| ²é¿´: 3157 | »Ø¸´: 4 | ||
·â³¿½à½ð³æ (³õÈëÎÄ̳)
|
[ÇóÖú]
ÇóÈýÖØ»ý·ÖµÄÏêϸ³ÌÐò
|
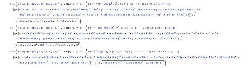
| ¿´¹ýÐìÊ¿Á¼µÄfortran³£ÓÃËã·¨³ÌÐò¼¯£¬Îҵı»»ýº¯ÊýÊÇÒ»¸öʸÁ¿º¯Êýf1(x,y,z)i+f2(x,y,z)j+f3(x,y,z)k£¬¾ßÌå±í´ïʽ֪µÀÇÒ±í´ïʽ¸´ÔÓ£¨ÓÐeÖ¸Êý£¬·ÖÊý£¬¸ùºÅµÈ£©Æä´ÎÔÚÊä³ö½á¹ûµÄʱºò£¬ÒªÊä³öÈýÖØ»ý·Öºó·Ö±ðµÄÂú×ãf1£¬f2,f3µÄÊý¾Ý£¬ÎÒÏëµÃµ½Êý¾ÝÔÚtecplotÀï×öͼÏñ¡£Çó´óϺÄܰïæ£¬Ö¸µ¼³ÌÐò¸ÃÔõôд |
» ²ÂÄãϲ»¶
Ò»Ö¾Ô¸±±Àí¹¤298Ó¢Ò»Êý¶þÇóµ÷¼Á
ÒѾÓÐ15È˻ظ´
291 Çóµ÷¼Á
ÒѾÓÐ27È˻ظ´
307Çóµ÷¼Á
ÒѾÓÐ7È˻ظ´
²ÄÁÏÓ뻯¹¤µ÷¼Á
ÒѾÓÐ9È˻ظ´
µ÷¼Á
ÒѾÓÐ18È˻ظ´
²ÄÁÏרҵ344Çóµ÷¼Á
ÒѾÓÐ20È˻ظ´
Çóµ÷¼Á
ÒѾÓÐ5È˻ظ´
362Çóµ÷¼Á
ÒѾÓÐ14È˻ظ´
0856ר˶Çóµ÷¼Á Ï£ÍûÊÇaÇøÔºÐ£
ÒѾÓÐ24È˻ظ´
²ÄÁÏÓ뻯¹¤300Çóµ÷¼Á
ÒѾÓÐ34È˻ظ´
» ±¾Ö÷ÌâÏà¹Ø¼ÛÖµÌùÍÆ¼ö£¬¶ÔÄúͬÑùÓаïÖú:
MATLAB½âº¬Èý½Çº¯Êý·½³Ì£¬Çó´ó¼ÒÖ¸µã£¡
ÒѾÓÐ4È˻ظ´
ÇóÒ»¸ö¸´º¯Êý¶¨»ý·Ö³ÌÐò
ÒѾÓÐ6È˻ظ´
Õâ¸ö¶þÖØ»ý·ÖΪʲômatlabËãµÄ²»¶ÔÄØ
ÒѾÓÐ4È˻ظ´
Mathematics ¼ÆËã²»³ö»ý·ÖÀ´£¬¹òÇó´óÉñÏàÖú
ÒѾÓÐ4È˻ظ´
matalbÈçºÎÇó·½³Ì×éµÄ»ý·Ö
ÒѾÓÐ7È˻ظ´
¶àÖØ¸ß˹»ý·Öfortran³ÌÐò
ÒѾÓÐ4È˻ظ´
matlabÇóÈýÔª¶þ´Îº¯Êý×î´óÖµ
ÒѾÓÐ11È˻ظ´
¼±£¡ÇóÖú£¡£¡Matlab»òMathematica³ÌÐò¼ÆËãÕâ¸öº¬2ÖØ»ý·ÖµÄ·½³Ì~
ÒѾÓÐ5È˻ظ´
Matlab(»òÕßMathematica) ÈçºÎ½øÐи´ÔÓº¯ÊýµÄ¶þÖØ»ý·Ö£¿
ÒѾÓÐ6È˻ظ´
matlabÖÐÈýÖØ»ý·Ö³ÌÐò
ÒѾÓÐ5È˻ظ´
matlab »ý·Ö¼ÆËã Ëã²»³ö½á¹û£¬Çó°ïÖú£¡£¡£¡
ÒѾÓÐ10È˻ظ´
Çë½ÌÒ»¸öMathematica»ý·ÖµÄÎÊÌâ£¨ÖØ½ðÇó½â£©
ÒѾÓÐ6È˻ظ´
¼±Çó C»òC++±àÈçºÎÇóÈý´Î·½³ÌµÄ³ÌÐò ½»×÷Òµ
ÒѾÓÐ3È˻ظ´
ÇâÆ×0.01ppm´¦³öÏÖÈýÖØ·å£¬»ý·ÖΪһ¸öÇ⣡
ÒѾÓÐ14È˻ظ´
¡¾ÇóÖú¡¿ÈçºÎÓÃMathematica»ÈýÖØ»ý·ÖÇøÓòͼ
ÒѾÓÐ4È˻ظ´
¡¾ÇóÖú¡¿ÈýÖØ»ý·Ö
ÒѾÓÐ9È˻ظ´
¡¾ÇóÖú¡¿¼ÆËã»ý·ÖµÄ³ÌÐò
ÒѾÓÐ9È˻ظ´
¡¾ÇóÖú¡¿Çó»ý·Ö³ÌÐòÖб»»ýº¯ÊýÎÊÌâ
ÒѾÓÐ15È˻ظ´
wangww2011
ľ³æ (ÖøÃûдÊÖ)
- ³ÌÐòÇ¿Ìû: 13
