版块导航
正在加载中...
客户端APP下载
论文辅导
申博辅导
登录
注册
帖子
帖子
用户
本版
应《网络安全法》要求,自2017年10月1日起,未进行实名认证将不得使用互联网跟帖服务。为保障您的帐号能够正常使用,请尽快对帐号进行手机号验证,感谢您的理解与支持!
24小时热门版块排行榜
>
论坛更新日志
(3805)
>
虫友互识
(637)
>
文献求助
(223)
>
休闲灌水
(218)
>
导师招生
(209)
>
考博
(130)
>
论文投稿
(122)
>
博后之家
(92)
>
硕博家园
(82)
>
招聘信息布告栏
(72)
>
论文道贺祈福
(68)
>
基金申请
(60)
>
教师之家
(50)
>
考研
(48)
>
找工作
(45)
>
公派出国
(21)
小木虫论坛-学术科研互动平台
»
计算模拟区
»
计算模拟
»
求教大家一个数学问题
3
1/1
返回列表
查看: 264 | 回复: 2
只看楼主
@他人
存档
新回复提醒
(忽略)
收藏
在APP中查看
lzg2010
铁虫
(小有名气)
应助: 0
(幼儿园)
金币: 105.1
帖子: 125
在线: 15小时
虫号: 846657
注册: 2009-09-13
性别:
MM
专业: 环境工程
[
求助
]
求教大家一个数学问题
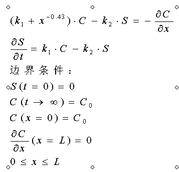
在建立模型时得到下面一个式子,请问大家应该采用什么样的方法才能求解啊?
方程组
[
Last edited by lzg2010 on 2012-2-21 at 18:45
]
回复此楼
» 猜你喜欢
石墨烯转移--二氧化硅衬底石墨烯
已经有0人回复
笼目材料中量子自旋液体基态的证据
已经有0人回复
物理学I论文润色/翻译怎么收费?
已经有123人回复
数学教学论硕士可以读数学物理博士吗?
已经有0人回复
德国亥姆霍兹Hereon中心汉堡分部招镁合金腐蚀裂变SCC课题方向2026公派博士生
已经有4人回复
澳门大学 应用物理及材料工程研究院 潘晖教授课题组诚招博士后
已经有11人回复
求助NH4V4O10晶体的CIF文件
已经有0人回复
英国全奖博士招聘-深度学习与量子物理
已经有0人回复
间接带隙半导体有效质量求助
已经有1人回复
投稿chemical physical letters不送审?
已经有2人回复
南开大学物理学院张书辉副教授招收凝聚态物理理论方向博士生、硕士生
已经有1人回复
» 本主题相关价值贴推荐,对您同样有帮助:
请教一个数据非线性拟合的问题
已经有11人回复
一个难倒我们全村人民的数学题,求教大家
已经有9人回复
想请教一个旋转矩阵的问题
已经有5人回复
先谢过了(求解一个物理的问题,急需数学大虾的帮助)
已经有7人回复
【求助】学数学的各位大侠们,帮个忙,一个简单的概率问题,我实在是。。不会
已经有6人回复
【求助】有奖求教:解变分问题
已经有4人回复
【求助】求助一个小球与箱子的问题,大家帮忙算一下概率[结束]
已经有9人回复
【求助】求教关于微分方程的一个问题
已经有3人回复
【求助】求教定积分问题
已经有13人回复
【求助】请大家帮忙看一下这三个题(微积分方面)【已解决】
已经有11人回复
【求助】一个二重积分问题【已解决】
已经有17人回复
【求助】请教一个数据处理问题
已经有11人回复
【求助】请教一个隐函数的求导问题
已经有10人回复
【求助】求问一个寻找最优解问题,是泛函问题么
已经有22人回复
小女子也。。。
1楼
2012-02-21 18:43:25
已阅
回复此楼
关注TA
给TA发消息
送TA红花
TA的回帖
dbb627
荣誉版主
(著名写手)
专家经验: +4
计算强帖: 12
应助: 289
(大学生)
贵宾: 0.589
金币: 24640.4
散金: 551
红花: 61
沙发: 1
帖子: 1246
在线: 1794.8小时
虫号: 149791
注册: 2005-12-29
性别: GG
专业: 污染控制化学
管辖:
计算模拟
【答案】应助回帖
感谢参与,应助指数 +1
lzg2010(金币+1): 2012-02-23 15:11:38
采用有限差分试试。
赞
一下
回复此楼
The more you learn, the more you know, the more you know, and the more you forget. The more you forget, the less you know. So why bother to learn.
2楼
2012-02-22 11:13:15
已阅
回复此楼
关注TA
给TA发消息
送TA红花
TA的回帖
信彼南山
木虫
(著名写手)
应助: 33
(小学生)
金币: 4142.9
散金: 1221
红花: 16
帖子: 1178
在线: 233.5小时
虫号: 1133529
注册: 2010-10-27
专业: 导航、制导与传感技术
dbb627(金币+1): 欢迎交流 2012-02-22 22:33:58
没有S对x和C对t的偏导数,方程不封闭吧?
赞
一下
回复此楼
3楼
2012-02-22 12:58:43
已阅
回复此楼
关注TA
给TA发消息
送TA红花
TA的回帖
相关版块跳转
第一性原理
量子化学
计算模拟
分子模拟
仿真模拟
程序语言
我要订阅楼主
lzg2010
的主题更新
3
1/1
返回列表
如果回帖内容含有宣传信息,请如实选中。否则帐号将被全论坛禁言
普通表情
龙
兔
虎
猫
百度网盘
|
360云盘
|
千易网盘
|
华为网盘
在新窗口页面中打开自己喜欢的网盘网站,将文件上传后,然后将下载链接复制到帖子内容中就可以了。
信息提示
关闭
请填处理意见
关闭
确定