版块导航
正在加载中...
客户端APP下载
论文辅导
申博辅导
登录
注册
帖子
帖子
用户
本版
应《网络安全法》要求,自2017年10月1日起,未进行实名认证将不得使用互联网跟帖服务。为保障您的帐号能够正常使用,请尽快对帐号进行手机号验证,感谢您的理解与支持!
24小时热门版块排行榜
>
论坛更新日志
(3701)
>
虫友互识
(299)
>
文献求助
(175)
>
硕博家园
(100)
>
导师招生
(91)
>
考博
(86)
>
休闲灌水
(77)
>
招聘信息布告栏
(72)
>
论文投稿
(58)
>
博后之家
(42)
>
教师之家
(42)
>
基金申请
(41)
>
找工作
(36)
>
论文道贺祈福
(32)
>
考研
(31)
>
绿色求助(高悬赏)
(17)
小木虫论坛-学术科研互动平台
»
专业学科区
»
数学
»
基础数学
»
求助一个简单的积分问题
6
1/1
返回列表
查看: 1240 | 回复: 5
只看楼主
@他人
存档
新回复提醒
(忽略)
收藏
在APP中查看
邯郸牧童
木虫
(正式写手)
应助: 26
(小学生)
金币: 1160.5
红花: 4
帖子: 340
在线: 124小时
虫号: 988669
注册: 2010-04-03
性别: GG
专业: 畜牧学
[
求助
]
求助一个简单的积分问题
已有2人参与
求下面图片中的积分过程,
1.jpg
回复此楼
» 猜你喜欢
AI论文写作工具:是科研加速器还是学术作弊器?
已经有5人回复
Bioresource Technology期刊,第一次返修的时候被退回好几次了
已经有8人回复
寻求一种能扛住强氧化性腐蚀性的容器密封件
已经有7人回复
到新单位后,换了新的研究方向,没有团队,持续积累2区以上论文,能申请到面上吗
已经有8人回复
申请2026年博士
已经有6人回复
请问哪里可以有青B申请的本子可以借鉴一下。
已经有5人回复
天津工业大学郑柳春团队欢迎化学化工、高分子化学或有机合成方向的博士生和硕士生加入
已经有5人回复
2025冷门绝学什么时候出结果
已经有7人回复
请问有评职称,把科研教学业绩算分排序的高校吗
已经有6人回复
康复大学泰山学者周祺惠团队招收博士研究生
已经有6人回复
» 本主题相关价值贴推荐,对您同样有帮助:
一个有关概率的极限的证明
已经有4人回复
有没有大神会用matlab算这个积分的?
已经有4人回复
求助一个简单的理论问题
已经有3人回复
求助简单原电池的一个小问题
已经有16人回复
急切求助!一个mathematica求解一个简单一元非线性方程的问题
已经有4人回复
请教一个积分用留数定理计算的问题
已经有15人回复
matlab 积分求助
已经有8人回复
[求助]外行请教一个简单的生物教科书题目!!!!
已经有3人回复
求助一简单matlab程序的出错问题,谢谢
已经有3人回复
请教一个Mathematica积分的问题(重金求解)
已经有6人回复
求助一个编译出错的简单程序,请多多指教,谢谢
已经有4人回复
matlab求积分,出现奇点怎么办?
已经有8人回复
求助:matlab编程求解变管径流场问题?
已经有6人回复
【求助】matlab求解一个简单的积分(急!!!)
已经有7人回复
【求助】一个简单的A类错误!
