| 查看: 1912 | 回复: 11 | ||||
[求助]
有关拟合方程方面的问题,求大神帮忙
|
|
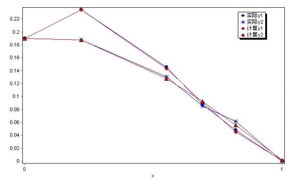
现在有几组数据分别为: x 0.22 0.55 0.69 0.82 1 y1 0.234 0.1455 0.0873 0.0477 0 y2 0.188 0.1307 0.0853 0.0617 0 要分别求出这两条曲线的方程,还有一个条件要满足就是当x=0时,y1=y2. 另外这两个方程最好不要是多项式。求帮忙,感激不尽。 还有一组数据,要求同上 x 0.2187 0.41 0.547 0.683 0.82 1 y1 0.744 0.632 0.544 0.462 0.374 0 y2 0.266 0.194 0.159 0.125 0.087 0 谢大神帮忙啊 |
» 猜你喜欢
0703求调剂383分
已经有9人回复
求调剂
已经有8人回复
化学调剂求助
已经有7人回复
一志愿哈尔滨工业大学085600英一数二337分求调剂
已经有12人回复
085600,320分求调剂
已经有16人回复
一志愿211,化学学硕,310分,本科重点双非,求调剂
已经有12人回复
0703化学调剂325分
已经有10人回复
085600,321分求调剂
已经有12人回复
化学357分,考研调剂
已经有12人回复
一志愿南昌大学,085600,344分求调剂
已经有8人回复
» 本主题相关价值贴推荐,对您同样有帮助:
关于吸附等温方程拟合问题
已经有10人回复
关于matlab进行傅里叶变换和逆变换的程序,求大神指导!
已经有9人回复
求大家帮帮忙看看matlab拟合动力学方程的问题,已经走投无路了,求大家帮帮忙啊!
已经有19人回复
微分方程组参数拟合的问题(多参数动力系统参数估计)
已经有11人回复
MATLAB微分方程参数拟合问题,求大神
已经有7人回复
关于等效电路拟合 求助大神 老神
已经有10人回复
小妹菜鸟一枚,请教大神帮忙看我的数据可以拟合成什么样的方程,多谢
已经有6人回复
关于拟合:同一个方程,非线性拟合与转换后线性拟合
已经有8人回复
求助 用matlab拟合三元线性回归方程及分析
已经有9人回复
请问matlab拟合二元方程的问题
已经有3人回复
origin8.0拟合方程中参数怎么求
已经有5人回复
求助 用Oringin拟合转状态方程
已经有6人回复
大家看看我的excell拟合方程,怎么能合理的解释相关性呢?
已经有8人回复
matlab 求指点 动力学方程拟合过程中导数的获取
已经有10人回复
求教origin拟合简单的渗流方程(又称逾渗方程),做复合材料的应该会遇到吧
已经有20人回复
吸附的动力学方程拟合
已经有18人回复
【求助】拟合动力学方程求助
已经有13人回复
【求助】多元方程组求解及拟合
已经有9人回复
【求助】E-V曲线晶体状态方程拟合问题
已经有8人回复
求助Origin8.0拟合方程
已经有6人回复
【原创】elk中的状态方程拟合工具eos
已经有128人回复
2楼2013-09-13 21:15:50
判官~三爷
木虫 (小有名气)
- 应助: 4 (幼儿园)
- 金币: 1624.6
- 帖子: 53
- 在线: 33.6小时
- 虫号: 2494633
- 注册: 2013-06-03
- 性别: GG
- 专业: 计算数学与科学工程计算
3楼2013-09-13 23:20:17
4楼2013-09-14 08:45:39
5楼2013-09-14 16:34:35
6楼2013-09-15 09:54:09
feixiaolin
荣誉版主 (文坛精英)
-

专家经验: +518 - 应助: 942 (博后)
- 贵宾: 1.275
- 金币: 3880
- 散金: 58785
- 红花: 532
- 沙发: 11
- 帖子: 24215
- 在线: 2601.8小时
- 虫号: 2139575
- 注册: 2012-11-21
- 专业: 光学信息获取与处理
- 管辖: 数学
【答案】应助回帖
★ ★ ★ ★ ★ ★ ★ ★ ★ ★ ★ ★ ★ ★ ★ ★ ★ ★ ★ ★ ★ ★ ★ ★ ★ ★ ★ ★ ★ ★ ★ ★ ★ ★ ★ ★ ★ ★ ★ ★
感谢参与,应助指数 +1
习惯萌萌: 金币+40, ★★★很有帮助, 谢谢你了,对我帮助很大啊 2013-09-16 09:14:32
感谢参与,应助指数 +1
习惯萌萌: 金币+40, ★★★很有帮助, 谢谢你了,对我帮助很大啊 2013-09-16 09:14:32
|
50 个金币确实比较多了。 但是,500个金币都没法完成你的要求【还有一个条件要满足就是当x=0时,y1=y2; 另外,这两个方程最好不要是多项式】。 图xianxing.jpg,erci..jpg分别给出了线性、二次拟合下的曲线,明显不满足当x=0时,y1=y2的要求。 个人感觉: 你的拟合方程大约是 y=K* x*exp(ax^2+bx+c)+d 的类型。 如果你高兴,分我10个金币,其他40个金币让别人挣了。 |
» 本帖附件资源列表
-
欢迎监督和反馈:小木虫仅提供交流平台,不对该内容负责。
本内容由用户自主发布,如果其内容涉及到知识产权问题,其责任在于用户本人,如对版权有异议,请联系邮箱:xiaomuchong@tal.com - 附件 1 : xianxing.JPG
- 附件 2 : erci..JPG
2013-09-15 16:13:17, 30.72 K
2013-09-15 16:13:35, 32.86 K
7楼2013-09-15 16:25:53
dingd
铁杆木虫 (职业作家)
- 应助: 1641 (讲师)
- 金币: 15037.3
- 散金: 101
- 红花: 234
- 帖子: 3410
- 在线: 1223.7小时
- 虫号: 291104
- 注册: 2006-10-28
8楼2013-09-16 09:40:56
9楼2013-09-16 14:51:33
dingd
铁杆木虫 (职业作家)
- 应助: 1641 (讲师)
- 金币: 15037.3
- 散金: 101
- 红花: 234
- 帖子: 3410
- 在线: 1223.7小时
- 虫号: 291104
- 注册: 2006-10-28
10楼2013-09-16 17:19:46














回复此楼
习惯萌萌