| 查看: 1578 | 回复: 7 | |
| 本帖产生 1 个 数学EPI ,点击这里进行查看 | |
keepflying至尊木虫 (著名写手)
|
[求助]
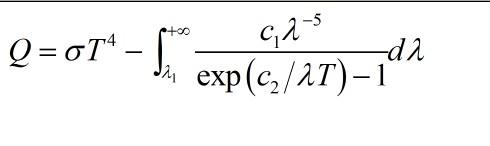
求带积分项(积分项除了积分变量还有一个符号常量)的非线性方程
|
![]() |
|
|
|
|
| 回帖置顶 ( 共有2个 ) | |
keepflying至尊木虫 (著名写手)
|
|
![]() |
|
|
3楼2012-04-13 20:33:22
|
|
|
6楼2012-10-23 23:18:07
|
|
| 普通回帖 | |
xiuyouxu铁杆木虫 (职业作家)
|
|
![]() |
|
|
2楼2012-04-13 17:23:46
|
|
ylberyl金虫 (正式写手)
|
|
|
4楼2012-04-14 04:06:12
|
|
dingd铁杆木虫 (职业作家)
|
|
|
5楼2012-10-16 16:27:28
|
|
|
7楼2012-10-23 23:28:05
|
|
|
8楼2012-10-23 23:31:49
|
|













回复此楼
20