| ²é¿´: 1137 | »Ø¸´: 6 | ||
long0809½ð³æ (ÖøÃûдÊÖ)
|
[ÇóÖú]
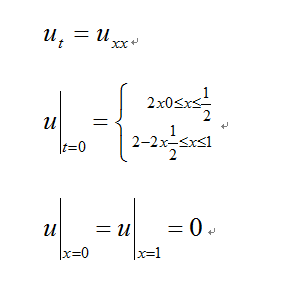
Çó½â·½³Ì£¬×÷ÒµÌ⣬лл
|
|
![]() |
||
|
|
||
895701777ľ³æ (ÖøÃûдÊÖ)
½ø³ÇÅ©Ãñ¹¤
|
||
![]() |
||
|
2Â¥2012-10-16 09:43:38
|
|
|
long0809½ð³æ (ÖøÃûдÊÖ)
|
|
|
![]() |
||
|
3Â¥2012-10-16 10:23:09
|
|
|
liqxľ³æ (ÕýʽдÊÖ)
|
¡¾´ð°¸¡¿Ó¦Öú»ØÌû
¡ï
¸Ðл²ÎÓ룬ӦÖúÖ¸Êý +1 lovibond: ½ð±Ò+1, ¹ÄÀøÓ¦Öú 2012-10-17 13:11:25
|
|
|
4Â¥2012-10-16 23:29:50
|
|
|
zhiqiuyiye11ľ³æ (ÖøÃûдÊÖ)
·¢ÏÖÕß̽Ë÷Õß´´ÔìÕß
|
¡¾´ð°¸¡¿Ó¦Öú»ØÌû
¡ï ¡ï ¡ï ¡ï ¡ï ¡ï ¡ï ¡ï ¡ï ¡ï ¡ï ¡ï ¡ï ¡ï ¡ï
¸Ðл²ÎÓ룬ӦÖúÖ¸Êý +1 long0809: ½ð±Ò+15 2012-10-18 09:58:58
|
|
![]() |
||
|
5Â¥2012-10-16 23:31:04
|
|
|
long0809½ð³æ (ÖøÃûдÊÖ)
|
||
![]() |
||
|
6Â¥2012-10-17 08:55:46
|
|
|
°¬Ææ2008ÖÁ×ðľ³æ (Ö°Òµ×÷¼Ò)
|
||
|
7Â¥2012-10-17 10:11:15
|
|













»Ø¸´´ËÂ¥