24小时热门版块排行榜    

北京石油化工学院2026年研究生招生接收调剂公告
查看: 2007  |  回复: 4

whk430

新虫 (初入文坛)


[交流] Matlab解方程结果不是数字

求助啊,代码应该没有写错,能是函数用错了,但是又不知道该用哪个。

% X factor for valve in underlap region
% underlap region 0.0045mm
xs=0.375;
Av1=7.938*pi*xs;
Av2=7.938*pi*(0.375-xs);
r=11.43/5.8;
x=solve('Av1*(1+r^3-x)^0.5-Av2*x^0.5-r*(Av1*(x*r)^0.5-Av2*(1+r^3-x*r)^0.5)');

手动求解应该是x=1

但是Matlab给的却是

Warning: The solutions are parametrized by the symbols:
z1 = RootOf(20,............... z)

> In solve at 190
  In Xfactorunderlap at 7

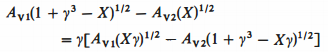
这种情况应该怎么办呢?图片里面是要解的方程。
Matlab解方程结果不是数字
1.png

[ Last edited by whk430 on 2013-9-30 at 23:20 ]
回复此楼

» 猜你喜欢

» 本主题相关价值贴推荐,对您同样有帮助:

» 抢金币啦!回帖就可以得到:

查看全部散金贴

已阅   回复此楼   关注TA 给TA发消息 送TA红花 TA的回帖

WWJ1991

木虫 (正式写手)


★ ★ ★ ★ ★
小木虫: 金币+0.5, 给个红包,谢谢回帖
xiegangmai: 金币+2, 谢谢参与! 2013-09-30 20:56:29
whk430: 金币+2, 感谢回答~~ 2013-09-30 23:59:17
syms x
xs=0.375;
Av1=7.938*pi*xs;
Av2=7.938*pi*(0.375-xs);
r=11.43/5.8;
ss=subs(Av1*(1+r^3-x)^0.5-Av2*x^0.5-r*(Av1*(x*r)^0.5-Av2*(1+r^3-x*r)^0.5));
x=solve(ss,0)
2楼2013-09-30 16:37:41
已阅   回复此楼   关注TA 给TA发消息 送TA红花 TA的回帖

whk430

新虫 (初入文坛)


引用回帖:
2楼: Originally posted by WWJ1991 at 2013-09-30 16:37:41
syms x
xs=0.375;
Av1=7.938*pi*xs;
Av2=7.938*pi*(0.375-xs);
r=11.43/5.8;
ss=subs(Av1*(1+r^3-x)^0.5-Av2*x^0.5-r*(Av1*(x*r)^0.5-Av2*(1+r^3-x*r)^0.5));
x=solve(ss,0)

我发现了一个非常有趣的现象,如果使用solve函数,并且使xs等于别的值,比如0.1,可以得到4个答案。但是反带回去的话,会发现,只有其中一个值是正确的。这个原因是什么呢?是否和matlab的算法有关系呢?
3楼2013-09-30 23:57:27
已阅   回复此楼   关注TA 给TA发消息 送TA红花 TA的回帖

WWJ1991

木虫 (正式写手)


★ ★ ★ ★
小木虫: 金币+0.5, 给个红包,谢谢回帖
whk430: 金币+3 2013-10-01 20:00:07
%用fsolve函数求解。
xs=0.1;
Av1=7.938*pi*xs;
Av2=7.938*pi*(0.375-xs);
r=11.43/5.8;
ss=@(x)(subs(Av1*(1+r^3-x)^0.5-Av2*x^0.5-r*(Av1*(x*r)^0.5-Av2*(1+r^3-x*r)^0.5)));
x=fsolve(ss,0)
4楼2013-10-01 14:51:33
已阅   回复此楼   关注TA 给TA发消息 送TA红花 TA的回帖

whk430

新虫 (初入文坛)


引用回帖:
4楼: Originally posted by WWJ1991 at 2013-10-01 14:51:33
%用fsolve函数求解。
xs=0.1;
Av1=7.938*pi*xs;
Av2=7.938*pi*(0.375-xs);
r=11.43/5.8;
ss=@(x)(subs(Av1*(1+r^3-x)^0.5-Av2*x^0.5-r*(Av1*(x*r)^0.5-Av2*(1+r^3-x*r)^0.5)));
x=fsolve(ss,0)

fsolve确实可以解决这个问题~实在感谢,帮了大忙。就是ss的那个方程需要把subs删除,不然运行会出错误,提示Error using fsolve (line 257)
FSOLVE requires all values returned by user functions to be of data type double.
5楼2013-10-01 19:59:15
已阅   回复此楼   关注TA 给TA发消息 送TA红花 TA的回帖
相关版块跳转 我要订阅楼主 whk430 的主题更新
普通表情 高级回复 (可上传附件)
最具人气热帖推荐 [查看全部] 作者 回/看 最后发表
[考研] 材料专硕322分 +10 哈哈哈吼吼吼哈 2026-04-04 10/500 2026-04-05 21:22 by 学员8dgXkO
[考研] 301求调剂 +3 细胞相关蛋白 2026-04-03 3/150 2026-04-05 21:07 by 学员8dgXkO
[考研] 283求调剂 +5 baiiyu 2026-04-05 6/300 2026-04-05 20:35 by 啵啵啵0119
[考研] 081200-11408-276学硕求调剂 +4 崔wj 2026-04-05 4/200 2026-04-05 20:29 by 啵啵啵0119
[考研] 本科211,293分请求调剂 +8 莲菜就是藕吧 2026-04-03 9/450 2026-04-05 19:12 by 蓝云思雨
[考研] 326求调剂 +3 顾若浮生 2026-04-05 3/150 2026-04-05 18:32 by 蓝云思雨
[考研] 359求调剂22408 +3 123456789qw 2026-03-31 3/150 2026-04-05 10:09 by zhq0425
[考研] 083200 333求调剂 +3 十二!! 2026-04-04 3/150 2026-04-05 08:28 by barlinike
[考研] 考研调剂 +11 小sun要好运 2026-04-04 11/550 2026-04-05 08:02 by qlm5820
[考研] 考研调剂 +6 15615482637 2026-04-04 6/300 2026-04-04 22:43 by yu221
[考研] 278求调剂 +14 范婷娜 2026-04-04 15/750 2026-04-04 22:15 by lqwchd
[考研] 277工科求调剂 +7 1915668 2026-04-04 7/350 2026-04-04 17:21 by 啊俊!
[考研] 315分 085602 求调剂 +15 26考研上岸版26 2026-04-02 15/750 2026-04-03 12:45 by xingguangj
[考研] 275学硕081000服从调剂到其他专业,保不住本专业了 +7 一只小小水牛 2026-04-02 8/400 2026-04-02 14:23 by alice-2022
[考研] 考研调剂 +12 Amber00 2026-03-31 12/600 2026-04-02 09:04 by sanrepian
[考研] 0855机械初试280求调剂 +3 kazenotori 2026-03-31 3/150 2026-04-01 10:08 by JourneyLucky
[考研] 一志愿 南京航空航天大学 ,080500材料科学与工程学硕 +10 @taotao 2026-03-31 11/550 2026-04-01 09:43 by xiayizhi
[考研] 085601 329分调剂 +6 yzsa12 2026-03-31 6/300 2026-03-31 15:23 by yanflower7133
[考研] 求调剂 +8 11ggg 2026-03-30 8/400 2026-03-31 13:56 by nanaliuyun
[考研] 083000环境科学与工程调剂,总分281 +4 橙子(胜意) 2026-03-30 4/200 2026-03-31 00:44 by Linzejun
信息提示
请填处理意见