| ²é¿´: 988 | »Ø¸´: 5 | ||
bin0415Òø³æ (СÓÐÃûÆø)
|
[ÇóÖú]
mathmaticaÔËËãÓöµ½ÎÊÌâ ÇóÖú
|
|
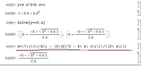
ÊÇÕâÑùµÄ ÎÒÔÚÓÃmathmatica×÷ÔËËãʱ Êä³öÒ»¸ö¶þάʽ×Ó µ±ÎÒ¸´ÖÆÕâ¸öʽ×ÓÓÃÀ´ÊäÈëʱ ¾Í±ä³ÉÁËһάʽ×Ó ¿´ÆðÀ´Ê®·Ö²»·½±ã ²»ÖªµÀÓÐûÓÐÈËÄÜÖ¸µãһϠÔõôÈÃÊäÈëÒ²ÊǶþάµÄʽ×Ó£¿Ð»Ð»ÁË ¸½ÉÏÒ»ÕŽØÍ¼ËµÃ÷Ï¡£ |
» ²ÂÄãϲ»¶
UJNÎïÀíѧרҵµ÷¼Á
ÒѾÓÐ12È˻ظ´
±±¾©ÄÉÃ×ÄÜÔ´ÓëϵͳÑо¿ËùÍõÖÐÁÖԺʿ/²ÜÄÏÓ±Ñо¿Ô±¿ÎÌâ×éÕÐÊÕ2026˶ʿÑо¿Éú1Ãû
ÒѾÓÐ0È˻ظ´
ÎïÀíѧIÂÛÎÄÈóÉ«/·ÒëÔõôÊÕ·Ñ?
ÒѾÓÐ155È˻ظ´
ɽÎ÷´óͬ´óѧÎïÀíѧ˶ʿÑо¿ÉúÕÐÊÕµ÷¼ÁÉú
ÒѾÓÐ0È˻ظ´
[µ÷¼ÁÐÅÏ¢]211ÖÇÄÜÈ˹¤¸ÐÖª·½Ïò¹ú¼ÒÇàÄêÌØÆ¸×¨¼Ò¿ÎÌâ×éÕÐÊÕµ÷¼ÁÑо¿Éú
ÒѾÓÐ0È˻ظ´
£Ûµ÷¼ÁÐÅÏ¢£Ý211ÖÇÄÜÈ˹¤¸ÐÖª·½Ïò¹ú¼ÒÇàÄêÌØÆ¸×¨¼Ò¿ÎÌâ×éÕÐÊÕµ÷¼ÁÑо¿Éú
ÒѾÓÐ0È˻ظ´
[µ÷¼ÁÐÅÏ¢]211ÖÇÄÜÈ˹¤¸ÐÖª·½Ïò¹ú¼ÒÇàÄêÌØÆ¸×¨¼Ò¿ÎÌâ×éÕÐÊÕµ÷¼ÁÑо¿Éú
ÒѾÓÐ0È˻ظ´
Ò»Ö¾Ô¸ÎïÀíËùÄý¾Û̬ÎïÀí352Çóµ÷¼Á
ÒѾÓÐ0È˻ظ´
0702Ò»Ö¾Ô¸¼ª´óBÇøÇóµ÷¼Á ±¾¿ÆÆÚ¼ä·¢±íһƪSci
ÒѾÓÐ2È˻ظ´
0702Ò»Ö¾Ô¸¼ª´óBÇøÇóµ÷¼Á ±¾¿ÆÆÚ¼ä·¢±íһƪSci
ÒѾÓÐ0È˻ظ´
» ±¾Ö÷ÌâÏà¹Ø¼ÛÖµÌùÍÆ¼ö£¬¶ÔÄúͬÑùÓаïÖú:
¡¾ÇóÖú¡¿MS ¼òµ¥ÔËËãµçÄÔÅäÖÃÎÊÌâ
ÒѾÓÐ20È˻ظ´
¡¾ÇóÖú¡¿´óÊó×ãÖºÖ×ÕÍʵÑéÓöµ½ÎÊÌâ
ÒѾÓÐ11È˻ظ´
¡¾ÇóÖú¡¿Í¶Catalysis CommunicationsÓöµ½ÎÊÌâ
ÒѾÓÐ7È˻ظ´
¡¾ÇóÖú¡¿JadeʹÓÃÖÐÓöµ½µÄÎÊÌâ
ÒѾÓÐ22È˻ظ´
¡¾ÇóÖú¡¿namd tutorialÓöµ½ÎÊÌâ
ÒѾÓÐ10È˻ظ´
¡¾ÇóÖú¡¿±½¼×ÁòÃѵĺϳÉÓöµ½ÎÊÌâ
ÒѾÓÐ12È˻ظ´
¡¾ÇóÖú¡¿MS4.3/4.4¶àºË´¦ÀíÆ÷²¢ÐÐÔËËãµÄÎÊÌâ
ÒѾÓÐ24È˻ظ´
tmdxyz
ľ³æ (³õÈëÎÄ̳)
