±±¾©Ê¯ÓÍ»¯¹¤Ñ§Ôº2026ÄêÑо¿ÉúÕÐÉú½ÓÊÕµ÷¼Á¹«¸æ
²é¿´: 946  |  »Ø¸´: 4

longlyfly

½ð³æ (СÓÐÃûÆø)

[ÇóÖú] MATLABÇó½â·ÇÏßÐÔ·½³Ì ÒÑÓÐ1È˲ÎÓë

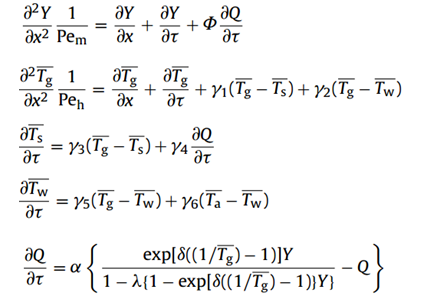
ͼƬÀïÊÇÎÒÎÞÒò´Ë»¯ºóµÄ½á¹û¡£µ«ÊDz»ÖªµÀÔõôÇó½â£¬MATLABÀïÄܽâ´ðô£¬Çë¸ßÊÖÖ¸µã

MATLABÇó½â·ÇÏßÐÔ·½³Ì
ͼƬ1.png
»Ø¸´´ËÂ¥

» ²ÂÄãϲ»¶

» ±¾Ö÷ÌâÏà¹Ø¼ÛÖµÌùÍÆ¼ö£¬¶ÔÄúͬÑùÓаïÖú:

ÒÑÔÄ   »Ø¸´´ËÂ¥   ¹Ø×¢TA ¸øTA·¢ÏûÏ¢ ËÍTAºì»¨ TAµÄ»ØÌû

ÔÂÖ»À¶

Ö÷¹ÜÇø³¤ (Ö°Òµ×÷¼Ò)

¡¾´ð°¸¡¿Ó¦Öú»ØÌû

¡ï
¸Ðл²ÎÓ룬ӦÖúÖ¸Êý +1
longlyfly: ½ð±Ò+1, ¡ï¡ï¡ïºÜÓаïÖú 2014-05-26 16:34:44
¶þ½×ƫ΢·Ö·½³Ì×飬¼¸ºõûÓнâÎö½â£¬MATLABÇóÊýÖµ½âÒ²ºÜÀ§ÄÑ¡£
MATLAB¡¢MSСÎÊÌâ¡¢ÆÕͨÎÊÌâÇë·¢ÌûÇóÖú£¡Ê±¼ä¾«Á¦ÓÐÏÞ£¬Ë¡²»½ÓÊÜÎÞ³¥Ë½ÐÅÇóÖú¡£
2Â¥2014-05-26 13:32:11
ÒÑÔÄ   »Ø¸´´ËÂ¥   ¹Ø×¢TA ¸øTA·¢ÏûÏ¢ ËÍTAºì»¨ TAµÄ»ØÌû

longlyfly

½ð³æ (СÓÐÃûÆø)

ÒýÓûØÌû:
2Â¥: Originally posted by ÔÂÖ»À¶ at 2014-05-26 13:32:11
¶þ½×ƫ΢·Ö·½³Ì×飬¼¸ºõûÓнâÎö½â£¬MATLABÇóÊýÖµ½âÒ²ºÜÀ§ÄÑ¡£

ÎÒÇë½ÌÁËÒ»¸öÊýѧϵµÄÀÏʦҲÊÇÕâô˵¡£ÎÒÂÛÎÄÖÐÓÐÈ˽â³öÊýÖµ½â¡£ÓÃfortran»¹ÊÇgproms£¬ÎÒÊÇѧ»¯Ñ§³öÉíµÄ£¬Êýѧ²»ÊÇÄÇôרҵ£¬Äܲ»Äܸøµã½¨ÒéÄØ¡£ ÕâÊÇÄ£Ðͽ¨ÏÂÀ´¾ÍºÜÀÛ£¡
3Â¥2014-05-26 16:36:38
ÒÑÔÄ   »Ø¸´´ËÂ¥   ¹Ø×¢TA ¸øTA·¢ÏûÏ¢ ËÍTAºì»¨ TAµÄ»ØÌû

