| 查看: 864 | 回复: 11 | ||||
xuyihan木虫 (正式写手)
|
[求助]
求高手帮忙拟合非线性自定义曲线已有1人参与
|
|||
|
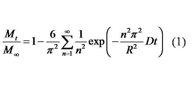
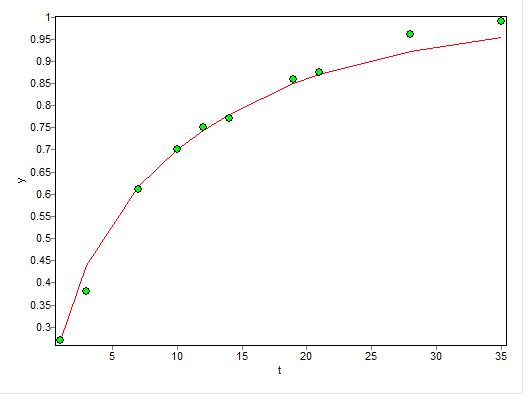
求高手帮忙拟合一条曲线,真的非常紧急! 数据如图片1所示,自定义的方程如图片2所示。方程中的n最好取到10以上,如果能尽快给我结果,取到2也没问题。R=7.2E-6,唯一的参数D的值约为8.64E-13。y轴为方程等号左边那项,x轴为t。 谢谢!!! picture.jpg picture 2.jpg |
» 猜你喜欢
【复旦大学】二维材料方向招收2026年博士研究生1名
已经有0人回复
北京纳米能源与系统研究所 王中林院士/曹南颖研究员课题组2026级硕/博/博后招生
已经有10人回复
物理学I论文润色/翻译怎么收费?
已经有254人回复
荷兰Utrecht University超快太赫兹光谱王海教授课题招收2026 CSC博士生
已经有23人回复
反铁磁体中的磁性切换:两种不同的机制已成功可视化
已经有0人回复
求标准粉末衍射卡号 ICDD 01-076-1802
已经有0人回复
新西兰Robinson研究所招收全奖PhD
已经有0人回复
石墨烯转移--二氧化硅衬底石墨烯
已经有0人回复
» 本主题相关价值贴推荐,对您同样有帮助:
origin8.0 非线性自定义函数拟合,求指导
已经有5人回复
Origin如何输入非线性拟合公式?
已经有4人回复
求助用origin自带的ExpAssoc函数进行非线性拟合
已经有8人回复
跪求高手帮忙看看这组数据如何进行拟合
已经有7人回复
5阶曲线如何拟合出来?
已经有7人回复
求Origin或Matlab高手非线性拟合公式
已经有5人回复
求助一个origin 8.0 自定义非线性拟合的具体操作
已经有4人回复
origin 非线性自定义拟合问题~~方程组编写及运行~~
已经有8人回复
求高手相助:origin非线性拟合 新建公式怎么编辑
已经有8人回复
求助original曲线拟合。
已经有6人回复
非线性数据拟合的数学原理!!!!!????
已经有30人回复
等温吸附 线性 非线性拟合结果不一致,希望大家多多指教
已经有15人回复
求指点 langmuir线性拟合 与 非线性拟合 不一致
已经有12人回复
如何用origin进行非线性拟合?
已经有9人回复
1stopt或matlab如何求解以下的非线性方程并拟合出相应曲线?
已经有13人回复
origin进行非线性拟合如何选择函数或者自定义合适的函数
已经有19人回复
求助:origin8.0 自定义非线性拟合,参数拟合值与设定初始值一样
已经有18人回复

