| 查看: 935 | 回复: 5 | |||
hylb3020木虫 (正式写手)
流体力学爱好者
|
[求助]
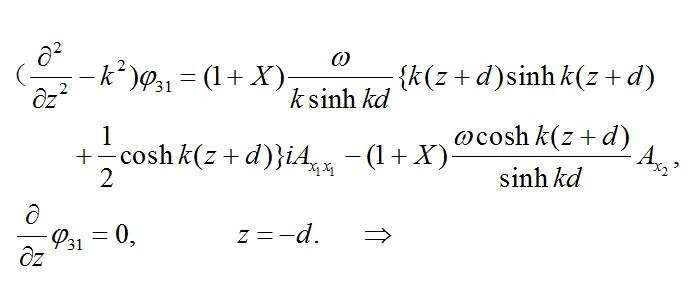
求助解微分方程
|
||
![]() |
|||
|
|
|||
feixiaolin荣誉版主 (文坛精英)
|
|||
|
2楼2014-11-28 16:39:03
|
|
||
hylb3020木虫 (正式写手)
流体力学爱好者
|
|||
![]() |
|||
|
3楼2014-11-28 16:53:36
|
|
||
feixiaolin荣誉版主 (文坛精英)
|
|||
|
4楼2014-11-28 16:59:26
|
|
||
hylb3020木虫 (正式写手)
流体力学爱好者
|
|||
![]() |
|||
|
5楼2014-11-28 17:09:00
|
|
||
hylb3020木虫 (正式写手)
流体力学爱好者
|
|||
![]() |
|||
|
6楼2014-11-28 21:05:38
|
|














回复此楼
