| ²é¿´: 805 | »Ø¸´: 4 | ||
zhibailinͳæ (СÓÐÃûÆø)
|
[ÇóÖú]
Õñ¶¯·½³Ì ¾ØÕóÐÎʽÇó½â ÒÑÓÐ2È˲ÎÓë
|
|
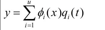
·½³Ìͨ¹ýÀ¸ñÀÊÈÕÔ˶¯·½³Ì ÍÆµ¼µÄ Ï£Íû¶®µÄÈË ¸ø¸öÇó½â˼·ллÀ² V0]S4$CY3QVLJGT%%UZL1V8.jpg [BRN$SOL`}SM4`8`V18P@$N.jpg 1`M~DDP2Q{ZI49%Q71DUB7V.jpg M Ϊnxn¾ØÕó £¬ |
» ²ÂÄãϲ»¶
Ò»Ö¾Ô¸±±½»´ó²ÄÁϹ¤³Ì×Ü·Ö358Çóµ÷¼Á
ÒѾÓÐ8È˻ظ´
ר˶304ÕÒµ÷¼Á£¬Ò»Ïß³ÇÊÐ×îºÃ
ÒѾÓÐ3È˻ظ´
Ò»Ö¾Ô¸ÄϺ½£¬ÊýһӢһѧ˶317Çóµ÷¼Á£¡£¡
ÒѾÓÐ6È˻ظ´
295Çóµ÷¼Á
ÒѾÓÐ12È˻ظ´
285Çóµ÷¼Á
ÒѾÓÐ10È˻ظ´
²ÄÁÏÇóµ÷¼Á
ÒѾÓÐ12È˻ظ´
0703»¯Ñ§µ÷¼Á325·Ö
ÒѾÓÐ13È˻ظ´
08600ÉúÎïÓëÒ½Ò©-327
ÒѾÓÐ8È˻ظ´
µ÷¼Á
ÒѾÓÐ10È˻ظ´
085600²ÄÁÏÓ뻯¹¤301·ÖÇóµ÷¼ÁԺУ
ÒѾÓÐ15È˻ظ´
» ±¾Ö÷ÌâÏà¹Ø¼ÛÖµÌùÍÆ¼ö£¬¶ÔÄúͬÑùÓаïÖú:
·ÇÏßÐÔ¶þ½×΢·Ö·½³Ì×éÇó½â£¬matlab
ÒѾÓÐ12È˻ظ´
Çó½â¶þ½×±äϵÊý³£Î¢·Ö·½³Ì
ÒѾÓÐ7È˻ظ´
ÇóÖú·ÇÏßÐÔ³£Î¢·Ö·½³ÌºÍ³£ÏµÊýË«Çúƫ΢·Ö·½³ÌÇó½â
ÒѾÓÐ7È˻ظ´
2½×΢·Ö·½³Ì£¬ ´ø×ÔȻָÊýe
ÒѾÓÐ11È˻ظ´
¸´ÏµÊý΢·Ö·½³ÌÇó½â
ÒѾÓÐ3È˻ظ´
·ÖÊý½×΢·Ö·½³ÌµÄÇó½â£¨Óòî·Ö·¨£¬matlab±à³ÌÇó½â£©
ÒѾÓÐ9È˻ظ´
¶þ½×·ÇÏßÐÔ΢·Ö·½³ÌÇó½â
ÒѾÓÐ14È˻ظ´
1/(sin(a/x))Çóµ¼Êý
ÒѾÓÐ4È˻ظ´
ÈçºÎÓÃmatlabÇó½â¾ØÕóϵÊýµÄ¶þ½×΢·Ö·½³Ì
ÒѾÓÐ13È˻ظ´
»úеϵͳ¶¯Á¦Ñ§Î¢·Ö·½³ÌÓÐÁËÒÔºó£¬ÈçºÎ¼ÆËã¹ÌÓÐÆµÂÊÄØ£¿
ÒѾÓÐ4È˻ظ´
Õâ¸ö·½³ÌÔõôÇó·½³ÌÓұߵĦ¤H
ÒѾÓÐ7È˻ظ´
¹ØÓÚÆµÂʵļÆËã
ÒѾÓÐ6È˻ظ´
ÈçºÎÇó½âÏÂÁз½³Ì£ºxlnx=a(x-b)
ÒѾÓÐ14È˻ظ´
ÈçºÎÇó½âº¬×èÄáµÄË«×ÔÓɶÈϵͳǿÆÈÕñ¶¯µÄ¹ÌÓÐÆµÂÊ
ÒѾÓÐ8È˻ظ´
ÈçºÎÇó½âÃèÊöÕñ¶¯µÄ¶þ½×΢·Ö·½³Ì
ÒѾÓÐ21È˻ظ´
Çë½ÌÒ»ÏÂÓйØÈýάºú¿Ë¶¨ÂɵÄÎÊÌâ¡£
ÒѾÓÐ9È˻ظ´
¡¾ÇóÖú¡¿matlab ½â¾ØÕó·½³Ì ÖØ½ðÐüÉͽâ¾ö·½°¸
ÒѾÓÐ10È˻ظ´
zxx4477
½ð³æ (ÕýʽдÊÖ)
- Ó¦Öú: 2 (Ó×¶ùÔ°)
- ½ð±Ò: 1288.7
- É¢½ð: 310
- ºì»¨: 4
- Ìû×Ó: 694
- ÔÚÏß: 422.4Сʱ
- ³æºÅ: 2697314
- ×¢²á: 2013-10-03
- ÐÔ±ð: GG
- רҵ: ¶¯Á¦Ñ§Óë¿ØÖÆ

