°æ¿éµ¼º½
ÕýÔÚ¼ÓÔØÖÐ...
¿Í»§¶ËAPPÏÂÔØ
ÂÛÎĸ¨µ¼
µ÷¼ÁС³ÌÐò
怬
×¢²á
Ìû×Ó
Ìû×Ó
Óû§
±¾°æ
Ó¦¡¶ÍøÂ簲ȫ·¨¡·ÒªÇó£¬×Ô2017Äê10ÔÂ1ÈÕÆð£¬Î´½øÐÐʵÃûÈÏÖ¤½«²»µÃʹÓû¥ÁªÍø¸úÌû·þÎñ¡£Îª±£ÕÏÄúµÄÕʺÅÄܹ»Õý³£Ê¹Óã¬Ç뾡¿ì¶ÔÕʺŽøÐÐÊÖ»úºÅÑéÖ¤£¬¸ÐлÄúµÄÀí½âÓëÖ§³Ö£¡
24СʱÈÈÃŰæ¿éÅÅÐаñ
>
ÂÛ̳¸üÐÂÈÕÖ¾
(4761)
>
¿¼ÑÐ
(1888)
>
µ¼Ê¦ÕÐÉú
(1302)
>
³æÓÑ»¥Ê¶
(333)
>
ÎÄÏ×ÇóÖú
(176)
>
˶²©¼ÒÔ°
(118)
>
ÕÐÆ¸ÐÅÏ¢²¼¸æÀ¸
(107)
>
ÐÝÏйàË®
(103)
>
¿¼²©
(72)
>
ÂÛÎÄͶ¸å
(37)
>
²©ºóÖ®¼Ò
(36)
>
»ù½ðÉêÇë
(30)
>
½Ìʦ֮¼Ò
(27)
>
º£Íⲩºó
(23)
>
ÂÌÉ«ÇóÖú(¸ßÐüÉÍ)
(22)
>
¹«Åɳö¹ú
(19)
Сľ³æÂÛ̳-ѧÊõ¿ÆÑл¥¶¯Æ½Ì¨
»
ÍøÂçÉú»îÇø
»
Óн±ÎÊ´ð
»
Óн±ÎÊ´ðÍê½á×Ó°æ
»
ÈýÔª¶þ´Î·½³Ì×éÇó½â£¬¼±£¡
±±¾©Ê¯ÓÍ»¯¹¤Ñ§Ôº2026ÄêÑо¿ÉúÕÐÉú½ÓÊÕµ÷¼Á¹«¸æ
3
1/1
·µ»ØÁбí
²é¿´: 1432 | »Ø¸´: 2
Ö»¿´Â¥Ö÷
@ËûÈË
´æµµ
лظ´ÌáÐÑ
(ºöÂÔ)
ÊÕ²Ø
ÔÚAPPÖв鿴
±¾Ìû²úÉú 1 ¸ö ²©Ñ§EPI £¬µã»÷ÕâÀï½øÐв鿴
merrybee
½û³æ
(ÕýʽдÊÖ)
±¾ÌûÄÚÈݱ»ÆÁ±Î
» ²ÂÄãϲ»¶
0703µ÷¼Á£¬Ò»Ö¾Ô¸Ìì½ò´óѧ319·Ö
ÒѾÓÐ14È˻ظ´
085600²ÄÁÏÓ뻯¹¤301·ÖÇóµ÷¼ÁԺУ
ÒѾÓÐ16È˻ظ´
Ò»Ö¾Ô¸211£¬0703»¯Ñ§305·ÖÇóµ÷¼Á
ÒѾÓÐ4È˻ظ´
»úеר˶274Çóµ÷¼Á£¬²»ÌôרҵѧУ
ÒѾÓÐ8È˻ظ´
312Çóµ÷¼Á
ÒѾÓÐ13È˻ظ´
ÉúÎïÓëÒ½Ò©Çóµ÷¼Á
ÒѾÓÐ7È˻ظ´
284Çóµ÷¼Á
ÒѾÓÐ5È˻ظ´
Ò»Ö¾Ô¸±±½»´ó²ÄÁϹ¤³Ì×Ü·Ö358Çóµ÷¼Á
ÒѾÓÐ10È˻ظ´
Ò»Ö¾Ô¸ÄϿƴóÉúÎïѧ297·Ö£¬Çóµ÷¼ÁÍÆ¼ö
ÒѾÓÐ4È˻ظ´
²ÄÁϵ÷¼Á
ÒѾÓÐ4È˻ظ´
1Â¥
2011-06-06 22:47:58
ÒÑÔÄ
¹Ø×¢TA
¸øTA·¢ÏûÏ¢
ËÍTAºì»¨
TAµÄ»ØÌû
xxppyy
ľ³æ
(СÓÐÃûÆø)
²©Ñ§EPI: 7
Ó¦Öú: 3
(Ó×¶ùÔ°)
½ð±Ò: 2855.4
É¢½ð: 16
ºì»¨: 4
Ìû×Ó: 243
ÔÚÏß: 348.3Сʱ
³æºÅ: 19703
×¢²á: 2003-07-17
¡¾´ð°¸¡¿Ó¦Öú»ØÌû
merrybee(½ð±Ò+4, ²©Ñ§EPI+1): лл£¬ËäÈ»ÎÒ»¹ÊDz»Ì«¶® 2011-06-07 08:11:57
ÔÞ
Ò»ÏÂ
»Ø¸´´ËÂ¥
2Â¥
2011-06-07 00:35:08
ÒÑÔÄ
¹Ø×¢TA
¸øTA·¢ÏûÏ¢
ËÍTAºì»¨
TAµÄ»ØÌû
libralibra
ÖÁ×ðľ³æ
(ÖøÃûдÊÖ)
æôÆï½«¾ü
²©Ñ§EPI: 42
Ó¦Öú: 817
(²©ºó)
½ð±Ò: 12914.1
ºì»¨: 64
Ìû×Ó: 2238
ÔÚÏß: 287.3Сʱ
³æºÅ: 696514
×¢²á: 2009-02-05
רҵ: ¼ÆËã»úÈí¼þ
¡¾´ð°¸¡¿Ó¦Öú»ØÌû
merrybee(½ð±Ò+5): ллÈÊÐÖ£¬µ«ÊÇÎÒûѧ¹ýmatlab,Äܲ»Äܸø¸ö¾ßÌåÊýÖµ£¨ÊµÊý¾Í¿ÉÒÔ£© 2011-06-07 08:14:33
matlab½âµÄ,²»È·¶¨¶Ô²»¶Ô
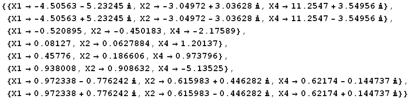
CODE:
>> syms X1 X2 X4
