| ²é¿´: 2655 | »Ø¸´: 6 | ||||
Edstrayer°æÖ÷ (ÖøÃûдÊÖ)
·½´ç¶·ÊÒСÌìµØÕýÆøÃÔÂþ´óÊÀ½ç
|
[½»Á÷]
Ò»¸ö¶þÖØ»ý·ÖµÄ¼«Ï޵ļÆË㣿 ÒÑÓÐ2È˲ÎÓë
|
|
[img]https://latex.codecogs.com/gif.latex?\lim\limits_{n\to+\infty}\iint\limits_{(x,y)\in[0,1]\times[0,1]}\mid&space;x^n+y^n-1\mid&space;dxdy=?[/img] Çëд³öÏêÏ¸ÍÆµ¼¹ý³Ì£¡ [ Last edited by Edstrayer on 2014-4-29 at 19:29 ] |
» ÊÕ¼±¾ÌûµÄÌÔÌûר¼ÍƼö
´óѧÊýѧϰÌâ»ã¿¯×¨¼ |
» ²ÂÄãϲ»¶
²ÄÁϹ¤³Ì085601£¬270Çóµ÷¼Á
ÒѾÓÐ24È˻ظ´
085404 293Çóµ÷¼Á
ÒѾÓÐ3È˻ظ´
µ÷¼Á
ÒѾÓÐ21È˻ظ´
¸´ÊÔµ÷¼Á£¬Ò»Ö¾Ô¸Ö£ÖÝ´óѧ²ÄÁÏÓ뻯¹¤289·Ö
ÒѾÓÐ15È˻ظ´
08¹¤¿ÆÇóµ÷¼Á290·Ö
ÒѾÓÐ12È˻ظ´
286Çóµ÷¼Á
ÒѾÓÐ16È˻ظ´
²ÄÁÏÀà284µ÷¼Á
ÒѾÓÐ24È˻ظ´
¿¼Ñе÷¼Á-²ÄÁÏÀà-284
ÒѾÓÐ14È˻ظ´
327Çóµ÷¼Á
ÒѾÓÐ11È˻ظ´
Ò»Ö¾Ô¸985³õÊÔ354·ÖÉúÎïµ÷¼Á
ÒѾÓÐ3È˻ظ´
» ±¾Ö÷ÌâÏà¹Ø¼ÛÖµÌùÍÆ¼ö£¬¶ÔÄúͬÑùÓаïÖú:
ÇóÈýÖØ»ý·ÖµÄÏêϸ³ÌÐò
ÒѾÓÐ4È˻ظ´
ÇóÒ»¸öÎÊÌâµÄ½â·¨
ÒѾÓÐ5È˻ظ´
ÇóÖú£ºÁ½¸öÊýѧÌâ
ÒѾÓÐ6È˻ظ´
ÇóÖúÒ»¸ö¼òµ¥µÄ»ý·ÖÎÊÌâ
ÒѾÓÐ5È˻ظ´
ÇóÖúÒ»¸öÉú̬ѧ»ù´¡ÎÊÌâ
ÒѾÓÐ3È˻ظ´
Ò»¸öµ¼ÊýÎÊÌ⣨ºóÐø£©
ÒѾÓÐ11È˻ظ´
ÇóÖúÒ»¸öÎÊÌ⣬Çó½â´ð¡£¡£¡£
ÒѾÓÐ7È˻ظ´
Ò»¸ö¾ø¶ÔÖµÇó»ý·ÖÎÊÌâ
ÒѾÓÐ8È˻ظ´
´ó¼Ò°ïæ¼ÆËãÒ»ÏÂÕâ¸ö¼«ÏÞÎó²î74%ÊÇÔõôËã³öÀ´µÄ£¿
ÒѾÓÐ6È˻ظ´
ÇóÖúÒ»¸öLMIÎÊÌâ
ÒѾÓÐ10È˻ظ´
¹ØÓÚÊýѧ·ûºÅµÄÎÊÌ⣿Çë½Ì´óϺ
ÒѾÓÐ16È˻ظ´
ÓÃmatlabÇóÒ»¸ö»ý·Ö¡£ÎÒÇó²»³öÀ´°¡
ÒѾÓÐ3È˻ظ´
ËãÒ»¸öË«ÖØ»ý·Ö(By hand)
ÒѾÓÐ8È˻ظ´
¡¾ÇóÖú¡¿matlab ¼ÆËãÒ»¸ö¶þÖØ»ý·Ö£¬¸ßÊÖÃǰï°ïæ°É
ÒѾÓÐ6È˻ظ´
Ò»¸ö¸´ÔÓʽ×ÓµÄMATLAB½âËã
ÒѾÓÐ8È˻ظ´
ÇóÖúÒ»µÀ»ý·ÖÌâÄ¿¡£
ÒѾÓÐ4È˻ظ´
¡¾ÇóÖú¡¿»ý·ÖÎÊÌâ
ÒѾÓÐ5È˻ظ´
¡¾ÇóÖú¡¿ÇóÖúÒ»¸öºÜ»ù´¡µÄÊýѧÎÊÌâ
ÒѾÓÐ6È˻ظ´
¡¾ÇóÖú¡¿Ò»¸ö¶þÖØ»ý·ÖÎÊÌ⡾Òѽâ¾ö¡¿
ÒѾÓÐ17È˻ظ´

