24小时热门版块排行榜    

查看: 2483  |  回复: 0

zjp热力学

新虫 (初入文坛)

[求助] 有限差分法解偏微分方程时边界节点处理问题

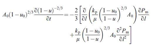
方程采用MacCormack(简称MC,麦科马克)显式预测-校正法求解,关于网格边界节点处如何求解,因为i=1时,不存在i=0这一列;如果左边界节点采用向前差分方法,那么方程中二阶导数部分如何离散化?

有限差分法解偏微分方程时边界节点处理问题
1.JPG


有限差分法解偏微分方程时边界节点处理问题-1
2.JPG
回复此楼
已阅   回复此楼   关注TA 给TA发消息 送TA红花 TA的回帖

智能机器人

Robot (super robot)

我们都爱小木虫

找到一些相关的精华帖子,希望有用哦~

科研从小木虫开始,人人为我,我为人人
相关版块跳转 我要订阅楼主 zjp热力学 的主题更新
最具人气热帖推荐 [查看全部] 作者 回/看 最后发表
[考研] 考研化学学硕调剂,一志愿985 +3 张vvvv 2026-03-15 5/250 2026-03-16 20:25 by 张vvvv
[考研] 环境工程调剂 +6 大可digkids 2026-03-16 6/300 2026-03-16 17:16 by barlinike
[考研] 一志愿985,本科211,0817化学工程与技术319求调剂 +5 Liwangman 2026-03-15 5/250 2026-03-16 17:10 by 我的船我的海
[考研] 0703化学调剂 ,六级已过,有科研经历 +7 曦熙兮 2026-03-15 7/350 2026-03-16 16:34 by houyaoxu
[考研] 085600调剂 +5 漾漾123sun 2026-03-12 6/300 2026-03-16 15:58 by 漾漾123sun
[考研] 070303 总分349求调剂 +3 LJY9966 2026-03-15 5/250 2026-03-16 14:24 by xwxstudy
[考研] 308求调剂 +3 是Lupa啊 2026-03-16 3/150 2026-03-16 10:07 by 求调剂zz
[基金申请] NSFC申报书里申请人简历中代表性论著还需要在申报书最后的附件里面再上传一遍吗 20+5 NSFC2026我来了 2026-03-10 14/700 2026-03-15 23:53 by 不负韶华的虎
[考研] 070305求调剂 +3 mlpqaz03 2026-03-14 4/200 2026-03-15 11:04 by peike
[考研] 招收0805(材料)调剂 +3 18595523086 2026-03-13 3/150 2026-03-14 00:33 by 123%、
[考研] 一志愿湖师大化学289求调剂 +6 XMCMM3.14159 2026-03-10 6/300 2026-03-14 00:28 by JourneyLucky
[考研] 327求调剂 +4 Ffff03 2026-03-10 4/200 2026-03-14 00:17 by JourneyLucky
[考研] 341求调剂 +3 番茄头--- 2026-03-10 3/150 2026-03-13 23:07 by JourneyLucky
[考研] 290求调剂 +7 ADT 2026-03-12 7/350 2026-03-13 15:17 by JourneyLucky
[考研] 328化工专硕求调剂 +4 。,。,。,。i 2026-03-12 4/200 2026-03-13 14:44 by JourneyLucky
[考研] 0817化学工程与技术考研312分调剂 +3 T123 tt 2026-03-12 3/150 2026-03-13 10:49 by houyaoxu
[考研] 296求调剂 +3 大口吃饭 身体健 2026-03-13 3/150 2026-03-13 10:31 by 学员8dgXkO
[考研] 081200-11408-276学硕求调剂 +3 崔wj 2026-03-12 4/200 2026-03-12 19:33 by 求调剂zz
[考研] 化工0817调剂 +8 灿若星晨 2026-03-10 8/400 2026-03-10 22:44 by 星空星月
[考研] 一志愿:武汉理工,材料工程,英二数二 总分314 +3 2202020125 2026-03-10 4/200 2026-03-10 13:54 by xiongyaxuan
信息提示
请填处理意见