24小时热门版块排行榜    

Znn3bq.jpeg
查看: 2228  |  回复: 13

liyanshun

铁杆木虫 (正式写手)


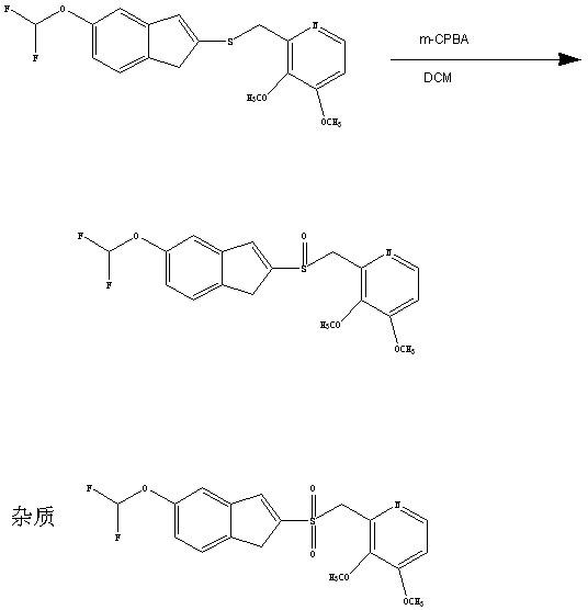
[交流] 泮托拉唑杂质超标

泮托拉唑硫醚以m-CPBA氧化后成盐,杂质砜总是很难除去,尝试了丙酮等溶剂重结晶,效果很差,各位同仁给点提示
泮托拉唑杂质超标
untitled.png
回复此楼

» 收录本帖的淘帖专辑推荐

原料药及中间体生产工艺

» 猜你喜欢

» 本主题相关价值贴推荐,对您同样有帮助:

» 抢金币啦!回帖就可以得到:

查看全部散金贴

已阅   回复此楼   关注TA 给TA发消息 送TA红花 TA的回帖
回帖支持 ( 显示支持度最高的前 50 名 )

金鑫鑫

铁杆木虫 (职业作家)


★ ★
小木虫: 金币+0.5, 给个红包,谢谢回帖
liyanshun: 金币+1 2013-09-04 15:47:58
这个产品用mcpba做成本较高,工业化生产都是双氧水的
10楼2013-09-02 13:01:26
已阅   回复此楼   关注TA 给TA发消息 送TA红花 TA的回帖
普通回帖

yi_wang

铁杆木虫 (著名写手)



小木虫: 金币+0.5, 给个红包,谢谢回帖
这个氧化剂好么? 换个其他的试试吧。。。
2楼2013-08-31 09:20:54
已阅   回复此楼   关注TA 给TA发消息 送TA红花 TA的回帖

alps_1985

铜虫 (小有名气)


★ ★ ★ ★ ★ ★ ★ ★
小木虫: 金币+0.5, 给个红包,谢谢回帖
liyanshun(河边的芦苇代发): 金币+1, 感谢回帖交流 2013-08-31 19:17:58
liyanshun: 金币+1 2013-09-02 10:06:18
liyanshun: 金币+5 2013-09-04 15:48:09
杂质砜相对于起始原料硫醚比较难除去,所以主要通过反应过程来控制比较合适,我们采用过氧化氢异丙苯氧化,剩余5%到10%硫醚时候就停止反应,此时砜杂质相对较小,继续反应,砜持续增大,后面不易分离纯化。虽然收率相对较低一点,但硫醚可以很好除去,砜杂质也能较好控制。
3楼2013-08-31 11:04:01
已阅   回复此楼   关注TA 给TA发消息 送TA红花 TA的回帖

√魚@com♂

铜虫 (小有名气)



小木虫: 金币+0.5, 给个红包,谢谢回帖
我也觉得这个氧化剂一般可以把你的那个亚砜氧化成砜了,还是换一个其他的氧化剂吧
4楼2013-08-31 19:57:27
已阅   回复此楼   关注TA 给TA发消息 送TA红花 TA的回帖

wupingtcm

铜虫 (著名写手)


★ ★ ★
小木虫: 金币+0.5, 给个红包,谢谢回帖
liyanshun: 金币+2 2013-09-04 15:48:20
有文献提及过,用这个氧化剂效果很不好,而且偏贵。后来研究基本上都是用过氧化氢为氧化剂。

[ 发自小木虫客户端 ]
5楼2013-08-31 22:02:12
已阅   回复此楼   关注TA 给TA发消息 送TA红花 TA的回帖

liyanshun

铁杆木虫 (正式写手)


引用回帖:
4楼: Originally posted by √魚@com♂ at 2013-08-31 19:57:27
我也觉得这个氧化剂一般可以把你的那个亚砜氧化成砜了,还是换一个其他的氧化剂吧

原研文献用的这个 不想随便改 只能控制条件 降低杂质

[ 发自手机版 http://muchong.com/3g ]
7楼2013-08-31 22:33:22
已阅   回复此楼   关注TA 给TA发消息 送TA红花 TA的回帖

liyanshun

铁杆木虫 (正式写手)


引用回帖:
3楼: Originally posted by alps_1985 at 2013-08-31 11:04:01
杂质砜相对于起始原料硫醚比较难除去,所以主要通过反应过程来控制比较合适,我们采用过氧化氢异丙苯氧化,剩余5%到10%硫醚时候就停止反应,此时砜杂质相对较小,继续反应,砜持续增大,后面不易分离纯化。虽然收率 ...