>> result = solve('1095.68+1030.89*X2-577.4*X4 - 741.67*X2*X4 - 655.44*X1 - 1739.67*X2^2 - 242.96*X4^2 = 0','1095.68*X1 +1030.89 -477.4*X4 -841.67*X1*X4 - 655.44*X1^2 - 1739.67*X2 - 242.96*X4^2 = 0','254.01*X1 +1030.89*X2+ 264.27 - 741.67*X2- 655.44*X1^2 - 1739.67*X2^2 - 242.96*X4 = 0','X1','X2','X4');
>> result.X1
ans =
0.93800775157225343240836780607767
-0.52089491936397802054843321728427
0.4577600733807979355804852554023
0.081269956362420107851596459240015
0.97233798224947409217052492778994 - 0.77624193893233636439709553490838*i
0.77624193893233636439709553490838*i + 0.97233798224947409217052492778994
- 5.2324502894329689932579338806595*i - 4.5056326826714141657084596640709
5.2324502894329689932579338806594*i - 4.5056326826714141657084596640709
>> result.X2
ans =
0.9086321337948837154175793435819
-0.45018251929113547493820209903586
0.18660632247305493446411292660996
0.062788438369950978660537146384669
0.44628184235114253595310722306707*i + 0.61598326390378735778339167402219
0.61598326390378735778339167402219 - 0.44628184235114253595310722306707*i
3.0362752279227273638780042872815*i - 3.0497236556555155450869391235751
- 3.0362752279227273638780042872814*i - 3.049723655655515545086939123575
>> result.X4
ans =
-5.1352469251203640144445043292946
-2.1758924932825026335026986737734
0.9737963531449314671166688535491801961529947603051226627768766842
1.201372842126541133976442395816469575899025908770455557611616143
0.621740341127371002437797318969123728916725371371523849607225248 - 0.14473717265458760264666146975118*i
0.1447371726545876026466614697511846576561565469967562378330815866*i + 0.6217403411273710024377973189691237289137804371219780850352083856
3.54955766334040785395213908938699783873323108222867607483246873*i + 11.2547171774118672311560345678184952300525091585481554908111529
11.25471717741186723115603456781849523420516484539431351838235365 - 3.549557663340407853952139089387*i
>>
ÔÞ
Ò»ÏÂ
»Ø¸´´ËÂ¥
matlab/VB/python/c++/Javaд³ÌÐòÇë·¢QQÓʼþ:790404545@qq.com