- Ó¦Öú: 1 (Ó×¶ùÔ°)
- ½ð±Ò: 9286.4
- Ìû×Ó: 34
- ÔÚÏß: 26.4Сʱ
- ³æºÅ: 1375087
- ×¢²á: 2011-08-21
- רҵ: »¯Ñ§·´Ó¦¹¤³Ì
2Â¥2011-11-24 10:36:18
tmdxyz
ľ³æ (³õÈëÎÄ̳)
- Ó¦Öú: 1 (Ó×¶ùÔ°)
- ½ð±Ò: 9286.4
- Ìû×Ó: 34
- ÔÚÏß: 26.4Сʱ
- ³æºÅ: 1375087
- ×¢²á: 2011-08-21
- רҵ: »¯Ñ§·´Ó¦¹¤³Ì
¡¾´ð°¸¡¿Ó¦Öú»ØÌû
¡ï ¡ï
dbb627(½ð±Ò+2): ¸ÐлӦÖú 2011-11-24 11:04:41
dbb627(½ð±Ò+2): ¸ÐлӦÖú 2011-11-24 11:04:41
3Â¥2011-11-24 10:39:25
bin0415
Òø³æ (СÓÐÃûÆø)
- Ó¦Öú: 0 (Ó×¶ùÔ°)
- ½ð±Ò: 115.3
- É¢½ð: 82
- ºì»¨: 1
- Ìû×Ó: 104
- ÔÚÏß: 52.6Сʱ
- ³æºÅ: 1294462
- ×¢²á: 2011-05-13
- רҵ: »úе¹¤³Ì
4Â¥2011-11-24 23:38:30
bin0415
Òø³æ (СÓÐÃûÆø)
- Ó¦Öú: 0 (Ó×¶ùÔ°)
- ½ð±Ò: 115.3
- É¢½ð: 82
- ºì»¨: 1
- Ìû×Ó: 104
- ÔÚÏß: 52.6Сʱ
- ³æºÅ: 1294462
- ×¢²á: 2011-05-13
- רҵ: »úе¹¤³Ì
5Â¥2011-11-24 23:39:24
wangww2011
ľ³æ (ÖøÃûдÊÖ)
- Ó¦Öú: 11 (СѧÉú)
- ½ð±Ò: 4023.1
- É¢½ð: 2709
- ºì»¨: 18
- ɳ·¢: 1
- Ìû×Ó: 1915
- ÔÚÏß: 1537.1Сʱ
- ³æºÅ: 772953
- ×¢²á: 2009-05-17
- ÐÔ±ð: GG
- רҵ: Äý¾Û̬ÎïÐÔ II £ºµç×ӽṹ
¡¾´ð°¸¡¿Ó¦Öú»ØÌû
¡ï
dbb627(½ð±Ò+1): »¶Ó½»Á÷ 2011-11-28 20:05:03
dbb627(½ð±Ò+1): »¶Ó½»Á÷ 2011-11-28 20:05:03
|
ºÇºÇ ÎÒ¾õµÃÂ¥Ö÷ÏëÎʵÄÊÇ ÈçºÎÈ«²¿¸´ÖÆÒ»¸öʽ×ÖµÄʱºò°ÑÃÀ¹ÛÏÔʾµÄÐÅÏ¢Ò²¸´ÖÆ×Å£¿ ÄãÒ²¿ÉÓÒ¼üCopy as Cell Expression. ÎÒÏÖÔÚµçÄÔÉÏCtrl£«C¸´ÖƾÍÊǺõġ£ |
6Â¥2011-11-25 04:49:39














»Ø¸´´ËÂ¥