版块导航
正在加载中...
客户端APP下载
论文辅导
调剂小程序
登录
注册
帖子
帖子
用户
本版
应《网络安全法》要求,自2017年10月1日起,未进行实名认证将不得使用互联网跟帖服务。为保障您的帐号能够正常使用,请尽快对帐号进行手机号验证,感谢您的理解与支持!
24小时热门版块排行榜
>
论坛更新日志
(528)
>
虫友互识
(31)
>
考博
(17)
>
休闲灌水
(15)
>
论文投稿
(12)
>
导师招生
(9)
>
基金申请
(7)
>
硕博家园
(6)
>
公派出国
(6)
>
考研
(6)
>
有机资源
(5)
>
论文道贺祈福
(5)
>
教师之家
(5)
>
文献求助
(5)
>
博后之家
(3)
>
找工作
(2)
小木虫论坛-学术科研互动平台
»
计算模拟区
»
计算模拟
»
求助:origin8.0 自定义非线性拟合,参数拟合值与设定初始值一样
19
1/2
返回列表
1
2
下一页
查看: 6657 | 回复: 18
只看楼主
@他人
存档
新回复提醒
(忽略)
收藏
在APP中查看
阿香265
新虫
(小有名气)
应助: 0
(幼儿园)
金币: 1175.3
红花: 1
帖子: 74
在线: 26.9小时
虫号: 539152
注册: 2008-04-03
[
求助
]
求助:origin8.0 自定义非线性拟合,参数拟合值与设定初始值一样
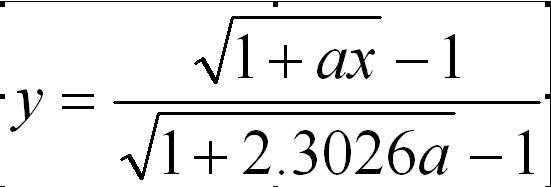
在origin8.0 自定义公式 y=((1+A*x)^(1/2)-1)/((1+A*2.3026)^(1/2)-1)
有x,y两组数据想要拟合得到参数A,检测公式是没有问题的,但在拟合的时候设定初始参数A为多少,拟合结果A就是一样的值。
我的问题到底出在哪里?有没有人遇到类似的情况
回复此楼
» 收录本帖的淘帖专辑推荐
Origin常见问题及解决方法
» 猜你喜欢
深圳大学2026年秋博士招生-物理学-活性胶体方向-高永祥课题组
已经有18人回复
论物质与能量的统一模型及物理现象解释
已经有0人回复
物理学I论文润色/翻译怎么收费?
已经有250人回复
基于基元I统一理论的数学相关应用推导
已经有0人回复
基元I统一理论:宇宙本质、层级演化与修炼文明的本源规律
已经有1人回复
基元I理论下三大核心空间现象精准推导与细节解析
已经有0人回复
基于基元 I 统一理论的反重力理论推导
已经有0人回复
基于基元I统一理论的量子力学本源推导
已经有1人回复
推荐一款可以AI辅助写作的Latex编辑器SmartLatexEditor,超级好用,AI润色,全免费
已经有20人回复
【EI|Scopus 双检索】第六届智能机器人系统国际会议(ISoIRS 2026)
已经有0人回复
2026年第四届电动车与车辆工程国际会议(CEVVE 2026)
已经有0人回复
» 本主题相关价值贴推荐,对您同样有帮助:
origin 8.0 对数函数拟合
已经有13人回复
origin8.0拟合langmuir和freundlich原始方程时,未出现曲线而是一条横线
已经有2人回复
Origin8.0非线性拟合发酵动力学曲线怎么做啊?
已经有12人回复
求助,origin7.5 中的非线性拟合参数为什么一直在变,而且误差很大!!!
已经有4人回复
求助高人如何用origin8.0非线性拟合吸附等温线
已经有13人回复
用origin8.0做线性拟合时P值
已经有1人回复
[求助]origin中非线性拟合中Guass和GuassAmp两个函数的区别?
