版块导航
正在加载中...
客户端APP下载
登录
注册
帖子
帖子
用户
本版
应《网络安全法》要求,自2017年10月1日起,未进行实名认证将不得使用互联网跟帖服务。为保障您的帐号能够正常使用,请尽快对帐号进行手机号验证,感谢您的理解与支持!
24小时热门版块排行榜
>
论坛更新日志
(393)
>
虫友互识
(49)
>
休闲灌水
(12)
>
基金申请
(7)
>
博后之家
(6)
>
文献求助
(6)
>
导师招生
(5)
>
考博
(5)
>
硕博家园
(4)
>
招聘信息布告栏
(3)
>
绿色求助(高悬赏)
(2)
>
教师之家
(2)
>
找工作
(2)
>
公派出国
(2)
>
经济学
(1)
>
职场人生
(1)
小木虫论坛-学术科研互动平台
»
专业学科区
»
物理
»
交叉学科
»
这个点乘该如何计算?
11
1/2
返回列表
1
2
下一页
查看: 2379 | 回复: 10
只看楼主
@他人
存档
新回复提醒
(忽略)
收藏
在APP中查看
zzzxw
银虫
(正式写手)
应助: 2
(幼儿园)
金币: 304.6
红花: 13
帖子: 432
在线: 120.2小时
虫号: 2518007
注册: 2013-06-23
专业: 胶体与界面化学
[
求助
]
这个点乘该如何计算?
已有2人参与
多谢了!
未标题-1.jpg
回复此楼
» 猜你喜欢
窗边初夏的小雨
已经有6人回复
2026年申博-电池方向
已经有11人回复
26年申博自荐-计算机视觉
已经有4人回复
导师各种操作恶心咋办
已经有8人回复
2026博士申请求助
已经有5人回复
研究生做的很差,你们会让毕业吗?
已经有11人回复
求碳排放博导;方向是LCA、生命周期可持续发展以及碳排放
已经有7人回复
2026博士或科研助理转27年博士
已经有7人回复
国自科送审了吗
已经有11人回复
博士招生
已经有5人回复
» 本主题相关价值贴推荐,对您同样有帮助:
matlab里如何实现用向量赋值数组元素并且时数组实现运算?
已经有10人回复
Matlab 小白问一个简单的 带有变量运算的 问题
已经有3人回复
请问一下下面向量叉乘的计算的结果是?
已经有9人回复
matlab矩阵的点乘
已经有4人回复
指数矩阵的特征值的计算
已经有7人回复
matlab “Inner matrix dimensions must agree.”一直不知道哪里出错了 求助
已经有6人回复
matlab的一个公式,求问怎么计算啊
已经有10人回复
matlab中的计算问题?
已经有8人回复
matlab中fmincon的fun是矩阵运算怎么办?
已经有5人回复
f(x)已知,x为一向量时,如何用maple或matlab求与x向量中元素一一对应的f(x)向量?
已经有10人回复
二阶张量双点乘三阶张量
已经有13人回复
拼了。。700金币求高手。最优控制,动态规划 matlab 仿真。。
已经有17人回复
目标函数出现错误
已经有3人回复
美女求助:matlab中数组计算 画图
已经有10人回复
简单数学公式如何求一条直线和面的夹角
已经有6人回复
matlab 中能不能进行矢量间的点乘和叉乘
已经有3人回复
弹性常数计算中用原包体积还是晶包体积?
已经有9人回复
对易关系【r,p】到底等于什么?
已经有15人回复
求教,matlab并行运算加速
已经有12人回复
mathmatica运算遇到问题 求助
已经有5人回复
知道ZnO纳米线单胞的晶格矢量及原子坐标,如何计算单胞的体积?
