| 查看: 626 | 回复: 1 | ||||
[交流]
傅里叶变换方面求解 已有1人参与
|
» 本主题相关价值贴推荐,对您同样有帮助:
各位,拉普拉斯变换和傅里叶变换,在解微分方程时,各自特点,哪一种更好
已经有20人回复
一个约束规划问题求解
已经有13人回复
关于laplace变换和fourier变换的问题
已经有14人回复
求解相算法的相关matlab程序块
已经有3人回复
求相位解包算法的matlab程序块
已经有6人回复
求窗口傅里叶变换的matlab程序
已经有6人回复
傅里叶级数及变换
已经有7人回复
离散傅里叶变换的正弦曲线保真度应该怎么理解?
已经有3人回复
使用Origin8.5进行 傅里叶变换 时遇到的问题,跪求解答!
已经有10人回复
量子力学中,表象变换问题,求助
已经有41人回复
关于matlab进行傅里叶变换和逆变换的程序,求大神指导!
已经有9人回复
【求组】用matlab的fft求空间频谱
已经有8人回复
求教matlab傅里叶变换求解
已经有5人回复
在信号处理中幅值谱、功率谱、功率谱密度谁能详细的说一下,三者之间的关系?
已经有7人回复
二阶微分方程的数值解的傅里叶变换
已经有3人回复
如何理解拉普拉斯变换,傅立叶变换的
已经有10人回复
哪位大神来指导下数字信号处理怎么学,感激不尽
已经有30人回复
求助:谁用过origin傅里叶变换图(FFT)
已经有7人回复
对傅里叶变换的理解…
已经有22人回复
求助:能不能帮忙写一个用matlab求一个函数的傅里叶变换的程序
已经有16人回复
关于傅里叶光学中的 4f 系统 的不解。。。。
已经有6人回复
【求助】紧急求助:三角函数的傅里叶变换
已经有14人回复
【求助】原位傅里叶变换红外光谱仪
已经有5人回复
zaq123321
专家顾问 (著名写手)
-

专家经验: +342 - 数学EPI: 6
- 应助: 298 (大学生)
- 贵宾: 0.247
- 金币: 11336.3
- 红花: 29
- 帖子: 1221
- 在线: 538.8小时
- 虫号: 405284
- 注册: 2007-06-17
- 性别: MM
- 专业: 生物大分子结构与功能
- 管辖: 数学
★
小木虫: 金币+0.5, 给个红包,谢谢回帖
小木虫: 金币+0.5, 给个红包,谢谢回帖
|
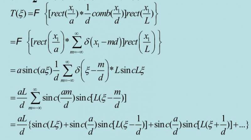
Line2->line3. Use Fourier convolution theorem. Not here delta function is defined as 1 at zero, 0 all others. It's different with the continuous Dirac Delta distribution. Line3->Line4. Use the property of the comb function with other function. See like http://www-rohan.sdsu.edu/~jiracek/DAGSAW/4.2.html Note there is a * missing in (4.2.6). |

2楼2014-10-14 03:31:24













回复此楼