版块导航
正在加载中...
客户端APP下载
论文辅导
调剂小程序
登录
注册
帖子
帖子
用户
本版
应《网络安全法》要求,自2017年10月1日起,未进行实名认证将不得使用互联网跟帖服务。为保障您的帐号能够正常使用,请尽快对帐号进行手机号验证,感谢您的理解与支持!
24小时热门版块排行榜
>
论坛更新日志
(2388)
>
虫友互识
(450)
>
休闲灌水
(158)
>
导师招生
(56)
>
论文投稿
(56)
>
博后之家
(29)
>
招聘信息布告栏
(20)
>
文献求助
(20)
>
考研
(20)
>
基金申请
(19)
>
硕博家园
(16)
>
考博
(15)
>
找工作
(15)
>
教师之家
(13)
>
论文道贺祈福
(12)
>
公派出国
(12)
小木虫论坛-学术科研互动平台
»
计算模拟区
»
仿真模拟
»
MATLAB
»
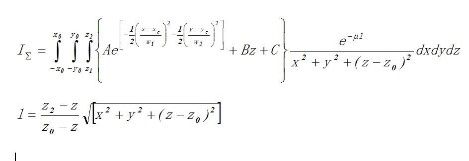
求大家帮帮忙,用matlab怎么实现图片中的积分,
11
1/2
返回列表
1
2
下一页
查看: 1868 | 回复: 10
只看楼主
@他人
存档
新回复提醒
(忽略)
收藏
在APP中查看
小小张张
至尊木虫
(著名写手)
oh~
应助: 3
(幼儿园)
金币: 12225
散金: 1118
红花: 28
沙发: 1
帖子: 1988
在线: 594.5小时
虫号: 1844326
注册: 2012-06-02
专业: 核技术及其应用
[
求助
]
求大家帮帮忙,用matlab怎么实现图片中的积分,
求大家帮帮忙,用matlab怎么实现图片中的积分,
积分.jpg
回复此楼
» 猜你喜欢
售SCI一区文章,我:8 O5 51O 54,科目齐全,可+急
已经有3人回复
售SCI一区文章,我:8 O5 51O 54,科目齐全,可+急
已经有3人回复
售SCI一区文章,我:8 O5 51O 54,科目齐全,可+急
已经有3人回复
售SCI一区文章,我:8 O5 51O 54,科目齐全,可+急
已经有3人回复
售SCI一区文章,我:8 O5 51O 54,科目齐全,可+急
已经有3人回复
售SCI一区文章,我:8 O5 51O 54,科目齐全,可+急
已经有4人回复
售SCI一区文章,我:8 O5 51O 54,科目齐全,可+急
已经有4人回复
售SCI一区文章,我:8 O5 51O 54,科目齐全,可+急
已经有4人回复
售SCI一区文章,我:8 O5 51O 54,科目齐全,可+急
已经有4人回复
售SCI一区文章,我:8 O5 51O 54,科目齐全,可+急
已经有4人回复
» 本主题相关价值贴推荐,对您同样有帮助:
matlab画图用grid on生成网格,但是保存图片后,网格变灰变模糊怎么办
已经有7人回复
【求助MATLAB大神】MATLAB画多行图时,每行的高度不太一样
已经有14人回复
matlab 图片叠加问题求助
已经有4人回复
matlab如何保存gif图片
已经有5人回复
论文要求图片为黑白色,怎么把matlab运行的图片弄成黑白的,谢谢!
已经有4人回复
matlab图像相关性分析的求助
已经有20人回复
下载了MATLAB2012可是安装不了。大侠帮帮忙谢谢
已经有13人回复
怎么用matlab画极坐标三维图?各位大侠帮帮忙啊!
已经有5人回复
初学matlab 求解方程 大家帮帮忙啊。。。
已经有11人回复
MATLAB输出图片转换为TIFF 格式图片
已经有8人回复
matlab如何读取一个文件夹下的所有图片
已经有9人回复
会用matlab的同志帮帮忙哈!
已经有27人回复
matlab画图后如何输出才能得到清晰的图片呢
已经有4人回复
利用MATLAB 分析图片颜色之间的差别
已经有4人回复
【求助】matlab 计算一个二重积分,高手们帮帮忙吧
已经有6人回复
用matlab统计图片中某种颜色成分占总图片中所有颜色成分的比率
已经有4人回复
matlab 规范切 大规模矩阵,大家帮帮忙啊。
已经有3人回复
matlab 如何处理大规模矩阵???大家帮帮忙吧。急
已经有5人回复
急求matlab级数求和及其画图显示(公式见图片)
已经有8人回复
【求助】会用Matlab的LMI toolbox的请帮帮忙~~
已经有5人回复
【求助】关于Matlab的求助(采集导入图片坐标上的点)【已解决】
已经有14人回复
matlab如何加载数码相机的图片
已经有8人回复
1楼
2013-05-05 22:00:36
已阅
回复此楼
关注TA
给TA发消息
送TA红花
TA的回帖
小小张张
至尊木虫
(著名写手)
oh~
应助: 3
(幼儿园)
金币: 12225
散金: 1118
红花: 28
沙发: 1
帖子: 1988
在线: 594.5小时
虫号: 1844326
注册: 2012-06-02
专业: 核技术及其应用
求大家帮帮忙啦
回复此楼
2楼
2013-05-05 22:01:09
已阅
回复此楼
关注TA
给TA发消息
送TA红花
TA的回帖
Hades_h
金虫
(小有名气)
应助: 0
(幼儿园)
金币: 962.8
红花: 1
帖子: 235
在线: 68.5小时
虫号: 2212832
注册: 2012-12-29
性别: GG
专业: 光学
★
xiegangmai: 金币+1, 谢谢参与!
