| ²é¿´: 990 | »Ø¸´: 4 | ||||
·ÉºèÓ¡Ñ©jayÒø³æ (СÓÐÃûÆø)
|
[ÇóÖú]
ÓÐûÓдóÉñ»áÓÃmatlabËãÕâ¸ö»ý·ÖµÄ£¿ ÒÑÓÐ1È˲ÎÓë
|
|
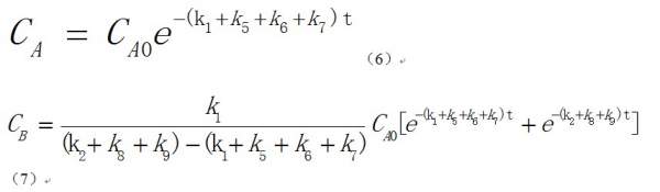
ÎÒÏë×îºó±íʾ³ÉCc£¨t£©ÊÇtµÄº¯ÊýµÄÐÎʽ£¬ki¶¼Êdz£Êý RB8VBG2Z}UVQ@P92SP)M3G5.jpg 5TJ945N9UX96S(R%KP7{S0G.jpg |
» ²ÂÄãϲ»¶
2026ÄêÑ»·¾¼Ã¹¦ÄܲÄÁϹú¼Ê»áÒ飨ICFMCE 2026£©
ÒѾÓÐ0È˻ظ´
2026ÄêµÚÎå½ìµçÆø¡¢µç×ÓÓëÐÅÏ¢¹¤³Ì¹ú¼Ê»áÒ飨ISEEIE 2026£©
ÒѾÓÐ0È˻ظ´
ÎïÀíѧIÂÛÎÄÈóÉ«/·ÒëÔõôÊÕ·Ñ?
ÒѾÓÐ126È˻ظ´
¹þ¶û±õÀí¹¤´óѧÎïÀíϵÕÐÊÕÎïÀíѧ¿¼Ñе÷¼Á
ÒѾÓÐ5È˻ظ´
0702Ò»Ö¾Ô¸¼ª´óBÇøÇóµ÷¼Á
ÒѾÓÐ5È˻ظ´
Çóµ÷¼Á
ÒѾÓÐ0È˻ظ´
0702Ò»Ö¾Ô¸¼ª´óBÇøÇóµ÷¼ÁÓÐÂÛÎÄ
ÒѾÓÐ0È˻ظ´
ÇëÎÊ»¹ÓÐûÓÐÓÃLatexдÎÄÕµÄС»ï°éÃÇ£¿
ÒѾÓÐ0È˻ظ´
¹âѧ¹¤³Ìѧ˶µ÷¼ÁÐÅÏ¢
ÒѾÓÐ29È˻ظ´
»¶Ó¼ÓÈë¿ÎÌâ×é
ÒѾÓÐ0È˻ظ´
É¢½ð±Ò£¬ÇóºÃÔË£¬×£ÃæÉÏ˳Àû£¡
ÒѾÓÐ52È˻ظ´
» ±¾Ö÷ÌâÏà¹Ø¼ÛÖµÌùÍÆ¼ö£¬¶ÔÄúͬÑùÓаïÖú:
Çó´óÉñ°ïæÓÃMATLAB½âÒ»µÀ»ý·ÖÌâ
ÒѾÓÐ5È˻ظ´
Çó»ý·Ö£¬²»»á°¡Çó´óÉñ°ï°ï棡
ÒѾÓÐ6È˻ظ´
matlab Òþº¯ÊýÇó½â
ÒѾÓÐ6È˻ظ´
ÔõÑùÓÃmatlabÁлý·Ö·½³ÌµÄÇúÏß~~~~~~~
ÒѾÓÐ8È˻ظ´
¹ØÓÚmatlab½øÐиµÀïÒ¶±ä»»ºÍÄæ±ä»»µÄ³ÌÐò£¬Çó´óÉñÖ¸µ¼£¡
ÒѾÓÐ9È˻ظ´
¶ÔÓÚ·ûºÅ»ý·Ömatlab»ý·Ö»ý²»³öÀ´Ôõô½â¾ö+ÓдúÂë
ÒѾÓÐ14È˻ظ´
matlab½â¾öÖØÐÄ·¨Ñ¡Ö·ÎÊÌ⣬ÔËÐв»Á˰¡£¬ÇóÖú¸÷λ´óÉñ
ÒѾÓÐ10È˻ظ´
MatlabÊýÖµ»ý·Ö½á¹ûÊÇÐéÊý
ÒѾÓÐ6È˻ظ´
MATLAB΢·Ö·½³Ì²ÎÊýÄâºÏÎÊÌ⣬Çó´óÉñ
ÒѾÓÐ7È˻ظ´
MATLAB¹ØÓÚlsqcurvefit³ÌÐò¼¸¸ö´íÎó£¬Çó´óÉñÖ¸µ¼Ò»ÏÂ
ÒѾÓÐ6È˻ظ´
matlab »ý·ÖÇóÖú
ÒѾÓÐ8È˻ظ´
matlab »ý·Ö¼ÆËã Ëã²»³ö½á¹û£¬Çó°ïÖú£¡£¡£¡
ÒѾÓÐ10È˻ظ´
¹ØÓÚMatlabËã·ûºÅ»ý·Ö
ÒѾÓÐ6È˻ظ´
ÇóÖúmatlab»ý·ÖµÄÎÊÌâ
ÒѾÓÐ4È˻ظ´
matlabÇó»ý·Ö£¬³öÏÖÆæµãÔõô°ì£¿
ÒѾÓÐ8È˻ظ´
matlabÇó»ý·Ö£¿
ÒѾÓÐ7È˻ظ´
matlabÇóÊýÖµ»ý·Ö£¿
ÒѾÓÐ10È˻ظ´
¡¾ÇóÖú¡¿matlabÇó½âÒ»¸ö¼òµ¥µÄ»ý·Ö£¨¼±£¡£¡£¡£©
ÒѾÓÐ7È˻ظ´
¡¾ÇóÖú¡¿ÓÃmatlabÇó1¸ö»ý·Ö,¼±!
ÒѾÓÐ4È˻ظ´
feixiaolin
ÈÙÓþ°æÖ÷ (ÎÄ̳¾«Ó¢)
-

