: 14270.6
- É¢½ð: 1055
- ºì»¨: 95
- Ìû×Ó: 1526
- ÔÚÏß: 1375.8Сʱ
- ³æºÅ: 2530333
- ×¢²á: 2013-07-03
- ÐÔ±ð: GG
- רҵ: ÀíÂۺͼÆË㻯ѧ
¡ï ¡ï ¡ï ¡ï ¡ï ¡ï ¡ï ¡ï ¡ï ¡ï ¡ï ¡ï ¡ï ¡ï ¡ï ¡ï ¡ï ¡ï ¡ï ¡ï
feixiaolin: ½ð±Ò+10 2015-07-25 22:13:33
feixiaolin: ½ð±Ò+10, 2015-07 Êýѧ°æÓ¦Öú½ð±Ò½±Àø 2015-08-02 15:29:11
feixiaolin: ½ð±Ò+10 2015-07-25 22:13:33
feixiaolin: ½ð±Ò+10, 2015-07 Êýѧ°æÓ¦Öú½ð±Ò½±Àø 2015-08-02 15:29:11
|
¿´ÁË ÖÕ̫֮µ¶¡ªÏþ µÄ¼ÆËã¹ý³Ì£¬»íÈ»¿ªÀÊ£¬ÖÕÓÚÓÐÁ˼ò½àÃ÷¿ìµÄ Ö¤Ã÷£¨»ò˵Ã÷£© ÖÕ̫֮µ¶¡ªÏþ ¸ø³öÁËÈçϱí´ïʽ£º https://en.wikipedia.org/wiki/Bernoulli_number ¸ù¾ÝBernoulliÊýµÄ¶¨Òå ²»Óþ¹ýÈκμÆË㣬ֱ½Ó¿´³ö ÕâÎÞÐÎÖÐÔÙ´ÎÑéÖ¤ÁËÎÒ¾´ÅåµÄµ¼Ê¦µÄÒ»¾ä»°£ºÊýѧ£¬Î޷Ƕ¨Òå¶øÒÑ¡£ |

10Â¥2015-07-23 23:14:50
bluesine
Ìú¸Ëľ³æ (Ö°Òµ×÷¼Ò)
¿ÆÔ·Ð¡Ä¾³æ
- ÊýѧEPI: 5
- Ó¦Öú: 132 (¸ßÖÐÉú)
- ¹ó±ö: 1.991
- ½ð±Ò: 9903.7
- É¢½ð: 89
- ºì»¨: 19
- Ìû×Ó: 3636
- ÔÚÏß: 377.8Сʱ
- ³æºÅ: 869544
- ×¢²á: 2009-10-12
- ÐÔ±ð: GG
- רҵ: ÊýѧÎïÀí

2Â¥2015-07-22 17:13:37
bluesine
Ìú¸Ëľ³æ (Ö°Òµ×÷¼Ò)
¿ÆÔ·Ð¡Ä¾³æ
- ÊýѧEPI: 5
- Ó¦Öú: 132 (¸ßÖÐÉú)
- ¹ó±ö: 1.991
- ½ð±Ò: 9903.7
- É¢½ð: 89
- ºì»¨: 19
- Ìû×Ó: 3636
- ÔÚÏß: 377.8Сʱ
- ³æºÅ: 869544
- ×¢²á: 2009-10-12
- ÐÔ±ð: GG
- רҵ: ÊýѧÎïÀí

3Â¥2015-07-22 17:25:04
СºÆ×ÓÍõ×Ó
гæ (СÓÐÃûÆø)
- Ó¦Öú: 1 (Ó×¶ùÔ°)
- ½ð±Ò: 1381.2
- É¢½ð: 20
- Ìû×Ó: 221
- ÔÚÏß: 91.7Сʱ
- ³æºÅ: 3600429
- ×¢²á: 2014-12-18
- רҵ: ½ðÊô²ÄÁÏ
4Â¥2015-07-22 17:29:47
СºÆ×ÓÍõ×Ó
гæ (СÓÐÃûÆø)
- Ó¦Öú: 1 (Ó×¶ùÔ°)
- ½ð±Ò: 1381.2
- É¢½ð: 20
- Ìû×Ó: 221
- ÔÚÏß: 91.7Сʱ
- ³æºÅ: 3600429
- ×¢²á: 2014-12-18
- רҵ: ½ðÊô²ÄÁÏ
5Â¥2015-07-22 17:41:23
peterflyer
ľ³æÖ®Íõ (ÎÄѧ̩¶·)
peterflyer
- ÊýѧEPI: 10
- Ó¦Öú: 20282 (Ժʿ)
- ½ð±Ò: 146248
- ºì»¨: 1374
- Ìû×Ó: 93091
- ÔÚÏß: 7694.3Сʱ
- ³æºÅ: 1482829
- ×¢²á: 2011-11-08
- ÐÔ±ð: GG
- רҵ: ¹¦ÄÜÌÕ´É
¡¾´ð°¸¡¿Ó¦Öú»ØÌû
¡ï
¸Ðл²ÎÓ룬ӦÖúÖ¸Êý +1
СºÆ×ÓÍõ×Ó(feixiaolin´ú·¢): ½ð±Ò+1 2015-07-23 11:56:33
¸Ðл²ÎÓ룬ӦÖúÖ¸Êý +1
СºÆ×ÓÍõ×Ó(feixiaolin´ú·¢): ½ð±Ò+1 2015-07-23 11:56:33
| ·Ö×Ó·ÖĸÏȰ´ÕÕexp(x)ºÍexp(-x)½øÐÐÌ©ÀÕÕ¹¿ª£¬´Ëʱ·ÖĸÖÐΪ2*x*sum{1/(2*n+1)!*x^(2*n+1),n=0~¡Þ}£»¶ø·Ö×ÓÖÐΪ2*sum{1/(2*n)!*x^(2*n),n=0~¡Þ}£»´ËºóÔÙ°´ÕÕ1/(1-u)=1-u+u^2-u^3+u^4-......½øÐÐÕ¹¿ª¼´¿É¡£ |
6Â¥2015-07-22 21:58:58
bluesine
Ìú¸Ëľ³æ (Ö°Òµ×÷¼Ò)
¿ÆÔ·Ð¡Ä¾³æ
- ÊýѧEPI: 5
- Ó¦Öú: 132 (¸ßÖÐÉú)
- ¹ó±ö: 1.991
- ½ð±Ò: 9903.7
- É¢½ð: 89
- ºì»¨: 19
- Ìû×Ó: 3636
- ÔÚÏß: 377.8Сʱ
- ³æºÅ: 869544
- ×¢²á: 2009-10-12
- ÐÔ±ð: GG
- רҵ: ÊýѧÎïÀí

7Â¥2015-07-23 09:26:08














»Ø¸´´ËÂ¥

СºÆ×ÓÍõ×Ó
5