| 查看: 1628 | 回复: 7 | |||
| 本帖产生 1 个 数学EPI ,点击这里进行查看 | |||
miaozaoyang木虫 (正式写手)
么么哒
|
[求助]
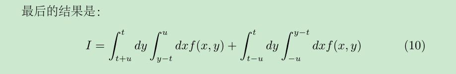
求高手帮忙计算双重积分交换积分次序,比较别扭的一个积分,有点难度。
|
||
或许以后有用 | 数学 |
» 猜你喜欢
材料与化工371求调剂
已经有14人回复
336材料与化工085600求调剂
已经有7人回复
材料334求调剂
已经有18人回复
331求调剂
已经有8人回复
332求调剂
已经有17人回复
一志愿南京航空航天大学 材料与化工329分求调剂
已经有4人回复
材料专硕322
已经有7人回复
求调剂
已经有20人回复
一志愿郑州大学085600求调剂
已经有20人回复
化学调剂
已经有17人回复
racoon01
专家顾问 (著名写手)
-

专家经验: +213 - 数学EPI: 3
- 应助: 212 (大学生)
- 金币: 24355.2
- 散金: 27
- 红花: 71
- 帖子: 2438
- 在线: 643.2小时
- 虫号: 1282452
- 注册: 2011-05-01
- 专业: 中国近代史、现代史
- 管辖: 物理
【答案】应助回帖
★ ★ ★ ★ ★ ★ ★ ★ ★ ★ ★ ★ ★ ★ ★ ★ ★ ★ ★ ★ ★ ★ ★ ★ ★ ★ ★ ★ ★ ★
感谢参与,应助指数 +1
miaozaoyang: 金币+30, ★★★★★最佳答案, 太强了,您的回答太给力了!非常感谢!高手啊,以后还望多和你在数学上有交流!再次表示感谢。 2012-11-24 10:23:38
soliton923: 数学EPI+1, 谢谢参与讨论~~~牛人一枚,欢迎常来数学版参与讨论 2012-11-25 18:59:21
感谢参与,应助指数 +1
miaozaoyang: 金币+30, ★★★★★最佳答案, 太强了,您的回答太给力了!非常感谢!高手啊,以后还望多和你在数学上有交流!再次表示感谢。 2012-11-24 10:23:38
soliton923: 数学EPI+1, 谢谢参与讨论~~~牛人一枚,欢迎常来数学版参与讨论 2012-11-25 18:59:21

8楼2012-11-23 14:55:07

2楼2012-11-21 13:45:14
miaozaoyang
木虫 (正式写手)
么么哒
- 应助: 8 (幼儿园)
- 金币: 4087.2
- 散金: 1155
- 红花: 1
- 帖子: 723
- 在线: 313.4小时
- 虫号: 1066799
- 注册: 2010-07-30
- 性别: GG
- 专业: 控制理论与方法
3楼2012-11-21 16:16:38

4楼2012-11-21 17:34:55
miaozaoyang
木虫 (正式写手)
么么哒
- 应助: 8 (幼儿园)
- 金币: 4087.2
- 散金: 1155
- 红花: 1
- 帖子: 723
- 在线: 313.4小时
- 虫号: 1066799
- 注册: 2010-07-30
- 性别: GG
- 专业: 控制理论与方法
5楼2012-11-21 22:32:41

6楼2012-11-21 23:30:54
miaozaoyang
木虫 (正式写手)
么么哒
- 应助: 8 (幼儿园)
- 金币: 4087.2
- 散金: 1155
- 红花: 1
- 帖子: 723
- 在线: 313.4小时
- 虫号: 1066799
- 注册: 2010-07-30
- 性别: GG
- 专业: 控制理论与方法
7楼2012-11-21 23:51:28














回复此楼