版块导航
正在加载中...
客户端APP下载
论文辅导
申博辅导
登录
注册
帖子
帖子
用户
本版
应《网络安全法》要求,自2017年10月1日起,未进行实名认证将不得使用互联网跟帖服务。为保障您的帐号能够正常使用,请尽快对帐号进行手机号验证,感谢您的理解与支持!
24小时热门版块排行榜
>
论坛更新日志
(2811)
>
虫友互识
(229)
>
文献求助
(114)
>
导师招生
(109)
>
休闲灌水
(45)
>
考博
(33)
>
硕博家园
(29)
>
博后之家
(27)
>
论文道贺祈福
(24)
>
基金申请
(23)
>
绿色求助(高悬赏)
(21)
>
招聘信息布告栏
(20)
>
考研
(18)
>
教师之家
(17)
>
论文投稿
(14)
>
找工作
(11)
小木虫论坛-学术科研互动平台
»
生物医药区
»
药学
»
药剂学
»
多室模型中的微分方程求解
3
1/1
返回列表
查看: 253 | 回复: 2
只看楼主
@他人
存档
新回复提醒
(忽略)
收藏
在APP中查看
大灰狼601
铁虫
(初入文坛)
应助: 0
(幼儿园)
金币: 538
帖子: 28
在线: 15.3小时
虫号: 2538700
注册: 2013-07-09
性别:
MM
专业: 分子影像与分子探针
[
求助
]
多室模型中的微分方程求解
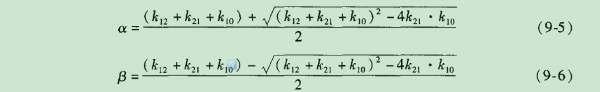
小弟半路出家,实在看不懂为何能导出这个结果,就是最常见的那个微分方程,书中只是说用拉式变化和解微分返程,如图,求告知大概的推导过程,万分感谢!
asdf.jpg
gf .jpg
回复此楼
» 猜你喜欢
同年申请2项不同项目,第1个项目里不写第2个项目的信息,可以吗
已经有4人回复
有时候真觉得大城市人没有县城人甚至个体户幸福
已经有10人回复
天津大学招2026.09的博士生,欢迎大家推荐交流(博导是本人)
已经有5人回复
有院领导为了换新车,用横向课题经费买了俩车
已经有5人回复
CSC & MSCA 博洛尼亚大学能源材料课题组博士/博士后招生|MSCA经费充足、排名优
已经有6人回复
面上项目申报
已经有3人回复
酰胺脱乙酰基
已经有9人回复
博士延得我,科研能力直往上蹿
已经有7人回复
面上基金申报没有其他的参与者成吗
已经有5人回复
遇见不省心的家人很难过
已经有22人回复
» 本主题相关价值贴推荐,对您同样有帮助:
偏微分方程求解!
已经有4人回复
如何用MATLAB求解脉冲微分方程并画图
已经有5人回复
基于MATLAB Simulink的系统仿真技术与应用--薛定宇--PDF
已经有149人回复
matlab求解常微分方程
已经有6人回复
二阶常微分方程求解
已经有5人回复
一阶微分方程求解,并优化参数值
已经有14人回复
Matlab求解偏微分方程组
已经有22人回复
请问如何求解二元一阶微分方程组
已经有24人回复
求解四阶微分方程组
已经有14人回复
数值方法求解偏微分方程的问题
已经有4人回复
【求助】matlab 求解微分方程中的未知参数
已经有20人回复
【求助】MATLAB 有限差分法(FDM)求解偏微分方程
已经有22人回复
【求助】comsol可以求解无量纲的偏微分方程吗?
已经有9人回复
【求助】积分微分方程matlab求解
已经有6人回复
【求助】Python 中 求解微分方程 odeint 的用法
已经有11人回复
【讨论】CFD软件是求解PDE的,matlab中也可以求解PDE
已经有6人回复
【求助】求教这种微分方程的详细求解过程
已经有14人回复
【求助】有限元法求解二阶偏微分方程组
已经有6人回复
1楼
2013-11-23 20:34:45
已阅
回复此楼
关注TA
给TA发消息
送TA红花
TA的回帖
rhonda芳
银虫
(小有名气)
应助: 8
(幼儿园)
金币: 282.6
散金: 5
红花: 1
帖子: 76
在线: 47小时
虫号: 2839680
注册: 2013-12-01
性别:
MM
专业: 药剂学
【答案】应助回帖
★ ★ ★ ★ ★
大灰狼601: 金币+5,
★★★★★
最佳答案, 虽然已经学会了,但是还是谢谢!
2013-12-01 19:02:56
拉式变换:L(dx/dt)=SL(x)-X(0)=SX-X(0)
所以由第一个方程得:SXc-Xc(0)=K21Xp-K10Xc-K12Xc
第二个方程得:SXp=k12Xc-K21Xp
联立解得
赞
一下
回复此楼
2楼
2013-12-01 15:36:31
已阅
回复此楼
关注TA
给TA发消息
送TA红花
TA的回帖
rhonda芳
银虫
(小有名气)
3楼
2013-12-02 08:46:16
已阅
回复此楼
关注TA
给TA发消息
送TA红花
TA的回帖
相关版块跳转
新药研发
药学
药品生产
分子生物
微生物
动植物
生物科学
医学
我要订阅楼主
大灰狼601
的主题更新
3
1/1
返回列表
如果回帖内容含有宣传信息,请如实选中。否则帐号将被全论坛禁言
普通表情
龙
兔
虎
猫
百度网盘
|
360云盘
|
千易网盘
|
华为网盘
在新窗口页面中打开自己喜欢的网盘网站,将文件上传后,然后将下载链接复制到帖子内容中就可以了。
信息提示
关闭
请填处理意见
关闭
确定