版块导航
正在加载中...
客户端APP下载
论文辅导
调剂小程序
登录
注册
帖子
帖子
用户
本版
应《网络安全法》要求,自2017年10月1日起,未进行实名认证将不得使用互联网跟帖服务。为保障您的帐号能够正常使用,请尽快对帐号进行手机号验证,感谢您的理解与支持!
24小时热门版块排行榜
>
论坛更新日志
(3542)
>
虫友互识
(429)
>
休闲灌水
(243)
>
文献求助
(241)
>
导师招生
(190)
>
考博
(93)
>
考研
(89)
>
硕博家园
(59)
>
博后之家
(56)
>
论文投稿
(49)
>
基金申请
(41)
>
教师之家
(39)
>
公派出国
(35)
>
论文道贺祈福
(34)
>
招聘信息布告栏
(33)
>
找工作
(28)
小木虫论坛-学术科研互动平台
»
专业学科区
»
数学
»
计算数学
»
复杂函数迭代求解
4
1/1
返回列表
查看: 519 | 回复: 3
只看楼主
@他人
存档
新回复提醒
(忽略)
收藏
在APP中查看
halalaa
新虫
(初入文坛)
应助: 3
(幼儿园)
金币: 40.9
帖子: 20
在线: 16.2小时
虫号: 1679725
注册: 2012-03-10
专业: 固体力学
[
求助
]
复杂函数迭代求解
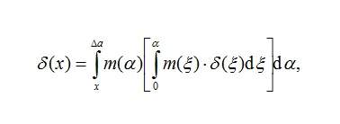
各位大神,请问如下的方程能够通过matlab迭代法求解吗??
mmmm.jpg
回复此楼
» 猜你喜欢
售SCI一区文章,我:8 O5 51O 54,科目齐全,可+急
已经有3人回复
售SCI一区文章,我:8 O5 51O 54,科目齐全,可+急
已经有6人回复
为什么中国大学教授们水了那么多所谓的顶会顶刊,但还是做不出宇树机器人?
已经有4人回复
版面费该交吗
已经有4人回复
面上可以超过30页吧?
已经有3人回复
售SCI一区文章,我:8 O5 51O 54,科目齐全,可+急
已经有6人回复
售SCI一区文章,我:8 O5 51O 54,科目齐全,可+急
已经有3人回复
售SCI一区文章,我:8 O5 51O 54,科目齐全,可+急
已经有4人回复
售SCI一区文章,我:8 O5 51O 54,科目齐全,可+急
已经有3人回复
售SCI一区文章,我:8 O5 51O 54,科目齐全,可+急
已经有4人回复
» 本主题相关价值贴推荐,对您同样有帮助:
跪求求解线性方程组的c语言程序
已经有3人回复
如何用MATLAB求解脉冲微分方程并画图
已经有5人回复
审稿人关于迭代过程中全局最小值的问题~
已经有5人回复
关于matlab进行傅里叶变换和逆变换的程序,求大神指导!
已经有9人回复
求解求解求解求解求解
已经有4人回复
matlab求解高阶方程组
已经有3人回复
数学好的请进,请问这叫什么迭代算法?有具体描述。非线性迭代求解
已经有26人回复
Matlab求解二阶偏微分方程组,希望能给出相应的求解代码
已经有10人回复
求Matlab高手解决线性方程组的迭代求解问题
已经有17人回复
关于转子运动的边界型函数的问题,非常急!!!
已经有5人回复
求教:线性系统与线性微分方程的关系。非线性系统能用传递函数来描述吗?
已经有7人回复
用不动点迭代求非线性方程组,求得的不是想要的解,怎么办
已经有12人回复
matlab有限差分法求解复杂的偏微分方程组
已经有19人回复
隐式欧拉法求解一阶常微分方程
已经有7人回复
毕设,数学相关专业,求指导!
已经有18人回复
MATLAB求解一个比较复杂的方程
已经有14人回复
【求助】多元方程组求解及拟合
已经有9人回复
【求助】怎么用MATLAB求数值解啊(高手请帮忙啊)
已经有6人回复
【求助】求积分程序中被积函数问题
已经有15人回复
1楼
2013-12-12 23:00:31
已阅
回复此楼
关注TA
给TA发消息
送TA红花
TA的回帖
feixiaolin
荣誉版主
(文坛精英)
专家经验: +518
应助: 942
(博后)
贵宾: 1.275
金币: 3430
散金: 58785
红花: 532
沙发: 11
帖子: 24215
在线: 2601.8小时
虫号: 2139575
注册: 2012-11-21
专业: 光学信息获取与处理
管辖:
数学
利用冲击函数的性质
mmmm.jpg中方括号内的积分=m(0),后面就简单一些。
赞
一下
回复此楼
2楼
2013-12-12 23:43:41
已阅
回复此楼
关注TA
给TA发消息
送TA红花
TA的回帖
halalaa
新虫
(初入文坛)
应助: 3
(幼儿园)
金币: 40.9
帖子: 20
在线: 16.2小时
虫号: 1679725
注册: 2012-03-10
专业: 固体力学
引用回帖:
2楼
:
Originally posted by
feixiaolin
at 2013-12-12 23:43:41
利用冲击函数的性质
mmmm.jpg中方括号内的积分=m(0),后面就简单一些。
感谢您的回复,可是你说的这个冲击函数我没有听过啊,而且看了一下解释,好难理解。能否再细说一下,跪拜
赞
一下
回复此楼
3楼
2013-12-13 17:57:31
已阅
回复此楼
关注TA
给TA发消息
送TA红花
TA的回帖
feixiaolin
荣誉版主
(文坛精英)
专家经验: +518
应助: 942
(博后)
贵宾: 1.275
金币: 3430
散金: 58785
红花: 532
沙发: 11
帖子: 24215
在线: 2601.8小时
虫号: 2139575
注册: 2012-11-21
专业: 光学信息获取与处理
管辖:
数学
引用回帖:
3楼
:
Originally posted by
halalaa
at 2013-12-13 17:57:31
感谢您的回复,可是你说的这个冲击函数我没有听过啊,而且看了一下解释,好难理解。能否再细说一下,跪拜...
狄拉克δ函数_百度百科
http://baike.baidu.com/view/2475851.htm
狄拉克δ函数 - 维基百科,自由的百科全书
http://zh.wikipedia.org/wiki/%E7 ... 4%E5%87%BD%E6%95%B0
赞
一下
回复此楼
4楼
2013-12-13 18:01:24
已阅
回复此楼
关注TA
给TA发消息
送TA红花
TA的回帖
相关版块跳转
数理科学综合
机械
物理
数学
农林
食品
地学
能源
信息科学
土木建筑
航空航天
转基因
我要订阅楼主
halalaa
的主题更新
4
1/1
返回列表
如果回帖内容含有宣传信息,请如实选中。否则帐号将被全论坛禁言
普通表情
龙
兔
虎
猫
百度网盘
|
360云盘
|
千易网盘
|
华为网盘
在新窗口页面中打开自己喜欢的网盘网站,将文件上传后,然后将下载链接复制到帖子内容中就可以了。
信息提示
关闭
请填处理意见
关闭
确定