2013-05-06 00:37:17
用Fortran的库函数编个三重积分就解决了,matlab没用过。
赞
一下
回复此楼
坚持到底!
3楼
2013-05-05 23:52:12
已阅
回复此楼
关注TA
给TA发消息
送TA红花
TA的回帖
小小张张
至尊木虫
(著名写手)
oh~
应助: 3
(幼儿园)
金币: 12225
散金: 1118
红花: 28
沙发: 1
帖子: 1988
在线: 594.5小时
虫号: 1844326
注册: 2012-06-02
专业: 核技术及其应用
引用回帖:
3楼
:
Originally posted by
Hades_h
at 2013-05-05 23:52:12
用Fortran的库函数编个三重积分就解决了,matlab没用过。
Fortran更没接触过,能帮忙编一下么???重谢!
赞
一下
回复此楼
4楼
2013-05-06 08:29:04
已阅
回复此楼
关注TA
给TA发消息
送TA红花
TA的回帖
rjzyfy
新虫
(小有名气)
应助: 2
(幼儿园)
金币: 150.3
红花: 2
帖子: 101
在线: 98.5小时
虫号: 510405
注册: 2008-02-24
专业: 核技术及其应用
★ ★
xiegangmai: 金币+2, 谢谢参与!
2013-05-06 20:10:35
help triplequad,你看一下matlab的帮助, 不过上下限好像必须是常数。 不知道你的是否为常数。
赞
一下
回复此楼
5楼
2013-05-06 13:11:47
已阅
回复此楼
关注TA
给TA发消息
送TA红花
TA的回帖
rjzyfy
新虫
(小有名气)
应助: 2
(幼儿园)
金币: 150.3
红花: 2
帖子: 101
在线: 98.5小时
虫号: 510405
注册: 2008-02-24
专业: 核技术及其应用
★
xiegangmai: 金币+1, 谢谢参与!
2013-05-06 20:10:42
matlab 帮助中有 例子的,假如你的上下限是常数的话,可以套套”triplequad“函数看看。
赞
一下
回复此楼
6楼
2013-05-06 13:13:34
已阅
回复此楼
关注TA
给TA发消息
送TA红花
TA的回帖
Hades_h
金虫
(小有名气)
应助: 0
(幼儿园)
金币: 962.8
红花: 1
帖子: 235
在线: 68.5小时
虫号: 2212832
注册: 2012-12-29
性别: GG
专业: 光学
积分限是常数吗?
赞
一下
回复此楼
坚持到底!
7楼
2013-05-06 14:55:17
已阅
回复此楼
关注TA
给TA发消息
送TA红花
TA的回帖
小小张张
至尊木虫
(著名写手)
oh~
应助: 3
(幼儿园)
金币: 12225
散金: 1118
红花: 28
沙发: 1
帖子: 1988
在线: 594.5小时
虫号: 1844326
注册: 2012-06-02
专业: 核技术及其应用
引用回帖:
7楼
:
Originally posted by
Hades_h
at 2013-05-06 14:55:17
积分限是常数吗?
都是字面的,都是未知的
赞
一下
回复此楼
8楼
2013-05-06 16:37:30
已阅
回复此楼
关注TA
给TA发消息
送TA红花
TA的回帖
Hades_h
金虫
(小有名气)
应助: 0
(幼儿园)
金币: 962.8
红花: 1
帖子: 235
在线: 68.5小时
虫号: 2212832
注册: 2012-12-29
性别: GG
专业: 光学
★
xiegangmai: 金币+1, 谢谢参与!
2013-05-06 20:10:51
Fortran只能做数值计算,积分限都是表达式,那没法做。
赞
一下
回复此楼
坚持到底!
9楼
2013-05-06 16:54:27
已阅
回复此楼
关注TA
给TA发消息
送TA红花
TA的回帖
Hades_h
金虫
(小有名气)
应助: 0
(幼儿园)
金币: 962.8
红花: 1
帖子: 235
在线: 68.5小时
虫号: 2212832
注册: 2012-12-29
性别: GG
专业: 光学
这个积分是文献上的?
赞
一下
回复此楼
坚持到底!
