| ²é¿´: 1832 | »Ø¸´: 10 | |||
lichao5263Ìú¸Ëľ³æ (ÖøÃûдÊÖ)
|
[ÇóÖú]
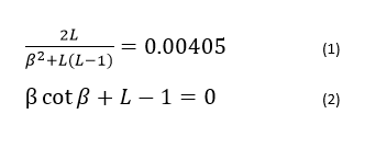
º¬Èý½Çº¯ÊýµÄ¶þ´Î·½³ÌÇó½â
|
||
|
¸÷λ´óÏÀ£¬ÇóÖú´ËÀຬÈý½Çº¯ÊýµÄ¶þ´Î·½³ÌÇó½â£¬Èç¹ûÓбà³Ì»òÈí¼þ¼ÆËãµÄ·½·¨£¬¸üºÃ¡£Ïêϸ¹ý³ÌµÄ»°Áí×·¼Ó½ð±Ò¡£¶àл£¡ |
» ²ÂÄãϲ»¶
Ò»Ö¾Ô¸211£¬»¯Ñ§Ñ§Ë¶£¬310·Ö£¬±¾¿ÆÖصãË«·Ç£¬Çóµ÷¼Á
ÒѾÓÐ19È˻ظ´
298Çóµ÷¼Á
ÒѾÓÐ10È˻ظ´
µç×ÓÐÅÏ¢279Çóµ÷¼Á£¬ÓÐÊé¶Á¾ÍÐÐ
ÒѾÓÐ6È˻ظ´
Çóµ÷¼Á
ÒѾÓÐ16È˻ظ´
Ò»Ö¾Ô¸211£¬»¯Ñ§310·Ö£¬±¾¿ÆÖصãË«·Ç£¬Çóµ÷¼Á
ÒѾÓÐ16È˻ظ´
265Çóµ÷¼Á
ÒѾÓÐ10È˻ظ´
²ÄÁÏרҵ344Çóµ÷¼Á
ÒѾÓÐ10È˻ظ´
085404 298·ÖÇóµ÷¼Á
ÒѾÓÐ4È˻ظ´
348·Ö»·¾³¹¤³Ì¡¤µ÷¼Á
ÒѾÓÐ13È˻ظ´
ҩѧר˶µ÷¼Á
ÒѾÓÐ5È˻ظ´
» ±¾Ö÷ÌâÏà¹Ø¼ÛÖµÌùÍÆ¼ö£¬¶ÔÄúͬÑùÓаïÖú:
ÈýÔª¶þ´Î·½³Ì×éÇó½â£¬¼±£¡
ÒѾÓÐ2È˻ظ´
ÈýÔª¶þ´Î·½³Ì×éÇó½â ÔõôËã°¡ ¼±ÓÃ
ÒѾÓÐ12È˻ظ´

lichao5263
Ìú¸Ëľ³æ (ÖøÃûдÊÖ)
- Ó¦Öú: 72 (³õÖÐÉú)
- ¹ó±ö: 0.001
- ½ð±Ò: 7716.5
- É¢½ð: 1677
- ºì»¨: 34
- Ìû×Ó: 2956
- ÔÚÏß: 783.2Сʱ
- ³æºÅ: 446614
- ×¢²á: 2007-10-29
- ÐÔ±ð: GG
- רҵ: ÎÞ»úºÏ³ÉºÍÖÆ±¸»¯Ñ§

6Â¥2013-02-18 11:32:47
aaronzjw
Òø³æ (СÓÐÃûÆø)
- Ó¦Öú: 23 (СѧÉú)
- ½ð±Ò: 1061.3
- É¢½ð: 235
- ºì»¨: 2
- Ìû×Ó: 227
- ÔÚÏß: 236Сʱ
- ³æºÅ: 1435017
- ×¢²á: 2011-10-10
- רҵ: ÀíÂۺͼÆË㻯ѧ
2Â¥2013-02-18 07:55:05
nono2009
³¬¼¶°æÖ÷ (ÎÄѧ̩¶·)
No gains, no pains.
-

