| 查看: 1535 | 回复: 13 | ||
[求助]
求解一个三角函数的方程
|
|
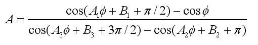
各位高手,本人要求解一个关于三角函数的方程,一时不知道从何下手:方程在上传的图片中,其中,A,B都为已知,求fai。我是不知道怎么把fai从cos里弄出来,一时有些棘手,请各位高手给点意见。谢谢大家。 a.jpg |
» 猜你喜欢
求调剂
已经有3人回复
265求调剂
已经有4人回复
085700资源与环境308求调剂
已经有6人回复
一志愿吉林大学材料学硕321求调剂
已经有12人回复
286分人工智能专业请求调剂愿意跨考!
已经有3人回复
329求调剂
已经有5人回复
申请回稿延期一个月,编辑同意了。但系统上的时间没变,给编辑又写邮件了,没回复
已经有4人回复
材料学硕318求调剂
已经有5人回复
一志愿中国海洋大学,生物学,301分,求调剂
已经有6人回复
081700化工学硕调剂
已经有3人回复
» 本主题相关价值贴推荐,对您同样有帮助:
含三角函数的二次方程求解
已经有10人回复
求三角函数的最大值···
已经有7人回复
关于弓形面积求圆半径
已经有9人回复
急切求助!一个mathematica求解一个简单一元非线性方程的问题
已经有4人回复
哪位大神来指导下数字信号处理怎么学,感激不尽
已经有30人回复
求助matlab求解三角函数方程
已经有9人回复
幂函数方程 求解
已经有9人回复
毕设,数学相关专业,求指导!
已经有18人回复
【求助】帮忙求解一个一元四次方程
已经有9人回复
求matlab求解一个方程组的问题
已经有6人回复
关于三角函数的求解问题了(利用基础的三角函数感觉太复杂了!望帮忙!!)
已经有3人回复
MATLAB求解一个比较复杂的方程
已经有14人回复
【求助】向各位大侠求助matlab求解微分方程组遇到的一个问题
已经有21人回复
【求助】用mathematica 5.0求解一个非线性方程组失败,特发帖求助!
已经有5人回复
【求助】请问怎么求函数方程的函数表达式?
已经有11人回复
guoxiaomayi
新虫 (小有名气)
- 应助: 14 (小学生)
- 金币: 386.5
- 散金: 19
- 红花: 2
- 帖子: 169
- 在线: 53小时
- 虫号: 1739903
- 注册: 2012-04-06
- 专业: 环境工程
2楼2013-04-08 14:44:16
3楼2013-04-08 18:54:59
lljianzhu
木虫 (著名写手)
- 应助: 15 (小学生)
- 金币: 7839.6
- 帖子: 1093
- 在线: 251.8小时
- 虫号: 2085712
- 注册: 2012-10-25
- 性别: GG
- 专业: 机构学与机器人
4楼2013-04-08 19:38:34
guoxiaomayi
新虫 (小有名气)
- 应助: 14 (小学生)
- 金币: 386.5
- 散金: 19
- 红花: 2
- 帖子: 169
- 在线: 53小时
- 虫号: 1739903
- 注册: 2012-04-06
- 专业: 环境工程
5楼2013-04-08 19:56:03
6楼2013-04-09 07:38:13
7楼2013-04-09 07:38:37
lljianzhu
木虫 (著名写手)
- 应助: 15 (小学生)
- 金币: 7839.6
- 帖子: 1093
- 在线: 251.8小时
- 虫号: 2085712
- 注册: 2012-10-25
- 性别: GG
- 专业: 机构学与机器人
8楼2013-04-09 12:40:11
9楼2013-04-10 14:26:46
lljianzhu
木虫 (著名写手)
- 应助: 15 (小学生)
- 金币: 7839.6
- 帖子: 1093
- 在线: 251.8小时
- 虫号: 2085712
- 注册: 2012-10-25
- 性别: GG
- 专业: 机构学与机器人
10楼2013-04-12 07:58:20













回复此楼