2Â¥2014-04-13 14:07:39
winforever
гæ (ÕýʽдÊÖ)
- Ó¦Öú: 6 (Ó×¶ùÔ°)
- ½ð±Ò: 3404.7
- É¢½ð: 117
- ºì»¨: 3
- Ìû×Ó: 360
- ÔÚÏß: 180.9Сʱ
- ³æºÅ: 2843066
- ×¢²á: 2013-12-02
- ÐÔ±ð: GG
- רҵ: ¶¯Á¦Ñ§Óë¿ØÖÆ
¡¾´ð°¸¡¿Ó¦Öú»ØÌû
| Ê×Ïȸù¾ÝÀ¸ñÀÊÈÕ·½³ÌÍÆµ¼µÃµ½Æ«Î¢·Ö·½³Ì£¬È»ºó¸ù¾Ýģ̬Õý½»ÐÔ½«Æ«Î¢·Ö·½³Ì½âñ½«Êä³öyд³ÉÕñÐͺÍÄ£Ì¬×ø±ê³Ë»ýµÄÎÞÇîºÍÐÎʽ£¬È¡Ç°n½×¡£Ò²¾ÍÊÇÄãµÄµÚÒ»¸öʽ×Ó£©µÃµ½½âñîºóµÄģ̬¿Õ¼ä¶¯Á¦Ñ§·½³Ì£¨ÄãµÄµÚ¶þ¸öʽ×Ó£©¡£È¡Ä£Ì¬ËٶȺÍÄ£Ì¬×ø±êΪ״̬±äÁ¿£¬½«¶¯Á¦Ñ§·½³Ìд³É״̬¿Õ¼äµÄÐÎʽ£¨ÄãµÄµÚÈý¸öʽ×Ó£©¡£ |

3Â¥2014-04-14 07:41:44
whdlid
ͳæ (³õÈëÎÄ̳)
- Ó¦Öú: 0 (Ó×¶ùÔ°)
- ½ð±Ò: 163.1
- Ìû×Ó: 44
- ÔÚÏß: 19.8Сʱ
- ³æºÅ: 1010094
- ×¢²á: 2010-05-02
- ÐÔ±ð: GG
- רҵ: ½á¹¹¹¤³Ì
4Â¥2014-04-23 11:56:09
ssmallbird
ͳæ (³õÈëÎÄ̳)
- Ó¦Öú: 4 (Ó×¶ùÔ°)
- ½ð±Ò: 383.1
- Ìû×Ó: 35
- ÔÚÏß: 12.4Сʱ
- ³æºÅ: 1000350
- ×¢²á: 2010-04-19
- רҵ: ¶¯Á¦Ñ§Óë¿ØÖÆ
5Â¥2014-05-12 16:40:54














»Ø¸´´ËÂ¥
5