- Ó¦Öú: 11 (СѧÉú)
- ½ð±Ò: 4023.1
- É¢½ð: 2709
- ºì»¨: 18
- ɳ·¢: 1
- Ìû×Ó: 1915
- ÔÚÏß: 1537.1Сʱ
- ³æºÅ: 772953
- ×¢²á: 2009-05-17
- ÐÔ±ð: GG
- רҵ: Äý¾Û̬ÎïÐÔ II £ºµç×ӽṹ
|
ÊýÖµ»ý·Ö»¹ÊǺܳÉÊìµÄ Èç¹ûÊǵ¥¸öµÄ ÉÏÕâÀï×î¼òµ¥ https://www.wolframalpha.com/input/?i=int_0^1+e^x%2Fsqrt%28x%29+dx Èç¹ûÊǸù¾Ý²»Í¬µÄ±ß½çËã³ö²»Í¬µÄ»ý·ÖÖµ ²¢ÇÒ×îºÃµ¼³öµ½Ò»¶¨¸ñʽµÄÊý¾Ý ÄǾͲàÖØ×îºóÎļþµÄ¸ñʽ¾ÍÐÐ ÖмäµÄ¿ÉÒÔ×Ô¼ºÐ´¸öº¯Êý »òÕßµ÷Óà һЩÈí¼þ×Ô´øµÄº¯Êý ÈçÓÃmatlabÀ´Ð´ ×îΪ·½±ã µ±È»ÓÃFortran Ò²ÐÐµÄ |
2Â¥2014-03-20 08:23:46
·â³¿½à
½ð³æ (³õÈëÎÄ̳)
- Ó¦Öú: 0 (Ó×¶ùÔ°)
- ½ð±Ò: 827.9
- Ìû×Ó: 22
- ÔÚÏß: 29.4Сʱ
- ³æºÅ: 3049570
- ×¢²á: 2014-03-14
- ÐÔ±ð: MM
- רҵ: Äý¾Û̬ÎïÐÔI:½á¹¹¡¢Á¦Ñ§ºÍ
3Â¥2014-03-20 11:30:46
wangww2011
ľ³æ (ÖøÃûдÊÖ)
- ³ÌÐòÇ¿Ìû: 13
- Ó¦Öú: 11 (СѧÉú)
- ½ð±Ò: 4023.1
- É¢½ð: 2709
- ºì»¨: 18
- ɳ·¢: 1
- Ìû×Ó: 1915
- ÔÚÏß: 1537.1Сʱ
- ³æºÅ: 772953
- ×¢²á: 2009-05-17
- ÐÔ±ð: GG
- רҵ: Äý¾Û̬ÎïÐÔ II £ºµç×ӽṹ
|
»ý·ÖÇøÓò´ÓÎÞÏÞ´ó²¢²»ÊǸöÎÊÌâ Äã¿ÉÒÔÓøß˹ http://en.wikipedia.org/wiki/Gaussian_quadrature µ«ÆäʵÕâ¸öÒ²²»ÊǺÜÖØÒª Äã¾ÍÓÃÆÕͨµÄÌÝÐ稶¼ÐÐµÄ ¾ÍÊÇȡһ¸öºÜ´óµÄ±ß½ç¾ÍÐÐÁË Èç1e10Ö®ÀàµÄ ²»ºÃÒâ˼ ÄãÓÐÀ§ÄÑ µ«Ò²Ã»ÓÐ˵Çå³þ¾ßÌåµÄÀ§ÄÑÔÚÄÄÀ¸öÈ˾õµÃÄãÕâÖÖÎÊÌâ ³ÌÐò×Ôӵĵط½ÊÇ ÈçºÎ°ÑÊý¾Ý±£´æ³Étecplot¿ÉÒÔ¶ÁÈ¡µÄÎļþÁË ÒòΪ»ý·ÖµÄ»° Èç¹ûÄãÓÃÆäËû³ÌÐò Ö±½Óµ÷ÓþÍÐÐÁË Èçhttp://docs.scipy.org/doc/scipy/reference/tutorial/integrate.html ËùÒÔ»ý·Ö±¾ÉíÄã¸ù±¾²»Óû¨Ê±¼äµÄ |
4Â¥2014-03-20 18:19:15
·â³¿½à
½ð³æ (³õÈëÎÄ̳)
- Ó¦Öú: 0 (Ó×¶ùÔ°)
- ½ð±Ò: 827.9
- Ìû×Ó: 22
- ÔÚÏß: 29.4Сʱ
- ³æºÅ: 3049570
- ×¢²á: 2014-03-14
- ÐÔ±ð: MM
- רҵ: Äý¾Û̬ÎïÐÔI:½á¹¹¡¢Á¦Ñ§ºÍ
5Â¥2014-03-20 20:38:49













»Ø¸´´ËÂ¥