| ²é¿´: 7120 | »Ø¸´: 12 | ||
| ±¾Ìû²úÉú 1 ¸ö ²©Ñ§EPI £¬µã»÷ÕâÀï½øÐв鿴 | ||
[½»Á÷]
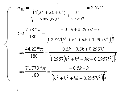
ÈýÔª¶þ´Î·½³Ì×éÇó½â ÔõôËã°¡ ¼±ÓÃ
|
||
» ÇÀ½ð±ÒÀ²£¡»ØÌû¾Í¿ÉÒԵõ½:
¼ÃÄÏ´óѧ½¨²ÄÖØµãʵÑéÊÒ½ÓÊܵ÷¼Á£¡£¡£¡
+1/192
ºÓ±±´óѧ·ÖÎö»¯Ñ§ÕÐÊÕ¶àÃûµ÷¼Á¿¼Éú
+2/124
ÖпÆÔºÐ½®Àí»¯Ëù³ÏƸÄÜÔ´µç»¯Ñ§·½Ïò²©Ê¿ºó¡¢²©Ê¿ºÍ¿ÆÑÐÖúÀíÆôÊÂ
+1/86
¾¡È«Á¦ÈÃѧÉúʵÏÖ×Ô¼ºµÄÃÎÏ룬ÈÃ֪ʶת»¯Îª×Ô¼º·¢Õ¹µÄн¶¯ÄÜ¡£
+1/84
¡¾¿¼Ñе÷¼Á¡¿»ªÇÈ´óѧ·¢¹â²ÄÁÏÓëÐÅÏ¢ÏÔʾÑо¿Ôº½ÓÊÕר˶ºÍѧ˶µ÷¼Á
+1/41
Ñо¿Éúµ÷¼ÁÕÐÉú£¨44Ãû£©
+1/40
³£ÖÝ´óѧ-»·¾³¿ÆÑ§Ó빤³ÌѧԺÕÐÊÕ»·¾³¹¤³Ìѧ˶ºÍר˶µ÷¼Á-ÍøÂ縴ÊÔ-¶àѧ¿Æ
+1/38
ºþ±±Ê¦·¶´óѧ»¯Ñ§»¯¹¤Ñ§ÔºÕÐÊÕµ÷¼Á
+1/36
Î人¹¤³Ì´óѧ»¯Ñ§Óë»·¾³¹¤³ÌѧԺ2026Äê˶ʿÑо¿Éúµ÷¼Á¹«¸æ
+1/15
ÕÐÊÕµØÀíÀà¡¢»·¾³Àà¡¢µØ»¯Àà¡¢ÉúÎïÀà¡¢ÍÁÈÀÀࡢũҵ×ÊÔ´Óë»·¾³µÈ˶ʿµ÷¼ÁÉú
+1/11
¸£½¨Å©ÁÖ´óѧ×Ê»·Ñ§ÔºÀîÏãÕæ-Ò¦Ãô½Ü½ÌÊÚ¿ÎÌâ×éÕÐÊÕ˶ʿµ÷¼ÁÉú
+1/10
¹ã¶«¹¤Òµ´óѧÉú̬»·¾³Ó뺣ÑóѧԺÕÅÐù½ÌÊÚ¿ÎÌâ×éÕÐÊÕ·ÖÀëĤÁìÓò2026ÄêÈëѧ²©Ê¿Éú1ÈË
+1/9
Ë®²ú·½ÏòÕÐÊÕµ÷¼Á£¬090800ºÍ095134µÄ¿ÉÒÔ¿´¹ýÀ´¡£
+1/8
¡¾#ÉϺ£µ÷¼Á¼±Â¼#¡¿ÄܽÓÊÜ985ÁªºÏÅàÑøµÄËÙÀ´£¡´øÄã·¢Ò»ÇøÎÄÕ£¡
+1/7
Ó¢¹úÀ·ò±¤´óѧ²©Ê¿ÕÐÉú µç³Ø·½Ïò
+1/7
ÆëÆë¹þ¶û´óѧÀîÀò¿ÎÌâ×é³ÏÕÐ2026¼¶¿¼Ñе÷¼ÁÉú£¨Ñ§Ë¶ºÍר˶£©
+1/4
ÆëÆë¹þ¶û´óѧÀîÀò¿ÎÌâ×é³ÏÕÐ2026¼¶¿¼Ñе÷¼ÁÉú£¨Ñ§Ë¶ºÍר˶£©
+1/4
Çൺ´óѧ»¯Ñ§¹¤³Ì£¨085602£©Ó뻯ѧ¹¤³ÌÓë¼¼Êõ£¨081700£©ÕÐÊÕ´óÁ¿µ÷¼Á
+1/3
2026Äê½Î÷¿Æ¼¼Ê¦·¶´óѧTide¿ÎÌâ×éÕÐÊÕ»¯Ñ§¡¢ÉúÎҩѧ¡¢²ÄÁÏÏà¹ØÑ§Ë¶»òר˶µ÷¼ÁÉú
+1/3
´óÁ¬¹¤Òµ½ÜÇà¡¢³¤½ÍŶÓ-ÉúÎïÖʲÄÁÏ·½ÏòÕÐÊÕ2026¼¶²©Ê¿Éú
+1/3
¸÷³ÉÒ»¼ÒÖ®ÑÔ
Òø³æ (СÓÐÃûÆø)
- ²©Ñ§EPI: 22
- Ó¦Öú: 0 (Ó×¶ùÔ°)
- ½ð±Ò: 257.1
- Ìû×Ó: 108
- ÔÚÏß: 13.8Сʱ
- ³æºÅ: 1140477
2Â¥2010-12-28 17:36:14
xiegangmai
°æÖ÷ (Ö°Òµ×÷¼Ò)
- Ó¦Öú: 157 (¸ßÖÐÉú)
- ¹ó±ö: 5.735
- ½ð±Ò: 40609
- Ìû×Ó: 4046
- ÔÚÏß: 1330.2Сʱ
- ³æºÅ: 653607
3Â¥2010-12-28 17:53:52
