| ²é¿´: 1606 | »Ø¸´: 8 | ||
æä±ßÇÅCQUгæ (СÓÐÃûÆø)
|
[ÇóÖú]
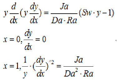
matlabÇó½â±ß½çÖµÎÊÌâ ÒÑÓÐ1È˲ÎÓë
|
|
|
|
||
dingdÌú¸Ëľ³æ (Ö°Òµ×÷¼Ò)
|
¡¾´ð°¸¡¿Ó¦Öú»ØÌû
¸Ðл²ÎÓ룬ӦÖúÖ¸Êý +1
|
|
|
2Â¥2015-04-08 11:26:43
|
|
|
æä±ßÇÅCQUгæ (СÓÐÃûÆø)
|
||
|
3Â¥2015-04-08 14:54:39
|
|
|
dingdÌú¸Ëľ³æ (Ö°Òµ×÷¼Ò)
|
¡¾´ð°¸¡¿Ó¦Öú»ØÌû
¡ï ¡ï ¡ï ¡ï ¡ï ¡ï ¡ï
æä±ßÇÅCQU: ½ð±Ò+5, ¡ï¡ï¡ï¡ï¡ï×î¼Ñ´ð°¸ 2015-04-08 21:13:01 xzhdty: ллӦÖú 2015-04-08 22:51:39 xzhdty: ½ð±Ò+2 2015-04-08 22:51:55
|
|
|
4Â¥2015-04-08 17:01:45
|
|
|
æä±ßÇÅCQUгæ (СÓÐÃûÆø)
|
||
|
5Â¥2015-04-08 21:11:57
|
|
|
æä±ßÇÅCQUгæ (СÓÐÃûÆø)
|
||
|
6Â¥2015-04-08 21:26:30
|
|
|
æä±ßÇÅCQUгæ (СÓÐÃûÆø)
|
||
|
7Â¥2015-04-08 21:35:12
|
|
|
æä±ßÇÅCQUгæ (СÓÐÃûÆø)
|
||
|
8Â¥2015-04-08 22:41:54
|
|
|
æä±ßÇÅCQUгæ (СÓÐÃûÆø)
|
||
|
9Â¥2015-04-09 15:08:43
|
|














»Ø¸´´ËÂ¥