版块导航
正在加载中...
客户端APP下载
登录
注册
帖子
帖子
用户
本版
应《网络安全法》要求,自2017年10月1日起,未进行实名认证将不得使用互联网跟帖服务。为保障您的帐号能够正常使用,请尽快对帐号进行手机号验证,感谢您的理解与支持!
24小时热门版块排行榜
>
论坛更新日志
(2777)
>
文献求助
(171)
>
考博
(164)
>
导师招生
(139)
>
虫友互识
(72)
>
硕博家园
(71)
>
休闲灌水
(62)
>
基金申请
(55)
>
招聘信息布告栏
(46)
>
攻关文献(高奖励)
(43)
>
仿真模拟
(38)
>
博后之家
(20)
>
教师之家
(15)
>
论文投稿
(15)
>
公派出国
(12)
>
考研
(11)
小木虫论坛-学术科研互动平台
»
专业学科区
»
数学
»
工科数学
»
一个积分运算
3
1/1
返回列表
查看: 581 | 回复: 2
只看楼主
@他人
存档
新回复提醒
(忽略)
收藏
在APP中查看
liuqs610
禁虫
(初入文坛)
本帖内容被屏蔽
» 收录本帖的淘帖专辑推荐
数学问题集锦
» 猜你喜欢
2026年申博-电池方向
已经有5人回复
导师各种操作恶心咋办
已经有4人回复
26年博士申请自荐-电催化
已经有9人回复
研究生做的很差,你们会让毕业吗?
已经有11人回复
求碳排放博导;方向是LCA、生命周期可持续发展以及碳排放
已经有7人回复
2026博士申请求助
已经有4人回复
2026博士或科研助理转27年博士
已经有7人回复
急招2026年9月份入学博士
已经有3人回复
国自科送审了吗
已经有11人回复
博士招生
已经有5人回复
高级回复
» 本主题相关价值贴推荐,对您同样有帮助:
两电子关联 6重积分 如何计算
已经有8人回复
用含有定积分的隐函数拟合数据,matlab或者origin
已经有18人回复
关于使用Multiwfn计算ELF的Basin积分的问题
已经有6人回复
想计算分子从基态跃迁到激发态下LUMO和HOMO电子波函数的重叠积分,说明书看糊涂了
已经有9人回复
求问, 关于定积分和不定积分 软件计算
已经有3人回复
一个积分,总是算不出来
已经有4人回复
求助一个关于计算磁阻的定积分
已经有4人回复
数值积分方法求助
已经有6人回复
ISMEAR=-5计算态密度,用origin积分后得到的电子数与DOS中相差很大是怎么回事?
已经有6人回复
有个概率公式,有积分。用啥软件可以实现呢?
已经有7人回复
请教一个积分用留数定理计算的问题
已经有15人回复
三点支撑一个平面,最稳定的方案??
已经有8人回复
格林函数 积分 数值计算
已经有10人回复
新手求救啊!Fluent非稳态计算 怎么样才能在每一个时间步上调用一次UDF啊?
已经有15人回复
求助一个体积计算问题
已经有10人回复
matlab 积分求助
已经有8人回复
matlab 积分计算 算不出结果,求帮助!!!
已经有10人回复
计算一道不定积分
已经有11人回复
【求助】积分软件
已经有8人回复
【求助】【求助】mathematica中的一种数值积分问题
已经有5人回复
【求助】Aspen Custom Model做积分计算
已经有10人回复
【求助】以下积分怎么计算?【已解决】
已经有9人回复
1楼
2015-01-18 10:49:49
已阅
关注TA
给TA发消息
送TA红花
TA的回帖
终之太刀—晓
铁杆木虫
(著名写手)
数学爱好者
数学EPI: 7
应助: 282
(大学生)
贵宾: 0.018
金币: 2934.2
散金: 5589
红花: 53
帖子: 1809
在线: 401.6小时
虫号: 3469007
注册: 2014-10-12
性别:
MM
专业: 偏微分方程
★ ★ ★ ★ ★
小木虫: 金币+0.5, 给个红包,谢谢回帖
feixiaolin: 金币+4
2015-01-19 11:15:25
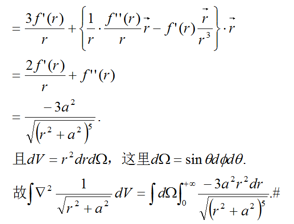
如图:
1.png
2.png
赞
一下
回复此楼
PreferenceforMathematics
2楼
2015-01-19 00:51:12
已阅
关注TA
给TA发消息
送TA红花
TA的回帖
pippi6
铁杆木虫
(著名写手)
工程和科学数值计算咨询
数学EPI: 6
应助: 413
(硕士)
贵宾: 0.002
金币: 7116.5
散金: 15
红花: 63
帖子: 1639
在线: 798.9小时
虫号: 2469437
注册: 2013-05-14
专业: 计算数学与科学工程计算
★ ★ ★ ★
小木虫: 金币+0.5, 给个红包,谢谢回帖
feixiaolin: 金币+3
2015-01-19 11:15:40
其实 -1/(4*pi*r) 就是laplacian的green function。所以结论是显然的。lz引用的文献实际上是用了一个初级方式验证了green function。
赞
一下
回复此楼
3楼
2015-01-19 08:01:11
已阅
关注TA
给TA发消息
送TA红花
TA的回帖
相关版块跳转
数理科学综合
机械
物理
数学
农林
食品
地学
能源
信息科学
土木建筑
航空航天
转基因
我要订阅楼主
liuqs610
的主题更新
3
1/1
返回列表
信息提示
关闭
请填处理意见
关闭
确定