| 查看: 1627 | 回复: 8 | ||
[求助]
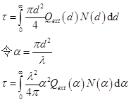
一个积分换元问题,求鉴定是否对?? 已有3人参与
|
||
![]() |
||
|
|
||
pippi6铁杆木虫 (著名写手)
工程和科学数值计算咨询
|
||
|
2楼2014-12-28 10:56:57
|
|
|
|
3楼2014-12-29 04:59:35
|
|
|
![]() |
||
|
4楼2014-12-29 13:25:43
|
|
|
|
5楼2014-12-30 10:42:28
|
|
|
【答案】应助回帖
★ ★ ★ ★ ★
Kevlar_J: 金币+5, ★有帮助, 我自己也做了换元推导,但由于这是某课本内容不敢轻易怀疑,固。。。。详见《光散射理论及其应用》 2015-01-17 13:24:11
» 本帖附件资源列表
2015-01-06 16:44:27, 2.28 M
|
||
|
6楼2015-01-06 16:44:16
|
|
|
![]() |
||
|
7楼2015-01-17 13:22:46
|
|
|
![]() |
||
|
8楼2015-01-17 13:25:29
|
|
|
![]() |
||
|
9楼2015-01-17 13:27:09
|
|













回复此楼
Kevlar_J