Znn3bq.jpeg
²é¿´: 914  |  »Ø¸´: 1

½ª½ª½ª88

гæ (³õÈëÎÄ̳)

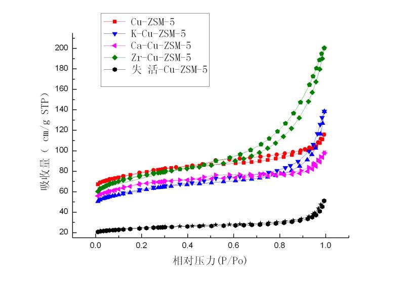
[ÇóÖú] ÇóÖú£¬·Ö×ÓɸµÄµªÆøÎüÍѸ½ÇúÏß·ÖÎö ÒÑÓÐ1È˲ÎÓë

ÎÒ×öÁËZSM-5·Ö×ÓɸµÄµªÆøÎüÍѸ½ÊµÑé±íÕ÷£¬ÎÒÏëÇë½Ìһϴó¼Ò£¬Õ⼸¸öͼÊÇÄÇÖÖÀàÐÍ£¿ÄÇÖÖÖͺóÀàÐÍ£¿
ÎÒµÚÒ»´Î½Ó´¥£¬²»ÊǺÜÁ˽⣬ÏëÇë¼Ùһϴó¼Ò¸øµãÒâ¼û¡£

ÇóÖú£¬·Ö×ÓɸµÄµªÆøÎüÍѸ½ÇúÏß·ÖÎö
Îü¸½Á¿.jpg
»Ø¸´´ËÂ¥

» ²ÂÄãϲ»¶

» ±¾Ö÷ÌâÏà¹ØÉ̼ÒÍÆ¼ö: (ÎÒÒ²ÒªÔÚÕâÀïÍÆ¹ã)

» ±¾Ö÷ÌâÏà¹Ø¼ÛÖµÌùÍÆ¼ö£¬¶ÔÄúͬÑùÓаïÖú:

ÒÑÔÄ   »Ø¸´´ËÂ¥   ¹Ø×¢TA ¸øTA·¢ÏûÏ¢ ËÍTAºì»¨ TAµÄ»ØÌû

liwentao2010

ÈÙÓþ°æÖ÷ (ÎÄ̳¾«Ó¢)

