版块导航
正在加载中...
客户端APP下载
论文辅导
调剂小程序
登录
注册
帖子
帖子
用户
本版
应《网络安全法》要求,自2017年10月1日起,未进行实名认证将不得使用互联网跟帖服务。为保障您的帐号能够正常使用,请尽快对帐号进行手机号验证,感谢您的理解与支持!
24小时热门版块排行榜
>
论坛更新日志
(3660)
>
虫友互识
(448)
>
文献求助
(375)
>
导师招生
(184)
>
硕博家园
(144)
>
考博
(132)
>
论文道贺祈福
(79)
>
博后之家
(72)
>
考研
(62)
>
招聘信息布告栏
(60)
>
论文投稿
(51)
>
休闲灌水
(48)
>
基金申请
(45)
>
教师之家
(44)
>
绿色求助(高悬赏)
(41)
>
找工作
(41)
小木虫论坛-学术科研互动平台
»
专业学科区
»
物理
»
理论物理&天文
»
看看这个量子力学最基本的公式推导……
13
1/1
返回列表
查看: 4028 | 回复: 12
只看楼主
@他人
存档
新回复提醒
(忽略)
收藏
在APP中查看
littlesujin
至尊木虫
(著名写手)
应助: 1
(幼儿园)
金币: 24041.1
帖子: 2776
在线: 194.8小时
虫号: 439528
[交流]
看看这个量子力学最基本的公式推导……
这个算符 T 和左矢|a>可以互换???为什么?感觉不可以把
1.png
回复此楼
» 猜你喜欢
天津大学招2026.09的博士生,欢迎大家推荐交流(博导是本人)
已经有9人回复
有院领导为了换新车,用横向课题经费买了俩车
已经有10人回复
同年申请2项不同项目,第1个项目里不写第2个项目的信息,可以吗
已经有5人回复
依托企业入选了国家启明计划青年人才。有无高校可以引进的。
已经有8人回复
遇见不省心的家人很难过
已经有24人回复
AI 太可怕了,写基金时,提出想法,直接生成的文字比自己想得深远,还有科学性
已经有6人回复
酰胺脱乙酰基
已经有13人回复
有时候真觉得大城市人没有县城人甚至个体户幸福
已经有10人回复
高级回复
» 本主题相关价值贴推荐,对您同样有帮助:
关于量子力学和量子场论的关系的一系列疑问
已经有31人回复
关于量子场论中一些几率幅的物理解释的疑问
已经有7人回复
关于直线和曲线坐标系的疑问以及在物理学(量子力学)中的困惑
已经有8人回复
求助,固体物理;金属物理,量子力学,3方面教科书
已经有9人回复
求助一个量子力学的问题
已经有11人回复
计算活化能要用哪一个能量值?
已经有32人回复
量子力学中波函数为什么要写成复数形式
已经有55人回复
万有引力 只是一种性质
已经有8人回复
第一性原理、分子模拟和量子化学计算之间的区别是什么
已经有23人回复
【交流】量子场论浅说粒子
已经有25人回复
【交流】关于爱因斯坦的论动体电动力学的几个基本问题
已经有14人回复
【求助】问几个关于量子力学的基本问题
已经有11人回复
【交流】[转帖]量子物理史话(序),(1),(2),(3),(4),(5)
已经有10人回复
【交流】读关洪的《量子力学的基本概念》禁止灌水违者一次扣50金币
已经有118人回复
【求助】这个怪异公式是如何推导出来的?
已经有9人回复
【活动】各种量子力学计算软件使用经验谈(回复就有奖励,讲述详细的奖励5-10金币)
已经有30人回复
» 抢金币啦!回帖就可以得到:
查看全部散金贴
中国石油大学(华东)吴传德教授团队(国家杰青)2026硕、博招生
+
2
/204
坐标广州,征女友
+
2
/102
香港科技大学(广州)黄加强课题组智能电池方向博士招聘
+
1
/81
同济大学脑机智能团队脑机接口方向招生招聘
+
1
/37
中国科学院深圳先进技术研究院——招聘博士后
+
2
/36
西交利物浦大学招收26年【全奖】博士生1名(空间智能沉浸式手术导航)
+
1
/26
上海工程技术大学张培磊教授团队招收博士生
+
1
/12
澳科大招收2026年秋季药剂学/生物材料方向全奖博士研究生(春节不打烊)
+
1
/11
队友
+
1
/10
意大利华人老师University of Padova-全额奖学金博士
+
1
/9
招收中国CSC或学校资助联培博士生/访问学生-- Tsinghua-A*STAR 2025 Joint Funding
+
1
/8
北京工业大学化生学院青年教师或“青年优秀人才”招聘启事
+
1
/6
化学行业,研发出创新的东西是做成项目给公司吃提成,还是自己搞小作坊倒卖?
