| 查看: 1772 | 回复: 4 | ||
12仅此而已银虫 (著名写手)
|
[求助]
Mathematics 计算不出积分来,跪求大神相助
|
|
|
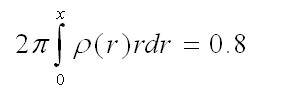
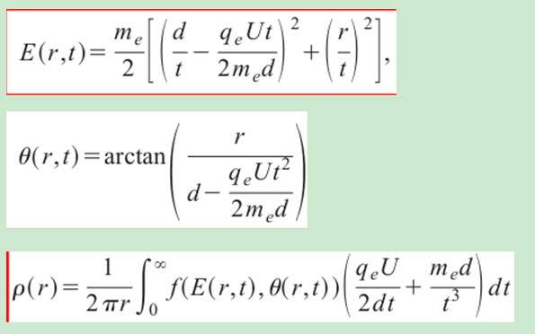
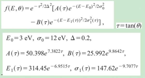
本人学物理的,临时需要解积分,找来三大软件编程,由于只会简单地带入,三大软件真心的解不出,还望大神们多多指点 $8VEPC)YEQ]6Q55@2W73QTG.jpg X$5FJ)EW}58{8X(%JMK_80I.jpg |
» 猜你喜欢
导师想让我从独立一作变成了共一第一
已经有9人回复
博士读完未来一定会好吗
已经有23人回复
到新单位后,换了新的研究方向,没有团队,持续积累2区以上论文,能申请到面上吗
已经有11人回复
读博
已经有4人回复
JMPT 期刊投稿流程
已经有4人回复
心脉受损
已经有5人回复
Springer期刊投稿求助
已经有4人回复
小论文投稿
已经有3人回复
申请2026年博士
已经有6人回复
» 本主题相关价值贴推荐,对您同样有帮助:
写了一篇铁路客流预测的文章,理论有模糊数学方法,想投SCI,请大神给点建议
已经有6人回复
数学大神们:矩阵求偏导数求助!!!
已经有8人回复
数学专业考研用哪些辅导书?求大神们指点!
已经有11人回复
求大神帮忙解病态线性方程组
已经有5人回复
哪位大神帮忙做下这两道数学分析题,实在想不起来了
已经有4人回复
求爱心,求大神,这个积分怎么求呢?
已经有5人回复
求助数学大神 如何做图像的相似性分析
已经有5人回复
帮忙既精通数学又精通VB编程的大神解指数方程
已经有4人回复
12仅此而已
银虫 (著名写手)
- 应助: 0 (幼儿园)
- 金币: 7305.7
- 散金: 726
- 帖子: 1298
- 在线: 436.1小时
- 虫号: 1387752
- 注册: 2011-09-02
- 性别: MM
- 专业: 光学信息获取与处理
5楼2013-07-08 21:04:42
sciencejoy
新虫 (著名写手)
- 应助: 436 (硕士)
- 金币: 11203.7
- 红花: 89
- 帖子: 2974
- 在线: 498小时
- 虫号: 802149
- 注册: 2009-07-02
- 性别: GG
- 专业: 高分子物理与高分子物理化
2楼2013-07-08 12:41:33
ajitai
铁杆木虫 (职业作家)
- 应助: 8 (幼儿园)
- 金币: 8817.4
- 散金: 5370
- 红花: 11
- 帖子: 3525
- 在线: 418.1小时
- 虫号: 854389
- 注册: 2009-09-22
- 性别: GG
- 专业: 金属材料表面科学与工程
3楼2013-07-08 12:51:38
12仅此而已
银虫 (著名写手)
- 应助: 0 (幼儿园)
- 金币: 7305.7
- 散金: 726
- 帖子: 1298
- 在线: 436.1小时
- 虫号: 1387752
- 注册: 2011-09-02
- 性别: MM
- 专业: 光学信息获取与处理
4楼2013-07-08 20:51:32













回复此楼