已经有4人回复
求助origin高手 非线性拟合问题
已经有6人回复
【求助】非线性参数的拟合方法或者拟合软件?(分母、指数和对数)
已经有3人回复
【求助】关于origin进行非线性拟合的自定义函数
已经有7人回复
求助Origin8.0拟合方程
已经有6人回复
【讨论】急!!请教大家Origin7.5的非线性拟合中的初始值设定!
已经有2人回复
求助Origin8.0拟合问题,高斯多峰拟合问题
已经有4人回复
求助高手关于origin 8.0 用自定义函数进行拟合
已经有14人回复
【求助】origin8.0 二元非线性拟合
已经有4人回复
请教关于origin中自定义函数非线性回归拟合问题!
已经有10人回复
1楼
2011-08-15 10:48:33
已阅
回复此楼
关注TA
给TA发消息
送TA红花
TA的回帖
回帖支持 ( 显示支持度最高的前 50 名 )
ipip1558
铁杆木虫
(著名写手)
应助: 17
(小学生)
贵宾: 0.082
金币: 6282.2
散金: 200
红花: 31
帖子: 1649
在线: 359.6小时
虫号: 766017
注册: 2009-05-08
性别:
MM
专业: 无机非金属类光电信息与功
【答案】应助回帖
阿香265(金币+20): 谢谢!原来平方根是这样写的 2011-08-15 16:57:29
a=0.10835
Equation y = (sqrt(1 + a*x)-1)/(sqrt(1 + 2.3026*a)-1)
Reduced Chi-Sqr 2.19E-4
Adj. R-Square 0.99735
Value Standard Error
B a 0.10835 0.00899
赞
一下
(1人)
回复此楼
7楼
2011-08-15 16:30:15
已阅
回复此楼
关注TA
给TA发消息
送TA红花
TA的回帖
普通回帖
yqx1985
木虫
(著名写手)
云中仙
应助: 34
(小学生)
贵宾: 0.032
金币: 1608.8
散金: 1181
红花: 33
帖子: 1544
在线: 620.3小时
虫号: 550008
注册: 2008-04-22
性别: GG
专业: 药物设计与药物信息
origin不太熟
SPSS或matlab的话,我可以告诉你
赞
一下
回复此楼
人面不知何时去,桃花依旧笑春风
2楼
2011-08-15 11:01:17
已阅
回复此楼
关注TA
给TA发消息
送TA红花
TA的回帖
阿香265
新虫
(小有名气)
应助: 0
(幼儿园)
金币: 1175.3
红花: 1
帖子: 74
在线: 26.9小时
虫号: 539152
注册: 2008-04-03
引用回帖:
2楼
:
Originally posted by
yqx1985
at 2011-08-15 11:01:17:
origin不太熟
SPSS或matlab的话,我可以告诉你
你说的那两个我不会,origin也不太熟。
赞
一下
回复此楼
3楼
2011-08-15 11:10:33
已阅
回复此楼
关注TA
给TA发消息
送TA红花
TA的回帖
ipip1558
铁杆木虫
(著名写手)
应助: 17
(小学生)
贵宾: 0.082
金币: 6282.2
散金: 200
红花: 31
帖子: 1649
在线: 359.6小时
虫号: 766017
注册: 2009-05-08
性别:
MM
专业: 无机非金属类光电信息与功
把数据贴上来吧,我试试
赞
一下
(2人)
回复此楼
4楼
2011-08-15 13:58:53
已阅
回复此楼
关注TA
给TA发消息
送TA红花
TA的回帖
阿香265
新虫
(小有名气)
应助: 0
(幼儿园)
金币: 1175.3
红花: 1
帖子: 74
在线: 26.9小时
虫号: 539152
注册: 2008-04-03
引用回帖:
4楼
:
Originally posted by
ipip1558
at 2011-08-15 13:58:53:
把数据贴上来吧,我试试
数据放在excl中,不知道格式对不对,谢谢!左列为x,右列为y
赞
一下
回复此楼
5楼
