版块导航
正在加载中...
客户端APP下载
论文辅导
调剂小程序
登录
注册
帖子
帖子
用户
本版
应《网络安全法》要求,自2017年10月1日起,未进行实名认证将不得使用互联网跟帖服务。为保障您的帐号能够正常使用,请尽快对帐号进行手机号验证,感谢您的理解与支持!
24小时热门版块排行榜
>
论坛更新日志
(3477)
>
导师招生
(436)
>
虫友互识
(432)
>
文献求助
(323)
>
考博
(231)
>
休闲灌水
(222)
>
硕博家园
(146)
>
招聘信息布告栏
(120)
>
考研
(93)
>
论文投稿
(65)
>
博后之家
(62)
>
找工作
(54)
>
公派出国
(49)
>
绿色求助(高悬赏)
(40)
>
论文道贺祈福
(38)
>
基金申请
(34)
小木虫论坛-学术科研互动平台
»
专业学科区
»
数学
»
计算数学
»
哪位高手帮忙看一下这个积分的解析表达式
4
1/1
返回列表
查看: 675 | 回复: 3
只看楼主
@他人
存档
新回复提醒
(忽略)
收藏
在APP中查看
jinxincun
银虫
(正式写手)
应助: 1
(幼儿园)
金币: 0.4
散金: 243
红花: 3
帖子: 367
在线: 338.9小时
虫号: 1826332
注册: 2012-05-20
专业: 计算数学与科学工程计算
[
求助
]
哪位高手帮忙看一下这个积分的解析表达式
已有1人参与
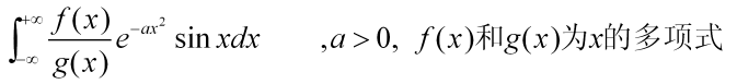
这种形式的积分如何求出其解析计算公式?
2015-05-05_113913.png
回复此楼
» 猜你喜欢
“人文社科而论,许多学术研究还没有达到民国时期的水平”
已经有6人回复
体制内长辈说体制内绝大部分一辈子在底层,如同你们一样大部分普通教师忙且收入低
已经有16人回复
版面费该交吗
已经有13人回复
面上可以超过30页吧?
已经有6人回复
网上报道青年教师午睡中猝死、熬夜猝死的越来越多,主要哪些原因引起的?
已经有4人回复
为什么中国大学工科教授们水了那么多所谓的顶会顶刊,但还是做不出宇树机器人?
已经有10人回复
什么是人一生最重要的?
已经有4人回复
» 本主题相关价值贴推荐,对您同样有帮助:
求大神帮忙编一下程序
已经有3人回复
求助一个不定积分
已经有7人回复
请教一个与sinc函数有关的积分该怎么求?
已经有3人回复
帮忙:求解一组微分代数方程,奖励100金币
已经有7人回复
帮忙看一下这个扩散方程,谢谢!
已经有8人回复
求一个方便的输入数学表达式就能画成图形的软件!!!
已经有11人回复
一个关于 quadgk 函数求积分的问题
已经有7人回复
求助: 帮忙鉴定一下是否是这个物质
已经有17人回复
求教一个含指数函数定积分问题
已经有7人回复
哪位能帮我看一下 流式检测细胞周期 分析图 能用吗
已经有4人回复
MATLAB中,没有数学表达式的话,能不能做积分?
已经有3人回复
求大家帮帮忙,用matlab怎么实现图片中的积分,
已经有10人回复
请问这个高斯积分公式的高斯系数和高斯点能笔算出来么?
已经有11人回复
求解析NMR谱,质谱数据和核磁对不上,凌乱了
已经有16人回复
求助一积分的解析表达式
已经有5人回复
求助啊,微积分问题
已经有4人回复
请教流式高手,帮我分析一下,我的流式图有什么问题么?
已经有14人回复
大家帮我看一下,核磁,有几个峰搞的不是很清楚
已经有40人回复
【交流】大家帮忙看下这道题
已经有7人回复
【求助】看看这个积分,不知道是否有高人帮忙?
已经有8人回复
【求助】如何在Word里输入一个好看的积分符号?
已经有24人回复
1楼
2015-05-05 11:42:49
已阅
关注TA
给TA发消息
送TA红花
TA的回帖
pippi6
铁杆木虫
(著名写手)
工程和科学数值计算咨询
数学EPI: 6
应助: 413
(硕士)
贵宾: 0.002
金币: 7116.5
散金: 15
红花: 63
帖子: 1639
在线: 798.9小时
虫号: 2469437
注册: 2013-05-14
专业: 计算数学与科学工程计算
★ ★
feixiaolin: 金币+2
2015-05-09 15:04:31
估计没有一般的解析表达式
赞
一下
回复此楼
2楼
2015-05-05 12:37:03
已阅
关注TA
给TA发消息
送TA红花
TA的回帖
peterflyer
木虫之王
(文学泰斗)
peterflyer
数学EPI: 10
应助: 20282
(院士)
金币: 146067
红花: 1374
帖子: 93091
在线: 7694.3小时
虫号: 1482829
注册: 2011-11-08
性别: GG
专业: 功能陶瓷
【答案】应助回帖
★ ★ ★
感谢参与,应助指数 +1
feixiaolin: 金币+3
2015-05-09 15:04:46
仅笼统地说f(x)和g(x)为x的多项式还很不够。如果f(x)的幂次不小于g(x)的幂次,可以证明,此时积分是存在的;反之,积分可能根本不存在。因此,必须再加上更多的条件才行。例如:被积函数形如类似于exp[-a*x^2]*Sinx/(x-1)的,积分就是发散的,不存在。
赞
一下
回复此楼
3楼
2015-05-05 14:10:05
已阅
关注TA
给TA发消息
送TA红花
TA的回帖
hank612
至尊木虫
(著名写手)
数学EPI: 14
应助: 225
(大学生)
金币: 14270.6
散金: 1055
红花: 95
帖子: 1526
在线: 1375.8小时
虫号: 2530333
注册: 2013-07-03
性别: GG
专业: 理论和计算化学
★ ★ ★ ★
feixiaolin: 金币+4
2015-05-09 15:05:12
http://faculty.cua.edu/sober/612 ... residue_theorem.pdf
楼下二位大神的回答都很到位, 所谓具体情况具体分析. 希望上述联接能助楼主一臂之力
赞
一下
回复此楼
We_must_know. We_will_know.
4楼
2015-05-09 06:29:29
已阅
关注TA
给TA发消息
送TA红花
TA的回帖
相关版块跳转
数理科学综合
机械
物理
数学
农林
食品
地学
能源
信息科学
土木建筑
航空航天
转基因
我要订阅楼主
jinxincun
的主题更新
4
1/1
返回列表
信息提示
关闭
请填处理意见
关闭
确定