已经有8人回复
求助一个差分方程的MATLAB实现
已经有3人回复
【求助】请教高手关于核磁谱中积分的一个问题
已经有10人回复
【求助】一个二重积分问题【已解决】
已经有17人回复
求助一个简单的origin问题
已经有2人回复
【求助】一个简单的gap计算问题
已经有9人回复
【求助】一个简单的传热问题
已经有11人回复
1楼
2013-12-14 11:19:11
已阅
回复此楼
关注TA
给TA发消息
送TA红花
TA的回帖
phykid
木虫
(正式写手)
应助: 35
(小学生)
金币: 4138.1
红花: 5
帖子: 519
在线: 305.5小时
虫号: 1557783
注册: 2011-12-31
性别: GG
专业: 粒子物理与核物理实验方法
【答案】应助回帖
★ ★ ★ ★ ★ ★ ★ ★ ★ ★
感谢参与,应助指数 +1
邯郸牧童: 金币+10,
★★★★★
最佳答案
2013-12-16 12:50:41
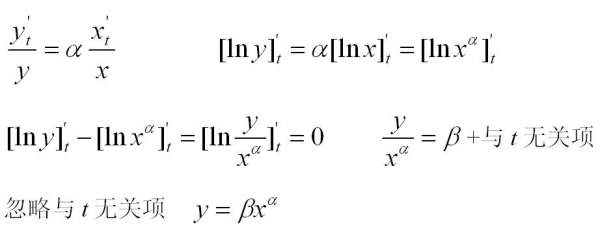
这个貌似就是两边积分一下,得到:
lny=alnx+c
化简:
y=exp(c)*x^a
设b=exp(c)就行了
赞
一下
回复此楼
2楼
2013-12-14 12:07:53
已阅
回复此楼
关注TA
给TA发消息
送TA红花
TA的回帖
feixiaolin
荣誉版主
(文坛精英)
专家经验: +518
应助: 942
(博后)
贵宾: 1.275
金币: 2930
散金: 58785
红花: 532
沙发: 11
帖子: 24215
在线: 2601.8小时
虫号: 2139575
注册: 2012-11-21
专业: 光学信息获取与处理
管辖:
数学
楼上正解。
44.JPG
赞
一下
(1人)
回复此楼
» 本帖已获得的红花(最新10朵)
邯郸牧童
3楼
2013-12-14 12:18:23
已阅
回复此楼
关注TA
给TA发消息
送TA红花
TA的回帖
peterflyer
木虫之王
(文学泰斗)
peterflyer
数学EPI: 10
应助: 20282
(院士)
金币: 145691
红花: 1374
帖子: 93067
在线: 7693.7小时
虫号: 1482829
注册: 2011-11-08
性别: GG
专业: 功能陶瓷
【答案】应助回帖
感谢参与,应助指数 +1
楼主已经将求解的积分过程详细地给出了,还要什么过程?需要的是给出初始条件将积分常数确定下来。
赞
一下
回复此楼
4楼
2013-12-14 20:48:09
已阅
回复此楼
关注TA
给TA发消息
送TA红花
TA的回帖
邯郸牧童
木虫
(正式写手)
应助: 26
(小学生)
金币: 1160.5
红花: 4
帖子: 340
在线: 124小时
虫号: 988669
注册: 2010-04-03
性别: GG
专业: 畜牧学
送红花一朵
引用回帖:
3楼
:
Originally posted by
feixiaolin
at 2013-12-14 12:18:23
楼上正解。
44.JPG
我咋不能给你加分啊?
赞
一下
回复此楼
5楼
2013-12-16 12:52:06
已阅
回复此楼
关注TA
给TA发消息
送TA红花
TA的回帖
邯郸牧童
木虫
(正式写手)
应助: 26
(小学生)
金币: 1160.5
红花: 4
帖子: 340
在线: 124小时
虫号: 988669
注册: 2010-04-03
性别: GG
专业: 畜牧学
引用回帖:
2楼
:
Originally posted by
phykid
at 2013-12-14 12:07:53
这个貌似就是两边积分一下,得到:
lny=alnx+c
化简:
y=exp(c)*x^a
设b=exp(c)就行了
十分感谢啊,我的数学,都忘完了
赞
一下
回复此楼
6楼
2013-12-16 12:54:27
已阅
回复此楼
关注TA
给TA发消息
送TA红花
TA的回帖
相关版块跳转
数理科学综合
机械
物理
数学
农林
食品
地学
能源
信息科学
土木建筑
航空航天
转基因
我要订阅楼主
邯郸牧童
的主题更新
6
1/1
返回列表
如果回帖内容含有宣传信息,请如实选中。否则帐号将被全论坛禁言
普通表情
龙
兔
虎
猫
百度网盘
|
360云盘
|
千易网盘
|
华为网盘
在新窗口页面中打开自己喜欢的网盘网站,将文件上传后,然后将下载链接复制到帖子内容中就可以了。
信息提示
关闭
请填处理意见
关闭
确定