已经有8人回复
【求助】lammps安装过程中,在安装fftw的过程中遇到问题
已经有8人回复
1楼
2015-04-22 21:22:57
已阅
回复此楼
关注TA
给TA发消息
送TA红花
TA的回帖
bfamq
铁杆木虫
(著名写手)
应助: 184
(高中生)
金币: 6790.9
散金: 2115
红花: 90
帖子: 2320
在线: 1029.1小时
虫号: 1621962
注册: 2012-02-16
专业: 凝聚态物性 II :电子结构
如果我没理解错的话,n是圆周边界的外法向矢量,你这个边界条件是想表示,在圆周边界处,温度梯度和浓度梯度在外法向的投影。感觉这么写就应该行了吧,还要求表达式?是想用偏/偏x 的那种表示吗?
赞
一下
回复此楼
等离子体模块教学,搜索公众号【comsol等离子体模拟】获取更多经验技巧哦
2楼
2015-04-23 12:18:24
已阅
回复此楼
关注TA
给TA发消息
送TA红花
TA的回帖
zzzxw
银虫
(正式写手)
应助: 2
(幼儿园)
金币: 304.6
红花: 13
帖子: 432
在线: 120.2小时
虫号: 2518007
注册: 2013-06-23
专业: 胶体与界面化学
引用回帖:
2楼
:
Originally posted by
bfamq
at 2015-04-23 12:18:24
如果我没理解错的话,n是圆周边界的外法向矢量,你这个边界条件是想表示,在圆周边界处,温度梯度和浓度梯度在外法向的投影。感觉这么写就应该行了吧,还要求表达式?是想用偏/偏x 的那种表示吗?
是的。
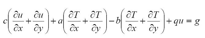
要求表达式,就是想用偏T/偏x、偏T/偏y、偏u/偏x、偏u/偏y来表示这个式子。
麻烦您能给写出具体的式子吗?十分感谢啊!
赞
一下
回复此楼
3楼
2015-04-23 17:22:01
已阅
回复此楼
关注TA
给TA发消息
送TA红花
TA的回帖
bfamq
铁杆木虫
(著名写手)
应助: 184
(高中生)
金币: 6790.9
散金: 2115
红花: 90
帖子: 2320
在线: 1029.1小时
虫号: 1621962
注册: 2012-02-16
专业: 凝聚态物性 II :电子结构
引用回帖:
3楼
:
Originally posted by
zzzxw
at 2015-04-23 17:22:01
是的。
要求表达式,就是想用偏T/偏x、偏T/偏y、偏u/偏x、偏u/偏y来表示这个式子。
麻烦您能给写出具体的式子吗?十分感谢啊!...
抱歉,不太懂你这个具体含义,只能给你建议,你可以试试用极坐标表示,法向单位适量可以用eθ表示,也许会好算。
赞
一下
回复此楼
等离子体模块教学,搜索公众号【comsol等离子体模拟】获取更多经验技巧哦
4楼
2015-04-23 17:58:02
已阅
回复此楼
关注TA
给TA发消息
送TA红花
TA的回帖
lyp0215
银虫
(小有名气)
应助: 39
(小学生)
金币: 243.7
散金: 35
红花: 5
帖子: 178
在线: 25.2小时
虫号: 3748985
注册: 2015-03-18
性别: GG
专业: 生物物理、生物化学与分子
【答案】应助回帖
感谢参与,应助指数 +1
,首先把n,倒三角分别写出分量形式。n乘以第一项,就是n的x,y,z分量分别和倒三角的x,y,z分量相乘。后面两项为标量,直接相乘就好。。
赞
一下
回复此楼
5楼
2015-04-25 07:45:53
已阅
回复此楼
关注TA
给TA发消息
送TA红花
TA的回帖
zzzxw
银虫
(正式写手)
应助: 2
(幼儿园)
金币: 304.6
红花: 13
帖子: 432
在线: 120.2小时
虫号: 2518007
注册: 2013-06-23
专业: 胶体与界面化学
我在这方面实在是不懂。
麻烦您能写出n的分量形式吗?
另外,后两项的系数也有倒三角,不需要写成分量形式吗?
谢谢啊!!!
