| 查看: 2060 | 回复: 6 | ||
[求助]
泛函问题的一些不太清楚的东西
|
|
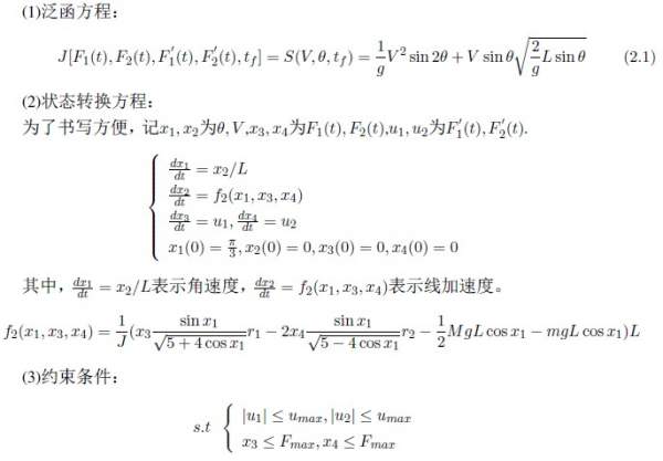
最近看泛函优化的问题,没有学过泛函分析,有几个问题不太懂: 1.泛函问题的目标泛函一定是带有积分的形式的吗,如果没有积分形式,但是目标泛函中又出现了函数变量,应该怎么处理。 2.泛函优化中如果有等号约束是要转换成汉密尔顿函数,如果不仅仅是等号约束,还有不等约束将如何处理。 |
» 猜你喜欢
081700,311,求调剂
已经有15人回复
一志愿北京化工085600 310分求调剂
已经有18人回复
085600材料与化工301分求调剂院校
已经有4人回复
材料与化工371求调剂
已经有14人回复
336材料与化工085600求调剂
已经有7人回复
材料334求调剂
已经有18人回复
331求调剂
已经有8人回复
332求调剂
已经有17人回复
一志愿南京航空航天大学 材料与化工329分求调剂
已经有4人回复
材料专硕322
已经有7人回复
» 本主题相关价值贴推荐,对您同样有帮助:
stein的泛函分析英文版(高清晰)
已经有200人回复
LDA+U,为什么要加U,作用是什么?
已经有20人回复
【sobereva个人文集】乱弹DFT-D(从sobereva的博客中转载过来的)
已经有27人回复
【求助】高斯中过渡金属的基组和方法选择
已经有24人回复

yongcailiu
金虫 (小有名气)
- 应助: 63 (初中生)
- 金币: 2283.9
- 红花: 10
- 帖子: 181
- 在线: 250.4小时
- 虫号: 1406563
- 注册: 2011-09-18
- 性别: GG
- 专业: 计算数学与科学工程计算
2楼2013-08-28 13:25:35

3楼2013-08-29 20:54:49
yongcailiu
金虫 (小有名气)
- 应助: 63 (初中生)
- 金币: 2283.9
- 红花: 10
- 帖子: 181
- 在线: 250.4小时
- 虫号: 1406563
- 注册: 2011-09-18
- 性别: GG
- 专业: 计算数学与科学工程计算
4楼2013-08-31 18:21:47

5楼2013-08-31 21:01:06
★ ★ ★ ★ ★
daiben06: 金币+5, ★★★很有帮助 2013-09-01 15:03:26
daiben06: 金币+5, ★★★很有帮助 2013-09-01 15:03:26
|
本帖内容被屏蔽 |
6楼2013-09-01 10:41:54

7楼2013-09-01 15:08:32














回复此楼
daiben06
5