| 查看: 2536 | 回复: 1 | ||
[求助]
热传导偏微分方程求解问题请教! 已有1人参与
|
|
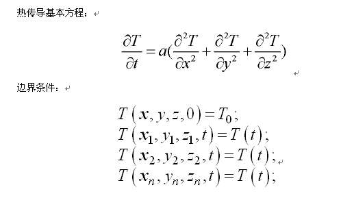
对于无体内热源的热传导过程,其热传导方程为二阶偏微分形式,如果已知初始时刻温度以及边界若干点温度值(注:只是边界上几个点温度已知,而不是边界所有点温度),请问这样的偏微分方程有定解吗?如果有的话希望您指点小弟一下,谢谢!方程在图片中。 热传导方程及边界条件.jpg |
» 猜你喜欢
366求调剂
已经有9人回复
材料工程085601,270求调剂
已经有37人回复
279学硕食品专业求调剂院校
已经有18人回复
290调剂生物0860
已经有31人回复
一志愿085802 323分求调剂
已经有13人回复
277求调剂
已经有23人回复
322求调剂,08工科
已经有4人回复
材料工程281还有调剂机会吗
已经有30人回复
化学070300 求调剂
已经有16人回复
化工学硕294分,求导师收留
已经有12人回复
» 本主题相关价值贴推荐,对您同样有帮助:
关于二维热传导方程!
已经有4人回复
偏微分方程Matlab求解
已经有7人回复
跟大家请教一个一维热传导方程建立的问题(高分求助)
已经有3人回复
偏微分方程求解!
已经有4人回复
中心差分求解二维热传导的matlab程序
已经有12人回复
erfc的求解问题。谢谢。
已经有5人回复
求助这个热传导方程怎么解啊
已经有6人回复
请教偏微分方程专业研究生有关教材
已经有8人回复
请教一个传质偏微分方程的解
已经有3人回复
求教这个是什么类型的偏微分方程,应该用什么方法来求解!
已经有9人回复
求解,热传递方程
已经有6人回复
抛物型偏微分方程的数值解求解问题,谢谢!
已经有14人回复
数学物理方程求解!(带边界条件的偏微分方程)
已经有13人回复
求解方程,作业题,谢谢
已经有6人回复
有限差分离散二阶偏微分方程后如何编译matlab程序解方程组?
已经有3人回复
求助:如何用MATLAB的偏微分方程工具箱画出不同区域内的温度分布图?
已经有5人回复
偏微分方程求解
已经有3人回复
数值方法求解偏微分方程的问题
已经有4人回复
【求助】用pdepe求解偏微分方程
已经有10人回复
【求助】如何求解下列偏微分方程
已经有13人回复
【求助】偏微分方程的基本解
已经有5人回复
【求助】偏微分方程解法
已经有19人回复
onesupeng
金虫 (职业作家)
- 数学EPI: 17
- 应助: 256 (大学生)
- 贵宾: 1.36
- 金币: 2336.2
- 散金: 9228
- 红花: 92
- 帖子: 4583
- 在线: 1303.8小时
- 虫号: 394701
- 注册: 2007-06-07
- 专业: 流体力学

2楼2014-09-05 16:56:22













回复此楼