xiegangmai
°æÖ÷ (Ö°Òµ×÷¼Ò)
- Ó¦Öú: 157 (¸ßÖÐÉú)
- ¹ó±ö: 5.735
- ½ð±Ò: 40609
- Ìû×Ó: 4046
- ÔÚÏß: 1330.2Сʱ
- ³æºÅ: 653607
4Â¥2010-12-28 17:59:43
wfwpq
Ìú¸Ëľ³æ (ÖøÃûдÊÖ)
- ²©Ñ§EPI: 1
- Ó¦Öú: 2 (Ó×¶ùÔ°)
- ½ð±Ò: 4829.6
- Ìû×Ó: 2343
- ÔÚÏß: 295.3Сʱ
- ³æºÅ: 566874
lewmihu(½ð±Ò+30, ²©Ñ§EPI+1): 2010-12-30 09:46:37
|
>> syms l h k;[l h k]=solve('cos(44.22*pi/180)=(0.5*h+0.2957*l-0.5*k)/sqrt(1.2597*(h^2+k^2+h*k+0.2957*l^2))','cos(71.778*pi/180)=(-0.5*k-h)/sqrt(h^2+k^2+h*k+0.2957*l^2)','2.5712*sqrt(4*(h^2+h*k+k^2)/(3*3.232^2)+l^2/5.147^2)=1') l = 0.1128765955661879120003069241437 h = -0.90654616138783667156059105710971 k = 1.2373847796375348971671727500807 ´ËΪMatlab×¼½âÎö½â |
5Â¥2010-12-28 18:19:25
wfwpq
Ìú¸Ëľ³æ (ÖøÃûдÊÖ)
- ²©Ñ§EPI: 1
- Ó¦Öú: 2 (Ó×¶ùÔ°)
- ½ð±Ò: 4829.6
- Ìû×Ó: 2343
- ÔÚÏß: 295.3Сʱ
- ³æºÅ: 566874
|
²¹³äһϰ¡£¬Ëĸö·½³ÌÖ»ÐèÒªÈý¸ö¼´¿É£¬ ÈôÖ»ÓúóÃæµÄÈý¸ö·½³ÌÊÇÎÞ½âÎö½âµÄ >> syms l h k;[l h k]=solve('cos(7.78*pi/180)=(-0.5*h+0.2958*l-k)/sqrt(1.2597*(h^2+k^2+h*k+0.2957*l^2))','cos(44.22*pi/180)=(0.5*h+0.2957*l-0.5*k)/sqrt(1.2597*(h^2+k^2+h*k+0.2957*l^2))','cos(71.778*pi/180)=(-0.5*k-h)/sqrt(h^2+k^2+h*k+0.2957*l^2)') Warning: Explicit solution could not be found. > In solve at 98 l = [ empty sym ] h = [] k = [] ±ØÐëʹÓõÚÒ»¸ö·½³Ì²Å¿ÉÒÔ |
6Â¥2010-12-28 18:26:07
7Â¥2010-12-28 22:35:55
sunshineck
Ìú¸Ëľ³æ (ÖøÃûдÊÖ)
- ²©Ñ§EPI: 51
- Ó¦Öú: 9 (Ó×¶ùÔ°)
- ½ð±Ò: 6751.2
- Ìû×Ó: 1868
- ÔÚÏß: 202.6Сʱ
- ³æºÅ: 554148
8Â¥2010-12-29 14:53:05
9Â¥2010-12-29 19:59:57
wfwpq
Ìú¸Ëľ³æ (ÖøÃûдÊÖ)
- ²©Ñ§EPI: 1
- Ó¦Öú: 2 (Ó×¶ùÔ°)
- ½ð±Ò: 4829.6
- Ìû×Ó: 2343
- ÔÚÏß: 295.3Сʱ
- ³æºÅ: 566874
