±±¾©Ê¯ÓÍ»¯¹¤Ñ§Ôº2026ÄêÑо¿ÉúÕÐÉú½ÓÊÕµ÷¼Á¹«¸æ
²é¿´: 1061  |  »Ø¸´: 3

wbraver

½ð³æ (³õÈëÎÄ̳)

[ÇóÖú] ÇóÊýѧ´óÉñ°ïæ¿´¿´Õâ¸ö»ý·Ö£¡

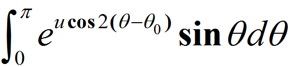
Õâ¸ö»ý·ÖÄÜ»ý³öÀ´²»£¿Çë´óÉñ²»Áߴͽ̣¡Ð»Ð»£¡
ÇóÊýѧ´óÉñ°ïæ¿´¿´Õâ¸ö»ý·Ö£¡
jifen.png

[ Last edited by wbraver on 2013-10-16 at 12:41 ]
»Ø¸´´ËÂ¥

» ²ÂÄãϲ»¶

» ±¾Ö÷ÌâÏà¹Ø¼ÛÖµÌùÍÆ¼ö£¬¶ÔÄúͬÑùÓаïÖú:

ÒÑÔÄ   »Ø¸´´ËÂ¥   ¹Ø×¢TA ¸øTA·¢ÏûÏ¢ ËÍTAºì»¨ TAµÄ»ØÌû

llsywan

гæ (³õÈëÎÄ̳)

¡¾´ð°¸¡¿Ó¦Öú»ØÌû

¸Ðл²ÎÓ룬ӦÖúÖ¸Êý +1
ÄÚÈÝÒÑɾ³ý
2Â¥2013-10-16 15:20:38
ÒÑÔÄ   »Ø¸´´ËÂ¥   ¹Ø×¢TA ¸øTA·¢ÏûÏ¢ ËÍTAºì»¨ TAµÄ»ØÌû

feixiaolin

ÈÙÓþ°æÖ÷ (ÎÄ̳¾«Ó¢)

ÓÅÐã°æÖ÷

ȡcos[2(theta-theta0)]=2*[cos(theta-theta0)]^2-1

sin(theta)=sin[(theta-theta0) + theta0]=
cos(theta-theta0)*sin(theta0) + sin(theta-theta0)*cos(theta0)

ÔòÔ­»ý·Öת»¯Îª exp(k*r^2)¶ÔrµÄ»ý·Ö£»»òÕßexp(k*r^2)*r¶Ôr£¬¾ÍºÃ°ìÁË¡£
3Â¥2013-10-16 15:49:33
ÒÑÔÄ   »Ø¸´´ËÂ¥   ¹Ø×¢TA ¸øTA·¢ÏûÏ¢ ËÍTAºì»¨ TAµÄ»ØÌû

llsywan

гæ (³õÈëÎÄ̳)

ÒýÓûØÌû:
3Â¥: Originally posted by feixiaolin at 2013-10-16 15:49:33
ȡcos=2*^2-1

sin(theta)=sin=
cos(theta-theta0)*sin(theta0) + sin(theta-theta0)*cos(theta0)

ÔòÔ­»ý·Öת»¯Îª exp(k*r^2)¶ÔrµÄ»ý·Ö£»»òÕßexp(k*r^2)*r¶Ôr£¬¾ÍºÃ°ìÁË¡£...