赞
一下
回复此楼
6楼
2015-04-25 08:55:27
已阅
回复此楼
关注TA
给TA发消息
送TA红花
TA的回帖
zzzxw
银虫
(正式写手)
应助: 2
(幼儿园)
金币: 304.6
红花: 13
帖子: 432
在线: 120.2小时
虫号: 2518007
注册: 2013-06-23
专业: 胶体与界面化学
引用回帖:
5楼
:
Originally posted by
lyp0215
at 2015-04-25 07:45:53
,首先把n,倒三角分别写出分量形式。n乘以第一项,就是n的x,y,z分量分别和倒三角的x,y,z分量相乘。后面两项为标量,直接相乘就好。。
我在这方面实在是不懂。
麻烦您能写出n的分量形式吗?
另外,后两项的系数也有倒三角,不需要写成分量形式吗?
谢谢啊!!!
赞
一下
回复此楼
7楼
2015-04-25 08:55:57
已阅
回复此楼
关注TA
给TA发消息
送TA红花
TA的回帖
sciencejoy
新虫
(著名写手)
应助: 436
(硕士)
金币: 11207.1
红花: 90
帖子: 2974
在线: 498小时
虫号: 802149
注册: 2009-07-02
性别: GG
专业: 高分子物理与高分子物理化
【答案】应助回帖
感谢参与,应助指数 +1
在平面极坐标系里,
赞
一下
回复此楼
8楼
2015-04-25 10:41:48
已阅
回复此楼
关注TA
给TA发消息
送TA红花
TA的回帖
lyp0215
银虫
(小有名气)
应助: 39
(小学生)
金币: 243.7
散金: 35
红花: 5
帖子: 178
在线: 25.2小时
虫号: 3748985
注册: 2015-03-18
性别: GG
专业: 生物物理、生物化学与分子
【答案】应助回帖
引用回帖:
7楼
:
Originally posted by
zzzxw
at 2015-04-25 08:55:57
我在这方面实在是不懂。
麻烦您能写出n的分量形式吗?
另外,后两项的系数也有倒三角,不需要写成分量形式吗?
谢谢啊!!!...
不好意思开始看错了。
赞
一下
回复此楼
9楼
2015-04-25 19:37:23
已阅
回复此楼
关注TA
给TA发消息
送TA红花
TA的回帖
zzzxw
银虫
(正式写手)
应助: 2
(幼儿园)
金币: 304.6
红花: 13
帖子: 432
在线: 120.2小时
虫号: 2518007
注册: 2013-06-23
专业: 胶体与界面化学
引用回帖:
9楼
:
Originally posted by
lyp0215
at 2015-04-25 19:37:23
不好意思开始看错了。...
先谢谢了!不过还是感觉看不懂。
由于要在COMSOL软件中输入边界条件:g的表达式,上式中有i j k, 还有apha, beta, gamma, 估计软件不会认的。
1。由于我涉及的是二维问题, k项就没有了。
2。由于变量u T仅沿径向逐渐减小,也就是说减小的方向与n的方向(向外的单位法矢量)一致,是否意味着方程中左侧第一项为1?还是-1? 如果是1,上式就转变成下面的形式了。不然的话,i j k 之间的相乘又怎么计算啊?
未标题-1.jpg
赞
一下
回复此楼
10楼
2015-04-25 21:31:23
已阅
回复此楼
关注TA
给TA发消息
送TA红花
TA的回帖
相关版块跳转
数理科学综合
机械
物理
数学
农林
食品
地学
能源
信息科学
土木建筑
航空航天
转基因
我要订阅楼主
zzzxw
的主题更新
11
1/2
返回列表
1
2
下一页
如果回帖内容含有宣传信息,请如实选中。否则帐号将被全论坛禁言
普通表情
龙
兔
虎
猫
百度网盘
|
360云盘
|
千易网盘
|
华为网盘
在新窗口页面中打开自己喜欢的网盘网站,将文件上传后,然后将下载链接复制到帖子内容中就可以了。
信息提示
关闭
请填处理意见
关闭
确定