+
1
/6
双一流天津工业大学电信学院李鸿强教授招收2026年申请审核制博士3人
+
1
/6
2026年 陕西科技大学 环境学院 招收博士生(化学/材料/环境/生物 背景均可)
+
1
/4
中南大学博士研究生招生启事
+
1
/4
国家“双一流”建设高校-南京林业大学-国家级青年人才团队招聘 2026级博士研究生
+
1
/3
【经验分享】CRISPR基因敲除细胞系构建全流程踩坑指南——从递送方式选择到克隆筛选
+
1
/3
半导体真空质量流量控制器
+
1
/3
2026年博士申请考核+福州大学+管理科学与工程
+
1
/1
1楼
2013-11-21 23:46:24
已阅
回复此楼
关注TA
给TA发消息
送TA红花
TA的回帖
回帖支持 ( 显示支持度最高的前 50 名 )
童生
银虫
(小有名气)
应助: 1
(幼儿园)
金币: 392.6
帖子: 56
在线: 494.6小时
虫号: 1282438
★ ★ ★ ★
小木虫: 金币+0.5, 给个红包,谢谢回帖
华丽的飘过: 金币+2, 3q
2013-11-27 02:19:25
littlesujin: 金币+1
2013-11-28 01:06:47
引用回帖:
10楼
:
Originally posted by
littlesujin
at 2013-11-22 15:30:40
问一个问题。<a| 是表示 |a>的转置共轭?我是说定义的时候说的是<a| 表示 |a>的共轭,一个列向量的共轭表示的是什么?是不是转置共轭的概念只出现在矩阵而非向量中?
...
|a>是列向量,也就是n*1矩阵,转置后就是1*n矩阵,也就是行向量。“列向量的转置共轭”也就是变成行向量后再作共轭。
<a|T|a>是 “ 1*n矩阵 X n*n矩阵 X n*1矩阵 ”(X也表示相乘)。
<a|显然不只是|a>的共轭,否则就不能做上面的乘法。
[
Last edited by 童生 on 2013-11-27 at 11:46
]
赞
一下
(1人)
回复此楼
11楼
2013-11-22 16:01:08
已阅
回复此楼
关注TA
给TA发消息
送TA红花
TA的回帖
racoon01
专家顾问
(著名写手)
专家经验: +213
物理EPI: 25
应助: 212
(大学生)
金币: 24355.2
帖子: 2438
在线: 643.2小时
虫号: 1282452
★ ★ ★ ★ ★ ★
小木虫: 金币+0.5, 给个红包,谢谢回帖
华丽的飘过: 金币+4, 3q
2013-11-27 02:19:33
littlesujin: 金币+1
2013-11-28 01:06:54
引用回帖:
7楼
:
Originally posted by
littlesujin
at 2013-11-22 14:46:04
有个问题,加号不是表示一个矩阵的转置共轭吗?一般用于一个算符T或者向量<a| or |a>上,你这个图1中为什么是这样呢?而且为什么 ( <a|b> )+等于(<a|)+和(|b>
+的点积?
1.jpg
...