2011-08-15 14:56:53
已阅
回复此楼
关注TA
给TA发消息
送TA红花
TA的回帖
ipip1558
铁杆木虫
(著名写手)
应助: 17
(小学生)
贵宾: 0.082
金币: 6282.2
散金: 200
红花: 31
帖子: 1649
在线: 359.6小时
虫号: 766017
注册: 2009-05-08
性别:
MM
专业: 无机非金属类光电信息与功
引用回帖:
5楼
:
Originally posted by
阿香265
at 2011-08-15 14:56:53:
数据放在excl中,不知道格式对不对,谢谢!左列为x,右列为y
你的公式是下面的不是
赞
一下
回复此楼
6楼
2011-08-15 16:06:15
已阅
回复此楼
关注TA
给TA发消息
送TA红花
TA的回帖
阿香265
新虫
(小有名气)
应助: 0
(幼儿园)
金币: 1175.3
红花: 1
帖子: 74
在线: 26.9小时
虫号: 539152
注册: 2008-04-03
引用回帖:
7楼
:
Originally posted by
ipip1558
at 2011-08-15 16:30:15:
a=0.10835
Equation y = (sqrt(1 + a*x)-1)/(sqrt(1 + 2.3026*a)-1)
Reduced Chi-Sqr 2.19E-4
Adj. R-Square 0.99735
Value Standard Error
B a 0.10835 0.00899
对,是这个公式,按照你的公式也得到了和你一样的结果,可能是平方根的写法错了,不过检测的时候公式没有问题,是^(1/2)不是代表平方根吗?是什么意思啊?
赞
一下
回复此楼
8楼
2011-08-15 16:56:19
已阅
回复此楼
关注TA
给TA发消息
送TA红花
TA的回帖
ipip1558
铁杆木虫
(著名写手)
应助: 17
(小学生)
贵宾: 0.082
金币: 6282.2
散金: 200
红花: 31
帖子: 1649
在线: 359.6小时
虫号: 766017
注册: 2009-05-08
性别:
MM
专业: 无机非金属类光电信息与功
★ ★
cenwanglai(金币+2): 谢谢回复! 2011-11-14 20:59:48
引用回帖:
8楼
:
Originally posted by
阿香265
at 2011-08-15 16:56:19:
对,是这个公式,按照你的公式也得到了和你一样的结果,可能是平方根的写法错了,不过检测的时候公式没有问题,是^(1/2)不是代表平方根吗?是什么意思啊?
开平方有sqrt函数可用。^可以用来做其它高次方或是比较复杂的开方运算,用在平方根计算里可能会增加运算次数(我猜的 O(∩_∩)O~)。
赞
一下
(1人)
回复此楼
9楼
2011-08-15 17:16:43
已阅
回复此楼
关注TA
给TA发消息
送TA红花
TA的回帖
阿香265
新虫
(小有名气)
应助: 0
(幼儿园)
金币: 1175.3
红花: 1
帖子: 74
在线: 26.9小时
虫号: 539152
注册: 2008-04-03
引用回帖:
9楼
:
Originally posted by
ipip1558
at 2011-08-15 17:16:43:
开平方有sqrt函数可用。^可以用来做其它高次方或是比较复杂的开方运算,用在平方根计算里可能会增加运算次数(我猜的 O(∩_∩)O~)。
厉害,受教了!
回复此楼
10楼
2011-08-16 08:23:24
已阅
回复此楼
关注TA
给TA发消息
送TA红花
TA的回帖
相关版块跳转
第一性原理
量子化学
计算模拟
分子模拟
仿真模拟
程序语言
我要订阅楼主
阿香265
的主题更新
19
1/2
返回列表
1
2
下一页
如果回帖内容含有宣传信息,请如实选中。否则帐号将被全论坛禁言
普通表情
龙
兔
虎
猫
百度网盘
|
360云盘
|
千易网盘
|
华为网盘
在新窗口页面中打开自己喜欢的网盘网站,将文件上传后,然后将下载链接复制到帖子内容中就可以了。
信息提示
关闭
请填处理意见
关闭
确定