Õâ¸ö»ý·Ö»ýÍêÃ²ËÆÒªÓõ½erfº¯Êý¡£
4Â¥2013-10-16 16:16:21
ÒÑÔÄ   »Ø¸´´ËÂ¥   ¹Ø×¢TA ¸øTA·¢ÏûÏ¢ ËÍTAºì»¨ TAµÄ»ØÌû
Ïà¹Ø°æ¿éÌø×ª ÎÒÒª¶©ÔÄÂ¥Ö÷ wbraver µÄÖ÷Ìâ¸üÐÂ
×î¾ßÈËÆøÈÈÌûÍÆ¼ö [²é¿´È«²¿] ×÷Õß »Ø/¿´ ×îºó·¢±í
[¿¼ÑÐ] ÉúÎïÓëÒ½Ò©Çóµ÷¼Á +5 heguanhua 2026-04-05 6/300 2026-04-05 22:58 by Hdyxbekcb
[¿¼ÑÐ] Çóµ÷¼Á +7 ÕÅzic 2026-04-05 8/400 2026-04-05 22:57 by Hdyxbekcb
[¿¼ÑÐ] 348Çóµ÷¼Á +3 ³µÀå×Ózzz 2026-04-05 3/150 2026-04-05 20:30 by à£à£à£0119
[¿¼ÑÐ] ¹¤¿Æ08-»úеר˶-Çóµ÷¼Á +3 À×Å··ÉÌß 2026-04-02 3/150 2026-04-05 18:49 by À¶ÔÆË¼Óê
[¿¼ÑÐ] 298Çóµ÷¼Á +7 manman511 2026-04-05 7/350 2026-04-05 10:29 by ÌÆãå¶ù
[¿¼ÑÐ] 333Çóµ÷¼Á +12 wfh030413@ 2026-04-03 13/650 2026-04-04 21:02 by jj987
[¿¼ÑÐ] 22408Çóµ÷¼Á 354·Ö ¿É¿çרҵ +3 hannnnnnn 2026-04-04 3/150 2026-04-04 14:35 by ÍÁľ˶ʿÕÐÉú
[¿¼ÑÐ] 070300Ò»Ö¾Ô¸211£¬312·ÖÇóµ÷¼ÁԺУ +16 С»ÆÑ¼±¦ 2026-03-30 16/800 2026-04-03 19:53 by lijunpoly
[¿¼ÑÐ] Ò»Ö¾Ô¸Äϲý´óѧ324Çóµ÷¼Á +13 hanamiko 2026-04-01 13/650 2026-04-03 18:30 by lsÁõ˧
[»ù½ðÉêÇë] ÇëÎʹ²Í¬Í¨Ñ¶ºÍ¹²Í¬Ò»×÷µÄÈϿɶÈÎÊÌâ 10+4 psa1234 2026-04-01 10/500 2026-04-03 11:08 by Kittylucky
[¿¼ÑÐ] ר˶ 351 086100 Ò²ÊÇ¿¼µÄ²Ä¿Æ»ù ±¾¿ÆÒ²ÊDzÄÁÏ +8 202451007219 2026-04-02 8/400 2026-04-03 09:50 by À¶ÔÆË¼Óê
[¿¼ÑÐ] Ò»Ö¾Ô¸Î人Àí¹¤0856£¬³õÊÔ334 +3 26¿¼ÑвÄÁÏ 2026-04-02 3/150 2026-04-02 21:22 by dongzh2009
[¿¼ÑÐ] 362Çóµ÷¼Á +14 Î÷ÄϽ»²ÄÁÏר˶3 2026-03-31 14/700 2026-04-02 17:50 by yunlongyang
[¿¼ÑÐ] 285Çóµ÷¼Á +14 AZMK 2026-04-02 14/700 2026-04-02 15:54 by ÉϾÅÌìÀ¿Ô£¨ºÃÔ
[¿¼ÑÐ] Ò»Ö¾Ô¸±±¾©¿Æ¼¼´óѧ085601²ÄÁϹ¤³ÌÓ¢Ò»Êý¶þ³õÊÔ×Ü·Ö335Çóµ÷¼Á +8 Ë«ÂíβƦÀϰå2 2026-04-02 9/450 2026-04-02 14:45 by 5896
[¿¼ÑÐ] 275ѧ˶081000·þ´Óµ÷¼Áµ½ÆäËûרҵ£¬±£²»×¡±¾×¨ÒµÁË +7 һֻССˮţ 2026-04-02 8/400 2026-04-02 14:23 by alice-2022
[¿¼ÑÐ] ²ÄÁÏרҵÇóµ÷¼Á +10 ÔÂÔÂÄñľ 2026-04-01 10/500 2026-04-02 12:57 by wxiongid
[¿¼ÑÐ] ²ÄÁϵ÷¼Á +11 Ò»ÑùYWY 2026-03-31 11/550 2026-04-01 22:25 by zhouyuwinner
[¿¼ÑÐ] ²ÄÁÏÓ뻯¹¤£¨0856£©304ÇóBÇøµ÷¼Á +8 Çñgl 2026-03-30 16/800 2026-04-01 17:58 by Çñgl
[¿¼ÑÐ] 288×ÊÔ´Óë»·¾³×¨Ë¶Çóµ÷¼Á£¬²»ÏÞרҵ£¬ÓÐѧÉϾÍÐÐ +25 lllllos 2026-03-30 26/1300 2026-04-01 09:52 by Ò»Ö»ºÃ¹û×Ó?
ÐÅÏ¢Ìáʾ
ÇëÌî´¦ÀíÒâ¼û