| 查看: 454 | 回复: 0 | ||
[求助]
求大神帮忙求解偏微分方程
|
|
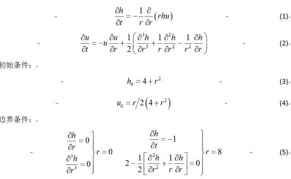
方程形式和计算结果如附件所示,文献里给出的算法是Lax-Wendroff有限差分格式,请哪位大侠指导给出具体的求解过程,比如如何做差分迭代格式。 还有就是r=8处的边界条件,应该怎么应用呢?我现在用第一个条件算h在r=8处下一时刻的值,而第二个条件用来离散算r=8外的点n+1和n+2,从而用来计算h的三阶偏导数,不知道这样处理对不对。 差分方程01.jpg 差分方程04.jpg |
» 猜你喜欢
一志愿上海交大生物与医药专硕324分,求调剂
已经有4人回复
一志愿重庆大学085700资源与环境,总分308求调剂
已经有4人回复
0854电子信息求调剂 324
已经有3人回复
303求调剂
已经有3人回复
336求调剂
已经有3人回复
306求调剂
已经有9人回复
工科0856求调剂
已经有4人回复
工科材料085601 279求调剂
已经有10人回复
081700 调剂 267分
已经有4人回复
276求调剂。有半年电池和半年高分子实习经历
已经有9人回复
找到一些相关的精华帖子,希望有用哦~
求数学大神帮忙看看这个积分!
已经有3人回复
哪位大神给指导下如果求解一个偏微分方程组
已经有11人回复
有木有虫子学过2+1维偏微分方程求解的啊急求!!!谢谢了!
已经有3人回复
四阶非线性偏微分方程组求解
已经有6人回复
求C语言算法 求自然指数方程的根
已经有4人回复
求解关于机械考研学校选择求大神指点啊
已经有8人回复
matlab的m文件关联问题
已经有17人回复
关于非线性规划的求解算法的问题,求大神帮助
已经有7人回复
抛物型偏微分方程的数值解求解问题,谢谢!
已经有14人回复
MATLAB微分方程参数拟合问题,求大神
已经有7人回复
请教用matlab求解一个非线性偏微分方程组的数值解
已经有8人回复
求助 一阶线性偏微分方程 拉格朗日法求解
已经有6人回复
三元偏微分方程求解
已经有4人回复
椭圆形偏微分方程标准化后该如何解?
已经有6人回复
Matlab求解偏微分方程组
已经有22人回复
【求助】用pdepe求解偏微分方程
已经有10人回复
【求助】MATLAB 有限差分法(FDM)求解偏微分方程
已经有22人回复
【求助】如何求解下列偏微分方程
已经有13人回复
【求助】matlab怎么求解偏微分方程组啊,先谢谢了
已经有13人回复
【求助】有限元法求解二阶偏微分方程组
已经有6人回复
科研从小木虫开始,人人为我,我为人人













回复此楼
点击这里搜索更多相关资源
5