| 查看: 3092 | 回复: 9 | ||
萤火微光至尊木虫 (著名写手)
|
[求助]
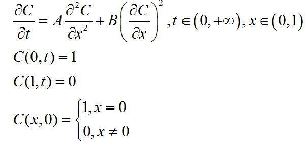
求解一个抛物线偏微分方程 已有3人参与
|
|
![]() |
||
|
|
||
终之太刀—晓铁杆木虫 (著名写手)
数学爱好者
|
||
![]() |
||
|
2楼2014-11-01 04:13:37
|
|
|
rlin198110捐助贵宾 (正式写手)
|
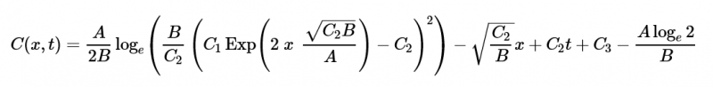
【答案】应助回帖
★ ★
萤火微光(feixiaolin代发): 金币+2 2014-11-25 13:00:17
» 本帖附件资源列表
2014-11-05 11:45:03, 1.53 M
|
|
![]() |
||
|
3楼2014-11-05 11:45:52
|
|
|
aprillf木虫 (正式写手)
|
||
|
4楼2014-11-05 19:58:57
|
|
|
终之太刀—晓铁杆木虫 (著名写手)
数学爱好者
|
||
![]() |
||
|
5楼2014-11-06 01:45:28
|
|
|
终之太刀—晓铁杆木虫 (著名写手)
数学爱好者
|
【答案】应助回帖
» 本帖附件资源列表
2014-11-06 02:06:34, 25.57 M
|
|
![]() |
||
|
6楼2014-11-06 02:08:57
|
|
|
cooooldog铁杆木虫 (著名写手)
ส็็็
|
||
![]() |
||
|
7楼2014-11-06 07:18:08
|
|
|
终之太刀—晓铁杆木虫 (著名写手)
数学爱好者
|
||
![]() |
||
|
8楼2014-11-06 10:59:09
|
|
|
aprillf木虫 (正式写手)
|
||
|
9楼2014-11-06 13:21:25
|
|
|
终之太刀—晓铁杆木虫 (著名写手)
数学爱好者
|
||
![]() |
||
|
10楼2014-11-06 13:42:11
|
|













回复此楼

10