Edstrayer
°æÖ÷ (ÖøÃûдÊÖ)
·½´ç¶·ÊÒСÌìµØÕýÆøÃÔÂþ´óÊÀ½ç
- ÊýѧEPI: 7
- Ó¦Öú: 157 (¸ßÖÐÉú)
- ¹ó±ö: 0.927
- ½ð±Ò: 9349.6
- É¢½ð: 4503
- ºì»¨: 77
- ɳ·¢: 2
- Ìû×Ó: 2745
- ÔÚÏß: 1465.6Сʱ
- ³æºÅ: 3086598
- ×¢²á: 2014-03-25
- ¹ÜϽ: Êýѧ

2Â¥2014-04-05 00:23:10
hank612
ÖÁ×ðľ³æ (ÖøÃûдÊÖ)
- ÊýѧEPI: 14
- Ó¦Öú: 225 (´óѧÉú)
- ½ð±Ò: 14270.6
- É¢½ð: 1055
- ºì»¨: 95
- Ìû×Ó: 1526
- ÔÚÏß: 1375.8Сʱ
- ³æºÅ: 2530333
- ×¢²á: 2013-07-03
- ÐÔ±ð: GG
- רҵ: ÀíÂۺͼÆË㻯ѧ
¡ï
Сľ³æ: ½ð±Ò+0.5, ¸ø¸öºì°ü£¬Ð»Ð»»ØÌû
Сľ³æ: ½ð±Ò+0.5, ¸ø¸öºì°ü£¬Ð»Ð»»ØÌû
|
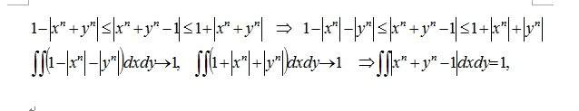
1. Èç¹û 0<a<1, ÄÇôÔÚÇøÓò [0,a] x [0,a]ÉÏ, ÓÐ |x^n +y^n-1| --> 1, µ±nÇ÷ÓÚÎÞÇî, ´Ó¶ø¶þÖØ»ý·ÖÇ÷ÓÚ ÇøÓòÃæ»ý=a^2. 2. ÔÚÇøÓò[0,1] x [0,1] \ [0,a] x [0,a] ÉÏ, ÓÐ|x^n +y^n-1| < 1, ´Ó¶ø¶þÖØ»ý·ÖСÓÚ ÇøÓòÃæ»ý= 1-a^2. Òò´Ë, ¶þÖØ»ý·Ö¼«ÏÞ´óÓÚµÈÓÚa^2, µ«ÊÇСÓÚµÈÓÚa^2+(1-a^2)=1. ÓÉaµÄÈÎÒâÐÔ, ÈÃa´Ó×ó±ßÇ÷ÓÚ1, ÖªµÀ¶þÖØ»ý·Ö¼«ÏÞΪ1. |

3Â¥2014-04-05 02:18:13
txg130118
гæ (СÓÐÃûÆø)
- Ó¦Öú: 0 (Ó×¶ùÔ°)
- ½ð±Ò: 46.9
- É¢½ð: 10
- ºì»¨: 1
- Ìû×Ó: 186
- ÔÚÏß: 202.6Сʱ
- ³æºÅ: 2249013
- ×¢²á: 2013-01-18
- רҵ: ÐźÅÀíÂÛÓëÐźŴ¦Àí
4Â¥2014-04-05 09:35:20
txg130118
гæ (СÓÐÃûÆø)
- Ó¦Öú: 0 (Ó×¶ùÔ°)
- ½ð±Ò: 46.9
- É¢½ð: 10
- ºì»¨: 1
- Ìû×Ó: 186
- ÔÚÏß: 202.6Сʱ
- ³æºÅ: 2249013
- ×¢²á: 2013-01-18
- רҵ: ÐźÅÀíÂÛÓëÐźŴ¦Àí
5Â¥2014-04-05 09:37:13
Edstrayer
°æÖ÷ (ÖøÃûдÊÖ)
·½´ç¶·ÊÒСÌìµØÕýÆøÃÔÂþ´óÊÀ½ç
- ÊýѧEPI: 7
- Ó¦Öú: 157 (¸ßÖÐÉú)
- ¹ó±ö: 0.927
- ½ð±Ò: 9349.6
- É¢½ð: 4503
- ºì»¨: 77
- ɳ·¢: 2
- Ìû×Ó: 2745
- ÔÚÏß: 1465.6Сʱ
- ³æºÅ: 3086598
- ×¢²á: 2014-03-25
- ¹ÜϽ: Êýѧ

6Â¥2014-04-05 09:46:24
txg130118
гæ (СÓÐÃûÆø)
- Ó¦Öú: 0 (Ó×¶ùÔ°)
- ½ð±Ò: 46.9
- É¢½ð: 10
- ºì»¨: 1
- Ìû×Ó: 186
- ÔÚÏß: 202.6Сʱ
- ³æºÅ: 2249013
- ×¢²á: 2013-01-18
- רҵ: ÐźÅÀíÂÛÓëÐźŴ¦Àí
7Â¥2014-04-05 10:05:29













»Ø¸´´ËÂ¥