前贴含一个笔误,现已经改正。
另外,那个是剑号,不是加号。对于矩阵而言是转置再取复共轭,俗称厄米共厄。但从Hilbert空间角度讲,应把其理解为附图所述。建议你认真体会一下Dirac在他写的那本书里描述。或者别人的书,例如Binney的著作“The physics of quantum mechanics”说的也很明白。
hermitian3.png
赞
一下
(1人)
回复此楼
12楼
2013-11-22 18:47:57
已阅
回复此楼
关注TA
给TA发消息
送TA红花
TA的回帖
普通回帖
littlesujin
至尊木虫
(著名写手)
应助: 1
(幼儿园)
金币: 24041.1
帖子: 2776
在线: 194.8小时
虫号: 439528
这里的T是厄米算符
赞
一下
回复此楼
2楼
2013-11-21 23:47:10
已阅
回复此楼
关注TA
给TA发消息
送TA红花
TA的回帖
littlesujin
至尊木虫
(著名写手)
应助: 1
(幼儿园)
金币: 24041.1
帖子: 2776
在线: 194.8小时
虫号: 439528
高人进来看看
回复此楼
3楼
2013-11-21 23:49:40
已阅
回复此楼
关注TA
给TA发消息
送TA红花
TA的回帖
racoon01
专家顾问
(著名写手)
专家经验: +213
物理EPI: 25
应助: 212
(大学生)
金币: 24355.2
帖子: 2438
在线: 643.2小时
虫号: 1282452
★
小木虫: 金币+0.5, 给个红包,谢谢回帖
你给出的公式,最左边的那个写法是错误的,那样写反映出作者没有掌握Dirac符号的含义及正确的使用方法。算符对于左矢量的作用只能自右向左。
赞
一下
回复此楼
4楼
2013-11-22 00:10:55
已阅
回复此楼
关注TA
给TA发消息
送TA红花
TA的回帖
littlesujin
至尊木虫
(著名写手)
应助: 1
(幼儿园)
金币: 24041.1
帖子: 2776
在线: 194.8小时
虫号: 439528
夕阳西下: 第一个式子本来就不是厄米算符的特点,而是矩阵的性质。
2013-11-22 11:39:11
完整推导是这个、
1.png
赞
一下
回复此楼
5楼
2013-11-22 00:15:36
已阅
回复此楼
关注TA
给TA发消息
送TA红花
TA的回帖
racoon01
专家顾问
(著名写手)
专家经验: +213
物理EPI: 25
应助: 212
(大学生)
金币: 24355.2
帖子: 2438
在线: 643.2小时
虫号: 1282452
★ ★
小木虫: 金币+0.5, 给个红包,谢谢回帖
夕阳西下: <a/b>平均值的求法有些问题。
2013-11-22 11:25:59
littlesujin: 金币+1
2013-11-28 01:07:26
愚认为你给出的原文对于Dirac符号的使用有误解之处。改正如附图。
hermitian1.png
hermitian2.png
赞
一下
回复此楼
6楼
2013-11-22 03:10:31
已阅
回复此楼
关注TA
给TA发消息
送TA红花
TA的回帖
littlesujin
至尊木虫
(著名写手)
应助: 1
(幼儿园)
金币: 24041.1
帖子: 2776
在线: 194.8小时
虫号: 439528
引用回帖:
6楼
:
Originally posted by
racoon01
at 2013-11-22 03:10:31
愚认为你给出的原文对于Dirac符号的使用有误解之处。改正如附图。
hermitian1.png
hermitian2.png
...
有个问题,加号不是表示一个矩阵的转置共轭吗?一般用于一个算符T或者向量<a| or |a>上,你这个图1中为什么是这样呢?而且为什么 ( <a|b> )+等于(<a|)+和(|b>
+的点积?