月只蓝
主管区长 (职业作家)
-

专家经验: +1059 - 计算强帖: 8
- 应助: 1712 (讲师)
- 贵宾: 8.888
- 金币: 68121.7
- 散金: 1938
- 红花: 443
- 沙发: 4
- 帖子: 4373
- 在线: 3291.4小时
- 虫号: 1122189
- 注册: 2010-10-14
- 专业: 宇宙学
- 管辖: 计算模拟区
【答案】应助回帖
★ ★ ★ ★ ★ ★ ★ ★ ★ ★ ★ ★ ★ ★ ★ ★ ★ ★ ★ ★ ★ ★ ★ ★ ★ ★ ★ ★ ★ ★ ★ ★ ★ ★ ★ ★ ★ ★ ★ ★ ★ ★ ★ ★ ★ ★ ★ ★ ★ ★
感谢参与,应助指数 +1
xuyihan: 金币+50, ★★★很有帮助, 请您提供图片,O(∩_∩)O谢谢 2014-10-13 22:25:42
感谢参与,应助指数 +1
xuyihan: 金币+50, ★★★很有帮助, 请您提供图片,O(∩_∩)O谢谢 2014-10-13 22:25:42
|
1. 取10项加和: 代码: Constant R=7.2e-6; Parameters D ; Variable t,y; Function y=1-6/Pi/Pi*( (exp(-D*t*1*Pi^2/R/R))/1+(exp(-D*t*4*Pi^2/R/R))/4+(exp(-D*t*9*Pi^2/R/R))/9+(exp(-D*t*16*Pi^2/R/R))/16+(exp(-D*t*25*Pi^2/R/R))/25+(exp(-D*t*36*Pi^2/R/R))/36+(exp(-D*t*49*Pi^2/R/R))/49+(exp(-D*t*64*Pi^2/R/R))/64+(exp(-D*t*81*Pi^2/R/R))/81+(exp(-D*t*100*Pi^2/R/R))/100 ); Data; 1 0.27 3 0.38 7 0.61 10 0.7 12 0.75 14 0.77 19 0.86 21 0.875 28 0.96 35 0.99 计算结果: 均方差(RMSE): 0.0256021597968399 残差平方和(SSE): 0.00655470586262925 相关系数(R): 0.996390989912923 相关系数之平方(R^2): 0.992795004779654 决定系数(DC): 0.987097099202013 卡方系数(Chi-Square): 0.00590587235987586 F统计(F-Statistic): 1102.34077821577 参数 最佳估算 ---------- ------------- d 3.86356306667109E-13 ====== 结果输出 ===== No 实测值y 计算值y 1 0.27 0.2698810 2 0.38 0.4390966 3 0.61 0.6166810 4 0.7 0.7005544 5 0.75 0.7440429 6 0.77 0.7804440 7 0.86 0.8491559 8 0.875 0.8699669 9 0.96 0.9224453 10 0.99 0.9536752 2. 取2项加和: 代码: Constant R=7.2e-6; Parameters D; Variable t,y; Function y=1-6/Pi/Pi*( (exp(-D*t*1*Pi^2/R/R))/1+(exp(-D*t*4*Pi^2/R/R))/4); Data; 1 0.27 3 0.38 7 0.61 10 0.7 12 0.75 14 0.77 19 0.86 21 0.875 28 0.96 35 0.99 结果: 均方差(RMSE): 0.0325007481060452 残差平方和(SSE): 0.010562986274526 相关系数(R): 0.998474767237474 相关系数之平方(R^2): 0.996951860809929 决定系数(DC): 0.979206822260666 卡方系数(Chi-Square): 0.011769969721828 F统计(F-Statistic): 2616.55206312704 参数 最佳估算 ---------- ------------- d 3.82147034699118E-13 ====== 结果输出 ===== No 实测值y 计算值y 1 0.27 0.3211259 2 0.38 0.4478023 3 0.61 0.6148640 4 0.7 0.6980395 5 0.75 0.7414623 6 0.77 0.7778878 7 0.86 0.8468149 8 0.875 0.8677436 9 0.96 0.9206826 10 0.99 0.9523570 |

2楼2014-10-13 15:22:39
月只蓝
主管区长 (职业作家)
-

专家经验: +1059 - 计算强帖: 8
- 应助: 1712 (讲师)
- 贵宾: 8.888
- 金币: 68121.7
- 散金: 1938
- 红花: 443
- 沙发: 4
- 帖子: 4373
- 在线: 3291.4小时
- 虫号: 1122189
- 注册: 2010-10-14
- 专业: 宇宙学
- 管辖: 计算模拟区