3Â¥
2011-06-07 03:16:06
ÒÑÔÄ
¹Ø×¢TA
¸øTA·¢ÏûÏ¢
ËÍTAºì»¨
TAµÄ»ØÌû
Ïà¹Ø°æ¿éÌø×ª
Óн±ÎÊ´ðÖÐת×Ó°æ
Óн±ÎÊ´ðÍê½á×Ó°æ
ÎÒÒª¶©ÔÄÂ¥Ö÷
merrybee
µÄÖ÷Ìâ¸üÐÂ
3
1/1
·µ»ØÁбí
×î¾ßÈËÆøÈÈÌûÍÆ¼ö
[²é¿´È«²¿]
×÷Õß
»Ø/¿´
×îºó·¢±í
[
¿¼ÑÐ
]
385·Ö ÉúÎïѧ£¨071000£©Çóµ÷¼Á
+12
qf626
2026-04-01
12/600
2026-04-06 17:36
by
52305043001
[
¿¼ÑÐ
]
Çóµ÷¼Á
+8
ÕÅzic
2026-04-05
9/450
2026-04-06 13:03
by
Öí»á·É
[
¿¼ÑÐ
]
070300»¯Ñ§Ñ§Ë¶311·ÖÇóµ÷¼Á
+11
Áº¸»¹óÏÕÖÐÇó
2026-04-04
11/550
2026-04-06 10:43
by
À¶ÔÆË¼Óê
[
¿¼ÑÐ
]
315Çóµ÷¼Á
+14
ÐÀϲ777
2026-04-04
15/750
2026-04-06 06:25
by
houyaoxu
[
Óлú½»Á÷
]
3-äåßÁà¤-4-¼×È©ºÏ³É
10
+3
Ñ©¸âÒ²Äܱ¬Õ¨
2026-03-31
9/450
2026-04-06 00:24
by
nBuï®
[
¿¼ÑÐ
]
085500»úеר˶³õÊÔ288Çóµ÷¼Á
+3
GZJguo666-
2026-04-05
3/150
2026-04-05 18:06
by
jkddd
[
¿¼ÑÐ
]
295Çóµ÷¼Á
+8
FZAC123
2026-04-03
8/400
2026-04-05 17:46
by
À¶ÔÆË¼Óê
[
¿¼ÑÐ
]
²ÄÁϵ÷¼Á
+7
dxyµ÷¼Á
2026-04-04
7/350
2026-04-05 09:15
by
İÇï26
[
¿¼ÑÐ
]
301Çóµ÷¼Á
+18
ÂæÍÕÄÐÈË
2026-04-02
18/900
2026-04-04 20:33
by
À¶ÔÆË¼Óê
[
¿¼ÑÐ
]
22408£¬264Çóµ÷¼Á
+3
ywh729
2026-04-03
4/200
2026-04-04 11:04
by
ywh729
[
¿¼ÑÐ
]
311Çóµ÷¼Á
+11
Ó¸ҵÄСÎâ
2026-04-02
11/550
2026-04-03 21:46
by
qlm5820
[
¿¼ÑÐ
]
293Çóµ÷¼Á
+5
ĩδmm
2026-04-02
6/300
2026-04-03 15:20
by
Íõ±£½Ü33
[
¿¼ÑÐ
]
315Çóµ÷¼Á
+6
˳Àí³ÉÕÅ
2026-04-03
8/400
2026-04-03 14:04
by
°ÙÁéͯ888
[
¿¼ÑÐ
]
ÉúÎïѧ308·ÖÇóµ÷¼Á£¨Ò»Ö¾Ô¸»ª¶«Ê¦´ó£©
+6
ÏàÐűػá¹ââÍòÕ
2026-03-31
7/350
2026-04-02 23:16
by
JourneyLucky
[
¿¼ÑÐ
]
366Çóµ÷¼ÁÒ»Ö¾Ô¸¶«±±´óѧ
+8
ÔËÆøÀ´µÃÈôÓÐËÆÎ
2026-04-02
8/400
2026-04-02 21:39
by
dongzh2009
[
¿¼ÑÐ
]
Çóµ÷¼Á 302·Ö³õÊÔ 0854
+5
Áæ¿ÉÀÖ
2026-04-02
5/250
2026-04-02 17:53
by
±ÊÂä½õÖÝ
[
¿¼ÑÐ
]
²ÄÁÏרҵÇóµ÷¼Á
+10
ÔÂÔÂÄñľ
2026-04-01
10/500
2026-04-02 12:57
by
wxiongid
[
¿¼ÑÐ
]
279Çóµ÷¼Á
+6
ѧ¶øË¼ÙâÖª
2026-04-01
6/300
2026-04-02 09:16
by
vgtyfty
[
¿¼ÑÐ
]
Çóµ÷¼Á
+4
DADA¹Ö
2026-03-31
4/200
2026-04-01 14:30
by
ZXlzxl0425
[
¿¼ÑÐ
]
370Çóµ÷¼Á
+3
080700µ÷¼Á
2026-03-30
3/150
2026-03-31 01:09
by
A_Zhe
ÐÅÏ¢Ìáʾ
¹Ø±Õ
ÇëÌî´¦ÀíÒâ¼û
¹Ø±Õ
È·¶¨