1.jpg
赞
一下
回复此楼
7楼
2013-11-22 14:46:04
已阅
回复此楼
关注TA
给TA发消息
送TA红花
TA的回帖
bfamq
铁杆木虫
(著名写手)
应助: 184
(高中生)
金币: 6790.9
帖子: 2320
在线: 1029.1小时
虫号: 1621962
厄米算符
[ 发自手机版 http://muchong.com/3g ]
回复此楼
8楼
2013-11-22 14:54:14
已阅
回复此楼
关注TA
给TA发消息
送TA红花
TA的回帖
童生
银虫
(小有名气)
应助: 1
(幼儿园)
金币: 392.6
帖子: 56
在线: 494.6小时
虫号: 1282438
★ ★
小木虫: 金币+0.5, 给个红包,谢谢回帖
littlesujin: 金币+1
2013-11-28 01:07:40
引用回帖:
5楼
:
Originally posted by
littlesujin
at 2013-11-22 00:15:36
完整推导是这个、
1.png
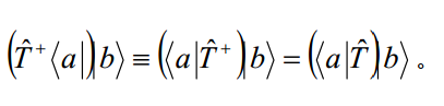
标红线的那个等号是错的,这个等号是“(T+a)+” 的“+”只对a作用,没对T+作用,而且没改变T+和a的顺序,没有遵守前一行“取转置共轭”的规则。所以得到一个很奇怪的结果:T+是矩阵,<a|是1*n矩阵,根本不能按"T+<a|"相乘。
三条横线的那个等号(表示“恒等于”?)也很奇怪,两个矩阵相乘一般是不能调换次序的。
赞
一下
回复此楼
9楼
2013-11-22 15:17:23
已阅
回复此楼
关注TA
给TA发消息
送TA红花
TA的回帖
littlesujin
至尊木虫
(著名写手)
应助: 1
(幼儿园)
金币: 24041.1
帖子: 2776
在线: 194.8小时
虫号: 439528
引用回帖:
9楼
:
Originally posted by
童生
at 2013-11-22 15:17:23
标红线的那个等号是错的,这个等号是“(T+a)+” 的“+”只对a作用,没对T+作用,而且没改变T+和a的顺序,没有遵守前一行“取转置共轭”的规则。所以得到一个很奇怪的结果:T+是矩阵,<a|是1*n矩阵,根本不能按& ...
问一个问题。<a| 是表示 |a>的转置共轭?我是说定义的时候说的是<a| 表示 |a>的共轭,一个列向量的共轭表示的是什么?是不是转置共轭的概念只出现在矩阵而非向量中?
[
Last edited by littlesujin on 2013-11-22 at 15:32
]
赞
一下
回复此楼
10楼
2013-11-22 15:30:40
已阅
回复此楼
关注TA
给TA发消息
送TA红花
TA的回帖
songpengyun
银虫
(小有名气)
应助: 1
(幼儿园)
金币: 303.3
帖子: 52
在线: 192.3小时
虫号: 2352614
★ ★
小木虫: 金币+0.5, 给个红包,谢谢回帖
littlesujin: 金币+1
2013-11-28 01:07:44
引用回帖:
12楼
:
Originally posted by
racoon01
at 2013-11-22 18:47:57
前贴含一个笔误,现已经改正。
另外,那个是剑号,不是加号。对于矩阵而言是转置再取复共轭,俗称厄米共厄。但从Hilbert空间角度讲,应把其理解为附图所述。建议你认真体会一下Dirac在他写的那本书里描述。或者 ...
解释的非常清楚了。算符只能作用于右矢上,只有在定义了厄米共轭算符的概念之后,<a|T这样的符号才有意义,而且只能将其理解为<a|T = {T^|a>}^,其中^代表厄米共轭。所以对于厄米算符 T = T^,有以下推导:
{<a|T} |b> ={T^|a>}^ |b> = {T|a>}^ |b> = {<b|T|a>}* = <a| {T|b>}
lz附件里的推导,从数学的角度,解释得通,但丧失了相应的物理意义。
[
Last edited by songpengyun on 2013-11-24 at 23:06
]
赞
一下
(1人)
回复此楼
13楼
2013-11-24 21:28:10
已阅
回复此楼
关注TA
给TA发消息
送TA红花
TA的回帖
相关版块跳转
数理科学综合
机械
物理
数学
农林
食品
地学
能源
信息科学
土木建筑
航空航天
转基因
我要订阅楼主
littlesujin
的主题更新
13
1/1
返回列表
如果回帖内容含有宣传信息,请如实选中。否则帐号将被全论坛禁言
普通表情
龙
兔
虎
猫
高级回复
(可上传附件)
百度网盘
|
360云盘
|
千易网盘
|
华为网盘
在新窗口页面中打开自己喜欢的网盘网站,将文件上传后,然后将下载链接复制到帖子内容中就可以了。
信息提示
关闭
请填处理意见
关闭
确定