ר¼Ò¾Ñé: +518 - Ó¦Öú: 942 (²©ºó)
- ¹ó±ö: 1.275
- ½ð±Ò: 3430
- É¢½ð: 58785
- ºì»¨: 532
- ɳ·¢: 11
- Ìû×Ó: 24215
- ÔÚÏß: 2601.8Сʱ
- ³æºÅ: 2139575
- ×¢²á: 2012-11-21
- רҵ: ¹âѧÐÅÏ¢»ñÈ¡Óë´¦Àí
- ¹ÜϽ: Êýѧ
¡ï
csgt0: ½ð±Ò+1, »¶Ó½»Á÷ 2013-11-02 18:47:28
csgt0: ½ð±Ò+1, »¶Ó½»Á÷ 2013-11-02 18:47:28
|
¾Ý¹«Ê½(3), Cc(t)=k*exp[-(k3+k10)*t]+A*CA(t)+B*CB(t); »Ø´úÈ빫ʽ(3),¿ÉÈ·¶¨ÏµÊýA¡¢B£» |
2Â¥2013-11-02 12:00:53
·ÉºèÓ¡Ñ©jay
Òø³æ (СÓÐÃûÆø)
- Ó¦Öú: 1 (Ó×¶ùÔ°)
- ½ð±Ò: 340.5
- É¢½ð: 60
- Ìû×Ó: 69
- ÔÚÏß: 60.3Сʱ
- ³æºÅ: 2338094
- ×¢²á: 2013-03-11
- ÐÔ±ð: GG
- רҵ: ÉúÎﻯ¹¤ÓëʳƷ»¯¹¤
3Â¥2013-11-02 12:19:27
jerkwin
ר¼Ò¹ËÎÊ (ÕýʽдÊÖ)
-

ר¼Ò¾Ñé: +14 - ¼ÆËãÇ¿Ìû: 1
- Ó¦Öú: 454 (˶ʿ)
- ½ð±Ò: 20699.1
- É¢½ð: 148
- ºì»¨: 81
- Ìû×Ó: 813
- ÔÚÏß: 2648.3Сʱ
- ³æºÅ: 1023452
- ×¢²á: 2010-05-19
- רҵ: ÀíÂۺͼÆË㻯ѧ
- ¹ÜϽ: ·Ö×ÓÄ£Äâ
¡¾´ð°¸¡¿Ó¦Öú»ØÌû
¡ï ¡ï ¡ï ¡ï
¸Ðл²ÎÓ룬ӦÖúÖ¸Êý +1
dbb627: ½ð±Ò+1, ллָµ¼ 2013-11-23 10:38:07
·ÉºèÓ¡Ñ©jay: ½ð±Ò+3, ¡ïÓаïÖú 2014-01-08 23:57:32
¸Ðл²ÎÓ룬ӦÖúÖ¸Êý +1
dbb627: ½ð±Ò+1, ллָµ¼ 2013-11-23 10:38:07
·ÉºèÓ¡Ñ©jay: ½ð±Ò+3, ¡ïÓаïÖú 2014-01-08 23:57:32
|
Ò»½×³£Î¢·Ö·½³Ì£¬ ½âÎö½â http://www.wolframalpha.com/inpu ... C+exp%28-c+x%29-D+y |
4Â¥2013-11-02 22:42:34
peterflyer
ľ³æÖ®Íõ (ÎÄѧ̩¶·)
peterflyer
- ¼ÆËãÇ¿Ìû: 2
- Ó¦Öú: 20282 (Ժʿ)
- ½ð±Ò: 146147
- ºì»¨: 1374
- Ìû×Ó: 93091
- ÔÚÏß: 7694.3Сʱ
- ³æºÅ: 1482829
- ×¢²á: 2011-11-08
- ÐÔ±ð: GG
- רҵ: ¹¦ÄÜÌÕ´É
5Â¥2014-05-04 15:41:49













»Ø¸´´ËÂ¥