ÔÂÖ»À¶

Ö÷¹ÜÇø³¤ (Ö°Òµ×÷¼Ò)

¡¾´ð°¸¡¿Ó¦Öú»ØÌû

¡ï ¡ï ¡ï ¡ï
longlyfly: ½ð±Ò+4, ¡ï¡ï¡ïºÜÓаïÖú 2014-05-26 21:09:11
ÒýÓûØÌû:
3Â¥: Originally posted by longlyfly at 2014-05-26 16:36:38
ÎÒÇë½ÌÁËÒ»¸öÊýѧϵµÄÀÏʦҲÊÇÕâô˵¡£ÎÒÂÛÎÄÖÐÓÐÈ˽â³öÊýÖµ½â¡£ÓÃfortran»¹ÊÇgproms£¬ÎÒÊÇѧ»¯Ñ§³öÉíµÄ£¬Êýѧ²»ÊÇÄÇôרҵ£¬Äܲ»Äܸøµã½¨ÒéÄØ¡£ ÕâÊÇÄ£Ðͽ¨ÏÂÀ´¾ÍºÜÀÛ£¡...

ÓÃgPROMSÊÔÊÔ°É£¬Õâ¸öÈí¼þ½âƫ΢·Ö·½³ÌºÜÇ¿´ó¡£
MATLAB¡¢MSСÎÊÌâ¡¢ÆÕͨÎÊÌâÇë·¢ÌûÇóÖú£¡Ê±¼ä¾«Á¦ÓÐÏÞ£¬Ë¡²»½ÓÊÜÎÞ³¥Ë½ÐÅÇóÖú¡£
4Â¥2014-05-26 18:34:08
ÒÑÔÄ   »Ø¸´´ËÂ¥   ¹Ø×¢TA ¸øTA·¢ÏûÏ¢ ËÍTAºì»¨ TAµÄ»ØÌû

longlyfly

½ð³æ (СÓÐÃûÆø)

ÒýÓûØÌû:
4Â¥: Originally posted by ÔÂÖ»À¶ at 2014-05-26 18:34:08
ÓÃgPROMSÊÔÊÔ°É£¬Õâ¸öÈí¼þ½âƫ΢·Ö·½³ÌºÜÇ¿´ó¡£...