|
>> syms l h k;[l h k]=solve('cos(7.78*pi/180)=(-0.5*h+0.2958*l-k)/sqrt(1.2597*(h^2+k^2+h*k+0.2957*l^2))','cos(71.778*pi/180)=(-0.5*k-h)/sqrt(h^2+k^2+h*k+0.2957*l^2)','2.5712*sqrt(4*(h^2+h*k+k^2)/(3*3.232^2)+l^2/5.147^2)=1') l = 0.10004078040232283602903575751671 h = -0.88087352251719425909330478731521 k = 1.2835490072381379552799134869021 ÄãÔÙÊÔÊÔÕâ¸ö¿´¿´£¬ÕâÒ»×é½âÊǸù¾ÝµÚ1¡¢2¡¢4¸ö·½³ÌËã³öÀ´µÄ |
10Â¥2010-12-30 13:38:30
wfwpq
Ìú¸Ëľ³æ (ÖøÃûдÊÖ)
- ²©Ñ§EPI: 1
- Ó¦Öú: 2 (Ó×¶ùÔ°)
- ½ð±Ò: 4829.6
- Ìû×Ó: 2343
- ÔÚÏß: 295.3Сʱ
- ³æºÅ: 566874
|
>> syms l h k;[l h k]=solve('cos(7.78*pi/180)=(-0.5*h+0.2958*l-k)/sqrt(1.2597*(h^2+k^2+h*k+0.2957*l^2))','cos(44.22*pi/180)=(0.5*h+0.2957*l-0.5*k)/sqrt(1.2597*(h^2+k^2+h*k+0.2957*l^2))','2.5712*sqrt(4*(h^2+h*k+k^2)/(3*3.232^2)+l^2/5.147^2)=1') Warning: possibly spurious solutions [solvelib::solve_sys] l = 0.2192212129795302796638513711869 -0.2192212129795302796638513711869 0.10849071521000389499775457145023 -0.10849071521000389499775457145023 h = -1.1081530884262844769818164731015 1.1081530884262844769818164731015 -0.88657016017767077026585302583889 0.88657016017767077026585302583889 k = 0.71670695842580947821001081264815 -0.71670695842580947821001081264815 1.2785744505905856362065314907789 -1.2785744505905856362065314907789 ÕâÊǸù¾ÝµÚ1¡¢2¡¢3¸ö·½³Ì¼ÆËã³öÀ´µÄ½â£¬¿ÉÄÜ»áÓмٽ⣬Äã¿ÉÒÔ½«h¡¢k¡¢l·Ö±ðÈ¡¶ÔÓ¦µÄÒ»×é½âÊÔÊÔ¿´ |
11Â¥2010-12-30 13:44:39
wfwpq
Ìú¸Ëľ³æ (ÖøÃûдÊÖ)
- ²©Ñ§EPI: 1
- Ó¦Öú: 2 (Ó×¶ùÔ°)
- ½ð±Ò: 4829.6
- Ìû×Ó: 2343
- ÔÚÏß: 295.3Сʱ
- ³æºÅ: 566874
12Â¥2010-12-30 13:46:07
13Â¥2010-12-31 10:30:17














»Ø¸´´ËÂ¥