| 查看: 1770 | 回复: 6 | |||
[求助]
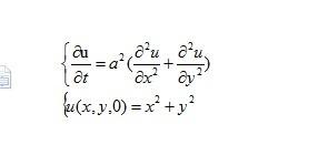
求解,热传递方程
|
好帖子 |
» 猜你喜欢
一志愿北理工298英一数二求调剂
已经有15人回复
291 求调剂
已经有27人回复
307求调剂
已经有7人回复
材料与化工调剂
已经有9人回复
调剂
已经有18人回复
材料专业344求调剂
已经有20人回复
求调剂
已经有5人回复
362求调剂
已经有14人回复
0856专硕求调剂 希望是a区院校
已经有24人回复
材料与化工300求调剂
已经有34人回复
» 本主题相关价值贴推荐,对您同样有帮助:
使用fsolve求解非线性方程问题
已经有9人回复
matlab求解非线性方程组,错误提示怎么解决
已经有5人回复
FLUENT中耦合求解两个标量方程,求指点...
已经有5人回复
如何求解下列方程:xlnx=a(x-b)
已经有14人回复
高手进来用matlab求解常微分方程,十分感谢!
已经有17人回复
Matlab求解偏微分方程组
已经有22人回复
matlab求解非线性方程组
已经有16人回复
【求助】帮忙求解一个一元四次方程
已经有9人回复
求matlab求解一个方程组的问题
已经有6人回复
帮忙求解一道微分方程的题目
已经有7人回复
matlab的fsove 命令求解非线性方程组
已经有6人回复
分离变量法求解热传导方程
已经有11人回复
【求助】用pdepe求解偏微分方程
已经有10人回复
【求助】matlab求解非线性方程组,并画图处理。要求y,z是实数解!
已经有18人回复
请教怎样在Design-Expert 7.0 求解拟合方程?
已经有9人回复
【求助】MATLAB 有限差分法(FDM)求解偏微分方程
已经有22人回复
【求助】如何求解下列偏微分方程
已经有13人回复
【求助】matlab怎么求解偏微分方程组啊,先谢谢了
已经有13人回复
【求助】求解非线性方程
已经有8人回复
【求助】一道博士生面试题:薛定谔方程和热传导方程
已经有10人回复


2楼2013-02-01 22:40:28
龙二爷
铁杆木虫 (著名写手)
- 应助: 188 (高中生)
- 金币: 6610.9
- 散金: 1691
- 红花: 9
- 帖子: 2955
- 在线: 459.3小时
- 虫号: 1507308
- 注册: 2011-11-24
- 专业: 数学物理
3楼2013-02-02 10:07:05

4楼2013-02-02 11:05:02
nono2009
超级版主 (文学泰斗)
No gains, no pains.
-

专家经验: +21105 - 应助: 28684 (院士)
- 贵宾: 513.911
- 金币: 2555230
- 散金: 27828
- 红花: 2148
- 沙发: 66666
- 帖子: 1602255
- 在线: 65200.9小时
- 虫号: 827383
- 注册: 2009-08-13
- 性别: GG
- 专业: 工程热物理与能源利用
- 管辖: 科研家筹备委员会
5楼2013-02-03 20:38:32
6楼2013-02-19 22:17:23

7楼2013-02-20 14:09:33













回复此楼
100