| ²é¿´: 1153 | »Ø¸´: 2 | ||
tianyi816Òø³æ (ÕýʽдÊÖ)
|
[ÇóÖú]
MATHCADÇó½â·½³ÌÇóÖú£¬Ð»Ð»£¡ ÒÑÓÐ1È˲ÎÓë
|
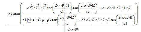
| Çë°ï潫¸½¼þÖеķ½³ÌÀûÓÃMATHCADÇó½â£¬²¢½«MATHCADÎĵµ´«ÉÏÀ´£¬Ð»Ð»£¡³õʼµÄÊý¾ÝÒÑÔÚ¸½¼þÖеÄMATHCADÎĵµ¡£ |
» ±¾Ìû¸½¼þ×ÊÔ´Áбí
-
»¶Ó¼à¶½ºÍ·´À¡£ºÐ¡Ä¾³æ½öÌṩ½»Á÷ƽ̨£¬²»¶Ô¸ÃÄÚÈݸºÔð¡£
±¾ÄÚÈÝÓÉÓû§×ÔÖ÷·¢²¼£¬Èç¹ûÆäÄÚÈÝÉæ¼°µ½ÖªÊ¶²úȨÎÊÌ⣬ÆäÔðÈÎÔÚÓÚÓû§±¾ÈË£¬Èç¶Ô°æÈ¨ÓÐÒìÒ飬ÇëÁªÏµÓÊÏ䣺xiaomuchong@tal.com - ¸½¼þ 1 : Ò»Ôª·½³ÌÇó½âÇóÖú£¬Ð»Ð»£¡.doc
- ¸½¼þ 2 : ËÄ·ÖÖ®Ò»²¨³¤¼ÆËã(ÇóÖú£©.mcd
2012-08-31 15:54:14, 38 K
2012-08-31 15:54:28, 10.39 K
» ²ÂÄãϲ»¶
ҩѧÇóµ÷¼Á
ÒѾÓÐ8È˻ظ´
296Çóµ÷¼Á
ÒѾÓÐ10È˻ظ´
¸´ÊÔµ÷¼Á
ÒѾÓÐ21È˻ظ´
Çóµ÷¼ÁѧУ
ÒѾÓÐ13È˻ظ´
291 Çóµ÷¼Á
ÒѾÓÐ39È˻ظ´
271Çóµ÷¼Á
ÒѾÓÐ30È˻ظ´
²ÄÁÏÀà284µ÷¼Á
ÒѾÓÐ50È˻ظ´
291·Öµ÷¼Á
ÒѾÓÐ9È˻ظ´
µ÷¼ÁÇóÊÕÁô
ÒѾÓÐ34È˻ظ´
22408 312Çóµ÷¼Á
ÒѾÓÐ17È˻ظ´
» ±¾Ö÷ÌâÏà¹Ø¼ÛÖµÌùÍÆ¼ö£¬¶ÔÄúͬÑùÓаïÖú:
[ÇóÖú]Çó½â¼«×ù±êÉÏµÄÆ«Î¢·Ö·½³Ì(Laplace¡¯s Equation)!!!!
ÒѾÓÐ6È˻ظ´
ÇóÖú£¡£¡¶ÔÓÚµ÷ÓÃÁú¸ñ¿âËþ·¨ÈçºÎ¶Ô½á¹ûÅжϷ´À¡
ÒѾÓÐ6È˻ظ´
¸ßÊý¹ØÓÚ²»ÏÔº¬xºÍyµÄ΢·Ö·½³ÌÇó½â£¿
ÒѾÓÐ8È˻ظ´
ÇóÖúÔÚSASÖÐÓÃlogistic º¯ÊýÄâºÏÇúÏ߻ع鷽³ÌµÄ³ÌÐò£¬Ð»Ð»!