11楼2014-10-14 10:31:05
xuyihan
木虫 (正式写手)
- 应助: 0 (幼儿园)
- 金币: 4399.2
- 散金: 46
- 红花: 2
- 帖子: 545
- 在线: 111.1小时
- 虫号: 848402
- 注册: 2009-09-15
- 专业: 电工材料特性及其应用

3楼2014-10-13 16:16:54
xuyihan
木虫 (正式写手)
- 应助: 0 (幼儿园)
- 金币: 4399.2
- 散金: 46
- 红花: 2
- 帖子: 545
- 在线: 111.1小时
- 虫号: 848402
- 注册: 2009-09-15
- 专业: 电工材料特性及其应用

4楼2014-10-13 16:18:01
xuyihan
木虫 (正式写手)
- 应助: 0 (幼儿园)
- 金币: 4399.2
- 散金: 46
- 红花: 2
- 帖子: 545
- 在线: 111.1小时
- 虫号: 848402
- 注册: 2009-09-15
- 专业: 电工材料特性及其应用

5楼2014-10-13 16:20:39
xuyihan
木虫 (正式写手)
- 应助: 0 (幼儿园)
- 金币: 4399.2
- 散金: 46
- 红花: 2
- 帖子: 545
- 在线: 111.1小时
- 虫号: 848402
- 注册: 2009-09-15
- 专业: 电工材料特性及其应用

6楼2014-10-13 16:23:37
月只蓝
主管区长 (职业作家)
-

专家经验: +1059 - 计算强帖: 8
- 应助: 1712 (讲师)
- 贵宾: 8.888
- 金币: 68121.7
- 散金: 1938
- 红花: 443
- 沙发: 4
- 帖子: 4373
- 在线: 3291.4小时
- 虫号: 1122189
- 注册: 2010-10-14
- 专业: 宇宙学
- 管辖: 计算模拟区
【答案】应助回帖
★ ★ ★ ★ ★ ★ ★ ★ ★ ★ ★ ★ ★ ★ ★ ★ ★ ★ ★ ★ ★ ★ ★ ★ ★ ★ ★ ★ ★ ★ ★ ★ ★ ★ ★ ★ ★ ★ ★ ★ ★ ★ ★ ★ ★ ★ ★ ★ ★ ★
xuyihan: 金币+50, ★★★★★最佳答案, 非常感谢,可以请您给个matlab安装源吗?感谢! 2014-10-13 22:57:05
xuyihan: 金币+50, ★★★★★最佳答案, 非常感谢,可以请您给个matlab安装源吗?感谢! 2014-10-13 22:57:05
|
MATLAB可以做的。 拟合曲线和实验原始数据,参见2楼给出的实测值和计算值。 或者 根据方程画出曲线和实验散点即可。 包括MATLAB在内的4款软件代码或者操作步骤参见: http://muchong.com/bbs/viewthread.php?tid=6572963&authorid=1122189 |

7楼2014-10-13 16:44:04
月只蓝
主管区长 (职业作家)
-

专家经验: +1059 - 计算强帖: 8
- 应助: 1712 (讲师)
- 贵宾: 8.888
- 金币: 68121.7
- 散金: 1938
- 红花: 443
- 沙发: 4
- 帖子: 4373
- 在线: 3291.4小时
- 虫号: 1122189
- 注册: 2010-10-14
- 专业: 宇宙学
- 管辖: 计算模拟区

8楼2014-10-14 08:45:31
月只蓝
主管区长 (职业作家)
-

专家经验: +1059 - 计算强帖: 8
- 应助: 1712 (讲师)
- 贵宾: 8.888
- 金币: 68121.7
- 散金: 1938
- 红花: 443
- 沙发: 4
- 帖子: 4373
- 在线: 3291.4小时
- 虫号: 1122189
- 注册: 2010-10-14
- 专业: 宇宙学
- 管辖: 计算模拟区

9楼2014-10-14 08:47:08
xuyihan
木虫 (正式写手)
- 应助: 0 (幼儿园)
- 金币: 4399.2
- 散金: 46
- 红花: 2
- 帖子: 545
- 在线: 111.1小时
- 虫号: 848402
- 注册: 2009-09-15
- 专业: 电工材料特性及其应用

10楼2014-10-14 10:24:21













回复此楼

