版块导航
正在加载中...
客户端APP下载
论文辅导
申博辅导
登录
注册
帖子
帖子
用户
本版
应《网络安全法》要求,自2017年10月1日起,未进行实名认证将不得使用互联网跟帖服务。为保障您的帐号能够正常使用,请尽快对帐号进行手机号验证,感谢您的理解与支持!
24小时热门版块排行榜
>
论坛更新日志
(3166)
>
虫友互识
(291)
>
文献求助
(179)
>
导师招生
(165)
>
硕博家园
(95)
>
公派出国
(85)
>
考博
(82)
>
找工作
(70)
>
博后之家
(66)
>
论文投稿
(65)
>
基金申请
(62)
>
论文道贺祈福
(60)
>
考研
(58)
>
休闲灌水
(53)
>
教师之家
(51)
>
招聘信息布告栏
(31)
小木虫论坛-学术科研互动平台
»
计算模拟区
»
计算模拟
»
求大神指导用matlab解偏微分方程组
2
1/1
返回列表
查看: 350 | 回复: 1
只看楼主
@他人
存档
新回复提醒
(忽略)
收藏
在APP中查看
dreamflyyuan
铁虫
(初入文坛)
应助: 0
(幼儿园)
金币: 56
帖子: 8
在线: 9.2小时
虫号: 2560414
注册: 2013-07-23
性别:
MM
专业: 传热传质学
[
求助
]
求大神指导用matlab解偏微分方程组
http://
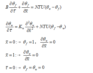
求各位大神帮忙解这个方程,可以用matlab或别的方法。
主要是求Θf(Θf和Θw为因变量,t和x为自变量,B、Kw、NTU为常数)
谢谢!
QQ截图20140602153749.png
回复此楼
» 猜你喜欢
求标准粉末衍射卡号 ICDD 01-076-1802
已经有0人回复
新西兰Robinson研究所招收全奖PhD
已经有0人回复
物理学I论文润色/翻译怎么收费?
已经有200人回复
石墨烯转移--二氧化硅衬底石墨烯
已经有0人回复
笼目材料中量子自旋液体基态的证据
已经有0人回复
数学教学论硕士可以读数学物理博士吗?
已经有0人回复
德国亥姆霍兹Hereon中心汉堡分部招镁合金腐蚀裂变SCC课题方向2026公派博士生
已经有4人回复
澳门大学 应用物理及材料工程研究院 潘晖教授课题组诚招博士后
已经有11人回复
求助NH4V4O10晶体的CIF文件
已经有0人回复
英国全奖博士招聘-深度学习与量子物理
已经有0人回复
间接带隙半导体有效质量求助
已经有0人回复
» 本主题相关价值贴推荐,对您同样有帮助:
偏微分方程组的求解
已经有3人回复
求助,帮忙求解下面方程组,谢谢!
已经有13人回复
偏微分方程Matlab求解
已经有7人回复
MATLAB求解偏微分方程组
已经有5人回复
Matlab求解微分方程(组)及偏微分方程(组)
已经有224人回复
matlab 非线性微分方程求解
已经有3人回复
求解方程,在线等……求大神指点!
已经有7人回复
如何用MATLAB求解脉冲微分方程并画图
已经有5人回复
哪位大神给指导下如果求解一个偏微分方程组
已经有11人回复
matlab如何求解一个非线性微分方程组
已经有8人回复
求助,用matlab解微分方程组,希望高手能给予指点
已经有17人回复
matlab解偏微分方程求助
已经有12人回复
求高手解答Matlab求解微分方程的初始值和边界值问题
已经有5人回复
Matlab求解二阶偏微分方程组,希望能给出相应的求解代码
已经有10人回复
matlab有限差分法求解复杂的偏微分方程组
已经有19人回复
Matlab求解偏微分方程组
已经有22人回复
matlab解微分方程组
已经有15人回复
【求助】求助用matlab解偏微分方程
已经有15人回复
生活里没有灰姑娘的金色爱情。
1楼
2014-06-02 15:43:52
已阅
回复此楼
关注TA
给TA发消息
送TA红花
TA的回帖
dreamflyyuan
铁虫
(初入文坛)
应助: 0
(幼儿园)
金币: 56
帖子: 8
在线: 9.2小时
虫号: 2560414
注册: 2013-07-23
性别:
MM
专业: 传热传质学
怎么没有人回复,大家牛人给些解题思路也万分感激啊
赞
一下
(1人)
回复此楼
生活里没有灰姑娘的金色爱情。
2楼
2014-06-04 08:39:45
已阅
回复此楼
关注TA
给TA发消息
送TA红花
TA的回帖
相关版块跳转
第一性原理
量子化学
计算模拟
分子模拟
仿真模拟
程序语言
我要订阅楼主
dreamflyyuan
的主题更新
2
1/1
返回列表
如果回帖内容含有宣传信息,请如实选中。否则帐号将被全论坛禁言
普通表情
龙
兔
虎
猫
百度网盘
|
360云盘
|
千易网盘
|
华为网盘
在新窗口页面中打开自己喜欢的网盘网站,将文件上传后,然后将下载链接复制到帖子内容中就可以了。
信息提示
关闭
请填处理意见
关闭
确定