大约反应多长时间就停止呢
8楼2013-09-02 10:06:42
已阅   回复此楼   关注TA 给TA发消息 送TA红花 TA的回帖

hejn9

银虫 (正式写手)


9楼2013-09-02 10:09:32
已阅   回复此楼   关注TA 给TA发消息 送TA红花 TA的回帖

alps_1985

铜虫 (小有名气)


★ ★
小木虫: 金币+0.5, 给个红包,谢谢回帖
liyanshun: 金币+1 2013-09-04 15:48:47
引用回帖:
8楼: Originally posted by liyanshun at 2013-09-02 10:06:42
大约反应多长时间就停止呢...

要加入钛酸四异丙脂和DIPEA,10到20℃反应2h,过程TLC监测。可以看看文献。
11楼2013-09-04 11:21:50
已阅   回复此楼   关注TA 给TA发消息 送TA红花 TA的回帖

liyanshun

铁杆木虫 (正式写手)


引用回帖:
3楼: Originally posted by alps_1985 at 2013-08-31 11:04:01
杂质砜相对于起始原料硫醚比较难除去,所以主要通过反应过程来控制比较合适,我们采用过氧化氢异丙苯氧化,剩余5%到10%硫醚时候就停止反应,此时砜杂质相对较小,继续反应,砜持续增大,后面不易分离纯化。虽然收率 ...

用啥溶剂重结晶能去除砜效果好一点呢?尝试过很多溶剂 效果不佳
12楼2013-12-29 21:52:56
已阅   回复此楼   关注TA 给TA发消息 送TA红花 TA的回帖

蝶殇

木虫 (小有名气)



小木虫: 金币+0.5, 给个红包,谢谢回帖
引用回帖:
12楼: Originally posted by liyanshun at 2013-12-29 21:52:56
用啥溶剂重结晶能去除砜效果好一点呢?尝试过很多溶剂 效果不佳...

甲醇丙酮的混合溶剂
13楼2014-01-18 15:01:48
已阅   回复此楼   关注TA 给TA发消息 送TA红花 TA的回帖

chem_sq

木虫 (著名写手)


试试酸碱重结晶
14楼2014-01-18 22:18:50
已阅   回复此楼   关注TA 给TA发消息 送TA红花 TA的回帖
简单回复
Smilelzx6楼
2013-08-31 22:18   回复  
相关版块跳转 我要订阅楼主 liyanshun 的主题更新
普通表情 高级回复 (可上传附件)
最具人气热帖推荐 [查看全部] 作者 回/看 最后发表
[考研] 070300化学学硕311分求调剂 +17 梁富贵险中求 2026-04-04 19/950 2026-04-11 00:29 by wangjihu
[考研] 还有化工二轮调剂的学校吗 5+13 化工人999 2026-04-09 47/2350 2026-04-11 00:20 by 骑牛渡寒江
[考研] 求调剂 +9 张番茄不炒蛋 2026-04-10 10/500 2026-04-10 22:07 by 小小虫瓜
[考研] 295分求调剂 +6 ?要上岸? 2026-04-10 6/300 2026-04-10 21:13 by chemisry
[考研] 263能源动力专硕求调剂 +4 加大号饭盒袋 2026-04-10 4/200 2026-04-10 20:52 by gong120082
[考研] 346,工科0854求调剂,专硕 +5 moser233 2026-04-10 6/300 2026-04-10 18:04 by 周邵阳
[考研] 307求调剂 +8 tzq94092 2026-04-10 8/400 2026-04-10 17:33 by 286640313
[考研] 一志愿 江南大学 085602 化工专硕 338分求调剂 +16 路痴小琪 2026-04-05 16/800 2026-04-10 08:08 by kangsm
[考研] 复试调剂,一志愿郑州大学材料与化工289分 +31 硕星赴 2026-04-08 31/1550 2026-04-09 16:54 by Delta2012
[考研] 085600,321分求调剂 +19 大馋小子 2026-04-04 20/1000 2026-04-09 14:12 by Delta2012
[考研] 材料307分求大佬组收留 +17 Hll胡 2026-04-07 17/850 2026-04-09 10:53 by liuhuiying09
[考研] 283电子信息求调剂 +4 三石WL 2026-04-08 4/200 2026-04-09 10:21 by wp06
[考博] 材料方向考博,求推荐 +3 言语aaa 2026-04-05 4/200 2026-04-08 22:22 by nxgogo
[考研] 材料与化工专硕306分找合适调剂 +27 沧海轻舟e 2026-04-06 28/1400 2026-04-08 22:06 by wdyheheeh
[考研] 274求调剂求调剂 +10 Jachenbingoo 2026-04-06 13/650 2026-04-08 14:25 by zhq0425
[考研] 农学,求调剂,314分 +4 访客记录可爱 2026-04-04 4/200 2026-04-07 21:07 by 等岸
[考研] 307求调剂 +3 所念及所望 2026-04-06 3/150 2026-04-06 17:30 by 土木硕士招生
[考研] 0855求调剂材料 +11 红桃灼灼 2026-04-04 12/600 2026-04-06 10:26 by 蓝云思雨
[考研] 一志愿上海海洋大学083200食品学硕,求调剂,接受其他专业083200 +4 what张 2026-04-04 5/250 2026-04-05 14:07 by chw1980_0
[考研] 男生,一志愿沪9生物学071000,初试308求调剂 +3 刘墨墨 2026-04-04 3/150 2026-04-05 08:26 by barlinike
信息提示
请填处理意见