ÒѾÓÐ5È˻ظ´
ÇóÖú£¬°ïæÇó½âÏÂÃæ·½³Ì×飬лл£¡
ÒѾÓÐ13È˻ظ´
matlabÈçºÎÇó½âº¬ÓÐbessel·½³ÌÖеIJÎÊý
ÒѾÓÐ5È˻ظ´
ÔõÑùÓÃmatlab»òÕßÊÇmathcadÇó½âº¬Óбä²ÎÊýµÄËĴη½³Ì£¿
ÒѾÓÐ7È˻ظ´
mathcadÔõÑùÓÃËĽ×Áú¸ñ¿âËþ·¨Çó½â¶þ½×΢·Ö·½³Ì£¿
ÒѾÓÐ8È˻ظ´
MathCADÖÐϱêÇóÖú
ÒѾÓÐ2È˻ظ´
Å×ÎïÐÍÆ«Î¢·Ö·½³ÌµÄÊýÖµ½âÇó½âÎÊÌ⣬лл£¡
ÒѾÓÐ14È˻ظ´
matlabÇó½â¶¯Á¦Ñ§ ·½³ÌÖеIJÎÊý
ÒѾÓÐ13È˻ظ´
¡¾ÇóÖú¡¿°ïæÇó½âÒ»¸öÒ»ÔªËĴη½³Ì
ÒѾÓÐ9È˻ظ´
¡¾ÇóÖú¡¿matlab Çó½â΢·Ö·½³ÌÖеÄδ֪²ÎÊý
ÒѾÓÐ20È˻ظ´
¡¾ÇóÖú¡¿¶àÔª·½³Ì×éÇó½â¼°ÄâºÏ
ÒѾÓÐ9È˻ظ´
¡¾ÇóÖú¡¿Ïò¸÷λ´óÏÀÇóÖúmatlabÇó½â΢·Ö·½³Ì×éÓöµ½µÄÒ»¸öÎÊÌâ
ÒѾÓÐ21È˻ظ´
¡¾ÇóÖú¡¿ÓÃpdepeÇó½âƫ΢·Ö·½³Ì
ÒѾÓÐ10È˻ظ´
¡¾ÇóÖú¡¿»ý·Ö΢·Ö·½³ÌmatlabÇó½â
ÒѾÓÐ6È˻ظ´
¡¾ÇóÖú¡¿matlabÔõôÇó½âƫ΢·Ö·½³Ì×é°¡£¬ÏÈллÁË
ÒѾÓÐ13È˻ظ´
¡¾ÇóÖú¡¿Çó½â·ÇÏßÐÔ·½³Ì
ÒѾÓÐ8È˻ظ´
¡¾×ÊÔ´¡¿Ò»±¾¹ØÓÚmathcadÓë³£,ƫ΢·Ö·½³ÌÇó½âµÄÊé
ÒѾÓÐ10È˻ظ´
zsy312
Òø³æ (СÓÐÃûÆø)
- Ó¦Öú: 8 (Ó×¶ùÔ°)
- ½ð±Ò: 495.5
- ºì»¨: 1
- Ìû×Ó: 145
- ÔÚÏß: 20.7Сʱ
- ³æºÅ: 756330
- ×¢²á: 2009-04-24
- ÐÔ±ð: GG
- רҵ: Êýѧ
¡¾´ð°¸¡¿Ó¦Öú»ØÌû
¡ï ¡ï ¡ï ¡ï ¡ï ¡ï ¡ï ¡ï ¡ï ¡ï ¡ï ¡ï
xiegangmai: ½ð±Ò+2, лл²ÎÓë 2012-10-24 19:59:27
tianyi816: ½ð±Ò+10, ¡ï¡ï¡ïºÜÓаïÖú, лл£¡ 2012-10-28 18:26:25
xiegangmai: ½ð±Ò+2, лл²ÎÓë 2012-10-24 19:59:27
tianyi816: ½ð±Ò+10, ¡ï¡ï¡ïºÜÓаïÖú, лл£¡ 2012-10-28 18:26:25
|
×îºóÒ»ÐÐÖеÄ:=ÊäÈëΪ"Ctrl"+"=" Ïȸøl3¸³Öµ,Ëæ±ã,±ÈÈçl3=1mm ÔÙʹÓà given ÄǸö·ÅÖм䷽³Ì±ð¶¯ find(l3) "Ctrl"+"=" ÎÒËãµÄÊÇ0.021mm |
2Â¥2012-10-24 17:30:39
szy3537
½ð³æ (СÓÐÃûÆø)
- Ó¦Öú: 0 (Ó×¶ùÔ°)
- ½ð±Ò: 1136.5
- Ìû×Ó: 53
- ÔÚÏß: 84.9Сʱ
- ³æºÅ: 2399410
- ×¢²á: 2013-04-03
- ÐÔ±ð: GG
- רҵ: ½ðÊô¹¦ÄܲÄÁÏ
3Â¥2014-09-01 21:29:01














»Ø¸´´ËÂ¥