ɽÌÎ

ÓÅÐã°æÖ÷ÓÅÐã°æÖ÷ÓÅÐã°æÖ÷ÓÅÐã°æÖ÷ÓÅÐã°æÖ÷

¡¾´ð°¸¡¿Ó¦Öú»ØÌû

¸Ðл²ÎÓ룬ӦÖúÖ¸Êý +1
¼ÓÓÍ£¡
2Â¥2015-01-12 13:27:55
ÒÑÔÄ   »Ø¸´´ËÂ¥   ¹Ø×¢TA ¸øTA·¢ÏûÏ¢ ËÍTAºì»¨ TAµÄ»ØÌû
Ïà¹Ø°æ¿éÌø×ª ÎÒÒª¶©ÔÄÂ¥Ö÷ ½ª½ª½ª88 µÄÖ÷Ìâ¸üÐÂ
×î¾ßÈËÆøÈÈÌûÍÆ¼ö [²é¿´È«²¿] ×÷Õß »Ø/¿´ ×îºó·¢±í
[¿¼ÑÐ] Ò»Ö¾Ô¸Î÷±±¹¤Òµ´óѧ289 085602 +30 yangæÃ 2026-04-10 30/1500 2026-04-10 20:02 by jefferylhl
[¿¼ÑÐ] ±¾9 Ò»Ö¾Ô¸Î÷¹¤´ó085601 324Çóµ÷¼Á +5 wysyjs25 2026-04-10 5/250 2026-04-10 16:57 by luoyongfeng
[¿¼ÑÐ] 326Çóµ÷¼Á +3 Shansyn 2026-04-10 3/150 2026-04-10 15:34 by hemengdong
[¿¼ÑÐ] Çóµ÷¼Á ²ÄÁÏÓ빤³Ì 324·Ö ר˶ +19 ôæôæÒ»ÊéÉú 2026-04-10 21/1050 2026-04-10 11:41 by wp06
[¿¼ÑÐ] 0702ÎïÀíѧѧ˶299Çóµ÷¼Á +6 ÆîÆâÁ¬ 2026-04-06 6/300 2026-04-10 11:10 by Roomoo
[¿¼ÑÐ] 080100Á¦Ñ§316Çóµ÷¼Á +7 L_Hairui 2026-04-07 7/350 2026-04-10 09:45 by vgtyfty
[¿¼ÑÐ] 347²ÄÁÏר˶Çóµ÷¼Á +19 zj8215216 2026-04-06 19/950 2026-04-10 09:36 by 690616278
[¿¼ÑÐ] 070300»¯Ñ§Ñ§Ë¶311·ÖÇóµ÷¼Á +12 Áº¸»¹óÏÕÖÐÇó 2026-04-04 14/700 2026-04-10 08:07 by kangsm
[¿¼ÑÐ] »¯¹¤Çóµ÷¼Á£¡ +34 RichLi_ 2026-04-06 34/1700 2026-04-09 20:39 by zhouxiaoyu
[¿¼ÑÐ] ¼ÆËã»ú11408£¬286·ÖÇóµ÷¼Á +9 ľ×ÓÄî•„ 2026-04-05 9/450 2026-04-09 20:04 by vgtyfty
[¿¼ÑÐ] Ò»Ö¾Ô¸ÖпÆÔº105500רҵ×Ü·Ö315Çóµ÷¼Á +6 lallalh 2026-04-09 7/350 2026-04-09 17:51 by lallalh
[¿¼ÑÐ] 086004 Çóµ÷¼Á 309 +7 Yin DY 2026-04-08 7/350 2026-04-09 13:59 by Delta2012
[¿¼ÑÐ] 285Çóµ÷¼Á +20 ŶßϺôo 2026-04-04 20/1000 2026-04-08 22:23 by yutian743
[¿¼ÑÐ] ר˶310Çóµ÷¼Á +7 ÀÌÀÌÎÒ¡­. 2026-04-04 8/400 2026-04-08 20:24 by yutian743
[¿¼ÑÐ] Ò»Ö¾Ô¸¹þ¹¤´ó£¬³õÊÔ329£¬Çó»·¾³¿ÆÑ§Ó빤³Ìµ÷¼Á£¡ +11 ÓàδÐÁ 2026-04-06 11/550 2026-04-08 15:21 by screening
[¿¼ÑÐ] 277Çóµ÷¼Á ÊýÒ»104·Ö +9 Æ¿×ÓPZ 2026-04-05 14/700 2026-04-07 17:52 by À¶ÔÆË¼Óê
[¿¼ÑÐ] 26×ÔÈ»µØÀíѧ303·ÖÇóµ÷¼Á +4 Ò»Õ½³É˶°¡°¡°¡° 2026-04-06 9/450 2026-04-06 20:35 by lin-da
[¿¼ÑÐ] 307Çóµ÷¼Á +3 ËùÄî¼°ËùÍû 2026-04-06 3/150 2026-04-06 17:30 by ÍÁľ˶ʿÕÐÉú
[¿¼ÑÐ] Ò»Ö¾Ô¸ÉϺ£º£Ñó´óѧ083200ʳƷѧ˶£¬Çóµ÷¼Á£¬½ÓÊÜÆäËûרҵ083200 +4 whatÕÅ 2026-04-04 5/250 2026-04-05 14:07 by chw1980_0
[¿¼ÑÐ] Ò»Ö¾Ô¸¶«±±´óѧ085901ÍÁľר˶345Çóµ÷¼Á +3 zxt11111 2026-04-04 3/150 2026-04-04 14:21 by ÍÁľ˶ʿÕÐÉú
ÐÅÏ¢Ìáʾ
ÇëÌî´¦ÀíÒâ¼û