| 查看: 1545 | 回复: 4 | ||
[求助]
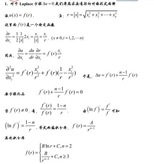
利用格林公式求解方程基本解
|
||
|
|
||
【答案】应助回帖
★ ★ ★ ★ ★ ★ ★ ★ ★ ★ ★ ★ ★ ★ ★ ★ ★ ★ ★ ★ ★ ★ ★ ★ ★ ★ ★ ★ ★ ★ ★ ★ ★ ★ ★ ★ ★ ★ ★ ★
感谢参与,应助指数 +1 牛牛洲: 金币+40, 标准回答,另外十个金币悬赏给楼下的朋友 2013-02-26 14:44:06
» 本帖附件资源列表
2013-02-02 11:53:43, 59.61 K
|
||
|
2楼2013-02-02 11:54:02
|
|
|
zhoupeng87版主 (文学泰斗)
|
||
|
3楼2013-02-02 14:28:52
|
|
|
tianshui1001木虫 (小有名气)
|
||
![]() |
||
|
4楼2013-02-02 18:19:07
|
|
|
|
5楼2013-02-26 14:42:56
|
|














回复此楼

非常感谢帮助
20