ÓÐûÓÐÏà¹ØµÄÊé¼®ÍÆ¼öһϣ¬Ð»Ð»ÁË¡£
5Â¥2014-05-26 21:09:44
ÒÑÔÄ   »Ø¸´´ËÂ¥   ¹Ø×¢TA ¸øTA·¢ÏûÏ¢ ËÍTAºì»¨ TAµÄ»ØÌû
Ïà¹Ø°æ¿éÌø×ª ÎÒÒª¶©ÔÄÂ¥Ö÷ longlyfly µÄÖ÷Ìâ¸üÐÂ
×î¾ßÈËÆøÈÈÌûÍÆ¼ö [²é¿´È«²¿] ×÷Õß »Ø/¿´ ×îºó·¢±í
[¿¼ÑÐ] Ò»Ö¾Ô¸211£¬»¯Ñ§Ñ§Ë¶£¬310·Ö£¬±¾¿ÆÖصãË«·Ç£¬Çóµ÷¼Á +12 ŬÁ¦·Ü¶·112 2026-04-04 12/600 2026-04-06 06:33 by houyaoxu
[¿¼ÑÐ] ÕÒµ÷¼Á +10 ³þÇÇÇÇ 2026-04-01 10/500 2026-04-05 22:19 by syh9288
[¿¼ÑÐ] ¼ÆËã»ú11408£¬286·ÖÇóµ÷¼Á +7 ľ×ÓÄî•„ 2026-04-05 7/350 2026-04-05 19:02 by chy09050039
[¿¼ÑÐ] 307·Ö²ÄÁÏרҵÇóµ÷¼Á +7 Hllºú 2026-04-05 7/350 2026-04-05 18:47 by Î޼ʵIJÝÔ­
[¿¼ÑÐ] 306·Ö²ÄÁÏÓ뻯¹¤Çóµ÷¼Á +7 Àè°ÉÀ²À²ÄãºÜÓÐà 2026-04-03 7/350 2026-04-05 17:18 by Hdyxbekcb
[¿¼ÑÐ] ²ÄÁÏ»¯¹¤306·ÖÕÒºÏÊʵ÷¼Á +14 ²×º£ÇáÖÛe 2026-04-04 14/700 2026-04-05 09:53 by ÖìÔÆ»¢202
[¿¼ÑÐ] ²ÄÁϵ÷¼Á +7 dxyµ÷¼Á 2026-04-04 7/350 2026-04-05 09:15 by İÇï26
[¿¼ÑÐ] Çóµ÷¼Á +3 С›g 2026-04-03 3/150 2026-04-05 09:10 by sihailian3
[¿¼ÑÐ] 283Çóµ÷¼Á +4 mcbbc 2026-04-03 5/250 2026-04-04 20:51 by imissbao
[¿¼ÑÐ] 277Çóµ÷¼Á +4 12A3 2026-04-02 5/250 2026-04-04 20:28 by À¶ÔÆË¼Óê
[¿¼ÑÐ] Çóµ÷¼Á£º085600²ÄÁÏÓ뻯¹¤£¬¿¼²Ä¿Æ»ù£¬×Ü·Ö319 +21 678lucky 2026-03-31 26/1300 2026-04-04 16:22 by dongzh2009
[¿¼ÑÐ] 400·ÖÇóµ÷¼Á +3 ÞÏÞÎÇÒÄÓÍ· 2026-04-04 3/150 2026-04-04 08:41 by jp9609
[¿¼ÑÐ] 311Çóµ÷¼Á +20 zchqwer 2026-04-01 22/1100 2026-04-03 22:09 by lglzsd
[¿¼ÑÐ] ¿¼Ñе÷¼Á +8 ²»°®ºÈÒûÁÏ 2026-04-03 8/400 2026-04-03 16:40 by Mistake-J
[¿¼ÑÐ] 08¹¤¿Æ£¬295£¬½ÓÊÜ¿çרҵµ÷¼Á +8 lmnlzy 2026-03-30 8/400 2026-04-03 13:08 by nalakaiqi
[¿¼ÑÐ] ÉúÎïѧÇóµ÷¼Á +3 15064154688 2026-04-03 3/150 2026-04-03 10:28 by macy2011
[¿¼ÑÐ] 0856²ÄÁÏÓ뻯¹¤µ÷¼Á£¬339 +14 10213207 2026-03-31 14/700 2026-04-02 21:01 by 1104338198
[¿¼ÑÐ] ѧ˶»¯Ñ§¹¤³ÌÓë¼¼Êõ£¬Ò»Ö¾Ô¸Öйúº£Ñó´óѧ320+Çóµ÷¼Á +8 ÅûÐÇºÓ 2026-04-02 8/400 2026-04-02 14:12 by oooqiao
[¿¼ÑÐ] 348Çóµ÷¼Á +6 ÎâÑå׿24k 2026-04-02 6/300 2026-04-02 14:07 by ¸øÄãÄã×¢ÒâÐÝÏ¢
[¿¼ÑÐ] Ò»Ö¾Ô¸±±½»´ó²ÄÁϹ¤³Ì£¬×Ü·Ö358 +4 cs0106 2026-04-01 4/200 2026-04-02 07:42 by ÉÐË®¸óÖ÷
ÐÅÏ¢Ìáʾ
ÇëÌî´¦ÀíÒâ¼û