10楼
2013-05-06 16:59:30
已阅
回复此楼
关注TA
给TA发消息
送TA红花
TA的回帖
相关版块跳转
第一性原理
量子化学
计算模拟
分子模拟
仿真模拟
程序语言
我要订阅楼主
小小张张
的主题更新
11
1/2
返回列表
1
2
下一页
如果回帖内容含有宣传信息,请如实选中。否则帐号将被全论坛禁言
普通表情
龙
兔
虎
猫
百度网盘
|
360云盘
|
千易网盘
|
华为网盘
在新窗口页面中打开自己喜欢的网盘网站,将文件上传后,然后将下载链接复制到帖子内容中就可以了。
最具人气热帖推荐
[查看全部]
作者
回/看
最后发表
[
找工作
]
售SCI一区文章,我:8 O5 51O 54,科目齐全,可+急
+3
i3cz6qj6l2
2026-02-17
3/150
2026-02-18 11:09
by
lqtl9djx19
[
考博
]
售SCI一区文章,我:8 O5 51O 54,科目齐全,可+急
+3
i3cz6qj6l2
2026-02-17
3/150
2026-02-18 10:54
by
lqtl9djx19
[
考研
]
售SCI一区文章,我:8 O5 51O 54,科目齐全,可+急
+3
i3cz6qj6l2
2026-02-17
3/150
2026-02-18 10:39
by
lqtl9djx19
[
考研
]
售SCI一区文章,我:8 O5 51O 54,科目齐全,可+急
+3
pnpwoqbg8f
2026-02-17
3/150
2026-02-18 08:53
by
lqtl9djx19
[
硕博家园
]
售SCI一区文章,我:8 O5 51O 54,科目齐全,可+急
+3
pnpwoqbg8f
2026-02-17
3/150
2026-02-18 08:38
by
lqtl9djx19
[
找工作
]
售SCI一区文章,我:8 O5 51O 54,科目齐全,可+急
+4
pnpwoqbg8f
2026-02-17
4/200
2026-02-18 07:55
by
lotyj5cz79
[
基金申请
]
售SCI一区文章,我:8 O5 51O 54,科目齐全,可+急
+3
pnpwoqbg8f
2026-02-16
4/200
2026-02-18 07:40
by
lotyj5cz79
[
考研
]
售SCI一区文章,我:8 O5 51O 54,科目齐全,可+急
+4
pnpwoqbg8f
2026-02-16
4/200
2026-02-18 07:38
by
lotyj5cz79
[
硕博家园
]
售SCI一区文章,我:8 O5 51O 54,科目齐全,可+急
+4
pnpwoqbg8f
2026-02-16
4/200
2026-02-18 07:23
by
lotyj5cz79
[
论文投稿
]
售SCI一区文章,我:8 O5 51O 54,科目齐全,可+急
+4
pnpwoqbg8f
2026-02-16
4/200
2026-02-18 07:08
by
lotyj5cz79
[
公派出国
]
售SCI一区文章,我:8 O5 51O 54,科目齐全,可+急
+3
pnpwoqbg8f
2026-02-16
3/150
2026-02-18 06:53
by
lotyj5cz79
[
论文投稿
]
售SCI一区文章,我:8 O5 51O 54,科目齐全,可+急
+3
pnpwoqbg8f
2026-02-17
3/150
2026-02-18 00:40
by
tk2gfblvuz
[
找工作
]
售SCI一区文章,我:8 O5 51O 54,科目齐全,可+急
+3
pnpwoqbg8f
2026-02-17
4/200
2026-02-18 00:23
by
tk2gfblvuz
[
公派出国
]
售SCI一区文章,我:8 O5 51O 54,科目齐全,可+急
+3
pnpwoqbg8f
2026-02-17
3/150
2026-02-17 23:40
by
tk2gfblvuz
[
基金申请
]
基金正文30页指的是报告正文还是整个申请书
+3
successhe
2026-02-16
4/200
2026-02-17 20:56
by
successhe
[
基金申请
]
今年春晚有几个节目很不错,点赞!
+5
瞬息宇宙
2026-02-16
6/300
2026-02-17 12:49
by
jymy19840415
[
微米和纳米
]
球磨粉体时遇到了大的问题,请指教!
10
+3
6sbiam
2026-02-12
15/750
2026-02-16 15:03
by
tgzxzqj
[
基金申请
]
过年走亲戚时感受到了所开私家车的鄙视链
+3
瞬息宇宙
2026-02-15
5/250
2026-02-16 14:23
by
aspect3000
[
基金申请
]
情人节自我反思:在爱情中有过遗憾吗?
+4
瞬息宇宙
2026-02-15
5/250
2026-02-15 22:28
by
baiboxie
[
硕博家园
]
江汉大学解明教授课题组招博士研究生/博士后
+3
cleverlyy
2026-02-12
3/150
2026-02-12 21:02
by
qsdf1
信息提示
关闭
请填处理意见
关闭
确定