| 查看: 914 | 回复: 5 | ||
[求助]
关于一个偏微分方程的转化问题已有2人参与
|
|
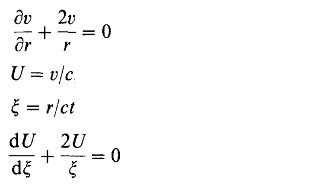
如图,v是关于r和t的函数。 小弟数学知识不扎实,搞了好久没弄明白这个偏微分方程是怎么转化为常微分方程的, 找了本偏微分方程的书看,也没找到类似转化方法,麻烦好心人帮忙解答一下,感激不尽! 无标题.png |
» 猜你喜欢
读博
已经有5人回复
到新单位后,换了新的研究方向,没有团队,持续积累2区以上论文,能申请到面上吗
已经有13人回复
博士申请都是内定的吗?
已经有6人回复
之前让一硕士生水了7个发明专利,现在这7个获批发明专利的维护费可从哪儿支出哈?
已经有5人回复
博士读完未来一定会好吗
已经有29人回复
投稿精细化工
已经有4人回复
高职单位投计算机相关的北核或SCI四区期刊推荐,求支招!
已经有4人回复
导师想让我从独立一作变成了共一第一
已经有9人回复
心脉受损
已经有5人回复
Springer期刊投稿求助
已经有4人回复
» 本主题相关价值贴推荐,对您同样有帮助:
请教一个非线性方程非线性项转化为多项式的方法
已经有31人回复
求解一个方程组,急!!!
已经有19人回复
请问这个偏微分方程组有一般的解法么?
已经有12人回复
如何把一个方程的时域数值解变换到频域数值解?
已经有5人回复
分数阶微分方程方向与差分方程方向,哪个论文更好出,哪个更有前途。
已经有19人回复
偏微分方程求解!
已经有4人回复
泛函问题的一些不太清楚的东西
已经有6人回复
请教懂计算模拟的大牛,谢谢
已经有10人回复
MATLAB 解偏微分方程时的边界条件传递问题
已经有4人回复
抛物型偏微分方程的数值解求解问题,谢谢!
已经有14人回复
微分方程当做一元二次方程来解
已经有5人回复
微分方程组的稳定性分析,急!
已经有10人回复
求助matlab求解复杂微分方程
已经有7人回复
这样一个偏微分方程有没有解析解?
已经有4人回复
matlab有限差分法求解复杂的偏微分方程组
已经有19人回复
求助关于转化的问题?
已经有22人回复
【求助】想请教一个如何求解旋转矩阵的问题
已经有6人回复
【求助】关于欧拉-拉格朗日方程(Euler-Lagrange equation)【已解决】
已经有11人回复
【求助】一个常微分方程的通解
已经有6人回复
【求助】偏微分方程解法
已经有19人回复
终之太刀—晓
铁杆木虫 (著名写手)
数学爱好者
- 数学EPI: 7
- 应助: 282 (大学生)
- 贵宾: 0.018
- 金币: 2934.2
- 散金: 5589
- 红花: 53
- 帖子: 1809
- 在线: 401.6小时
- 虫号: 3469007
- 注册: 2014-10-12
- 性别: MM
- 专业: 偏微分方程

2楼2015-06-01 09:43:05
终之太刀—晓
铁杆木虫 (著名写手)
数学爱好者
- 数学EPI: 7
- 应助: 282 (大学生)
- 贵宾: 0.018
- 金币: 2934.2
- 散金: 5589
- 红花: 53
- 帖子: 1809
- 在线: 401.6小时
- 虫号: 3469007
- 注册: 2014-10-12
- 性别: MM
- 专业: 偏微分方程

3楼2015-06-01 09:44:45
peterflyer
木虫之王 (文学泰斗)
peterflyer
- 数学EPI: 10
- 应助: 20282 (院士)
- 金币: 145723
- 红花: 1374
- 帖子: 93071
- 在线: 7693.7小时
- 虫号: 1482829
- 注册: 2011-11-08
- 性别: GG
- 专业: 功能陶瓷
【答案】应助回帖
★ ★ ★ ★ ★ ★ ★ ★ ★ ★
感谢参与,应助指数 +1
worldlmz2014: 金币+10, ★★★★★最佳答案 2015-06-01 17:13:15
感谢参与,应助指数 +1
worldlmz2014: 金币+10, ★★★★★最佳答案 2015-06-01 17:13:15
|
个人理解,这是先假设v可表达为:v(r,t)=c*U(ξ),然后代入原方程中试着凑一下,若最后能行则就可将偏微分方程简化为了常微分方程求解了。若不行的话就另想门路了,而此处恰好是可以的。 令v(r,t)=c*U[r/(c*t)]=c*U(ξ),Pv/Pr=Pv/Pξ*Pξ/Pr=d([c*U(ξ)]/dξ*Pξ/Pr=c*dU/dξ*1/(c*t) 代入原方程中: c*dU/dξ*1/(c*t) + 2*c*U/r=0 dU/dξ*ξ +2*U=0 dU/dξ +2*U/ξ=0 U=A'/*ξ^2=A'*r^2/(c*t)^2 v=c*U=A*(r/t)^2 A、A'均为积分常数。 |
4楼2015-06-01 11:05:13
5楼2015-06-01 17:14:29
6楼2015-06-01 17:15:29













回复此楼