ר¼Ò¾Ñé: +21105 - Ó¦Öú: 28684 (Ժʿ)
- ¹ó±ö: 513.911
- ½ð±Ò: 2555230
- É¢½ð: 27828
- ºì»¨: 2148
- ɳ·¢: 66666
- Ìû×Ó: 1602255
- ÔÚÏß: 65200.9Сʱ
- ³æºÅ: 827383
- ×¢²á: 2009-08-13
- ÐÔ±ð: GG
- רҵ: ¹¤³ÌÈÈÎïÀíÓëÄÜÔ´ÀûÓÃ
- ¹ÜϽ: ¿ÆÑмҳﱸίԱ»á
3Â¥2013-02-18 08:41:19
nandehutu9327
ÖÁ×ðľ³æ (Ö°Òµ×÷¼Ò)
- Ó¦Öú: 279 (´óѧÉú)
- ½ð±Ò: 18318.2
- É¢½ð: 780
- ºì»¨: 5
- ɳ·¢: 2
- Ìû×Ó: 4561
- ÔÚÏß: 591.1Сʱ
- ³æºÅ: 784367
- ×¢²á: 2009-06-01
- ÐÔ±ð: GG
- רҵ: ¿ØÖÆÀíÂÛÓë·½·¨
4Â¥2013-02-18 09:20:40
¶Ï½£²ÐÑ©
Ìú¸Ëľ³æ (Ö°Òµ×÷¼Ò)
- Ó¦Öú: 25 (СѧÉú)
- ¹ó±ö: 0.057
- ½ð±Ò: 8521.4
- É¢½ð: 9306
- ºì»¨: 191
- ɳ·¢: 5
- Ìû×Ó: 3566
- ÔÚÏß: 1232.8Сʱ
- ³æºÅ: 2187840
- ×¢²á: 2012-12-15
- רҵ: ´úÊýѧ
¡¾´ð°¸¡¿Ó¦Öú»ØÌû
¸Ðл²ÎÓ룬ӦÖúÖ¸Êý +1
| ¸øÂ¥Ö÷Ò»¸öºÜºÃµÄÊýѧ¹¤¾ß£¬¾ø¶Ô²»ÆÈËhttp://zh.numberempire.com/equationsolver.php |

5Â¥2013-02-18 10:08:23
lichao5263
Ìú¸Ëľ³æ (ÖøÃûдÊÖ)
- Ó¦Öú: 72 (³õÖÐÉú)
- ¹ó±ö: 0.001
- ½ð±Ò: 7716.5
- É¢½ð: 1677
- ºì»¨: 34
- Ìû×Ó: 2956
- ÔÚÏß: 783.2Сʱ
- ³æºÅ: 446614
- ×¢²á: 2007-10-29
- ÐÔ±ð: GG
- רҵ: ÎÞ»úºÏ³ÉºÍÖÆ±¸»¯Ñ§

7Â¥2013-02-18 11:34:38
nandehutu9327
ÖÁ×ðľ³æ (Ö°Òµ×÷¼Ò)
- Ó¦Öú: 279 (´óѧÉú)
- ½ð±Ò: 18318.2
- É¢½ð: 780
- ºì»¨: 5
- ɳ·¢: 2
- Ìû×Ó: 4561
- ÔÚÏß: 591.1Сʱ
- ³æºÅ: 784367
- ×¢²á: 2009-06-01
- ÐÔ±ð: GG
- רҵ: ¿ØÖÆÀíÂÛÓë·½·¨
8Â¥2013-02-18 12:26:47
dingd
Ìú¸Ëľ³æ (Ö°Òµ×÷¼Ò)
- Ó¦Öú: 1641 (½²Ê¦)
- ½ð±Ò: 15037.3
- É¢½ð: 101
- ºì»¨: 234
- Ìû×Ó: 3410
- ÔÚÏß: 1223.7Сʱ
- ³æºÅ: 291104
- ×¢²á: 2006-10-28
9Â¥2013-02-18 14:12:04
33221100
ľ³æ (ÕýʽдÊÖ)
- Ó¦Öú: 29 (СѧÉú)
- ½ð±Ò: 2674.1
- ºì»¨: 3
- Ìû×Ó: 837
- ÔÚÏß: 357.9Сʱ
- ³æºÅ: 915476
- ×¢²á: 2009-11-28
- רҵ: »ù´¡ÎïÀíѧ
10Â¥2013-02-18 17:23:33













»Ø¸´´ËÂ¥