| ²é¿´: 2196 | »Ø¸´: 7 | ||
С¶£µ±½ð³æ (СÓÐÃûÆø)
|
[ÇóÖú]
ÏÈл¹ýÁË(Çó½âÒ»¸öÎïÀíµÄÎÊÌ⣬¼±ÐèÊýѧ´óϺµÄ°ïÖú£©
|
|
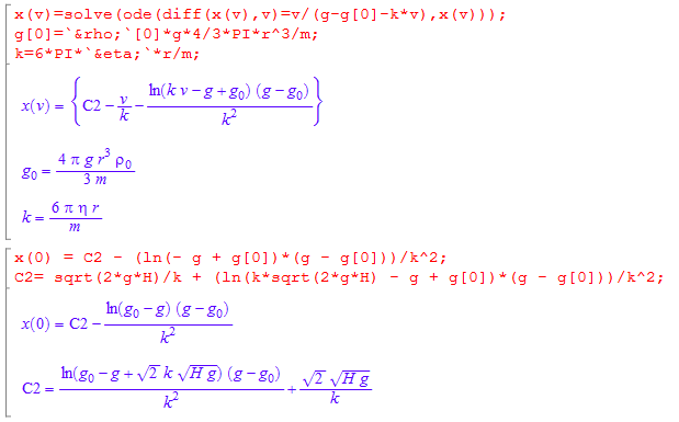
Ò»¸öÕâÑùµÄÎÊÌ⣬һ¸öСÇò´ÓÀëÁ÷Ìå±íÃæH¸ß´¦×ÔÓÉÏÂÂ䣬½øÈëÒºÃæºóÊܵ½Èý¸öÁ¦£ºÖØÁ¦¡¢¸¡Á¦¡¢Á÷Ìå¶ÔÆäµÄÕ³ÖÍÁ¦£¬×îÖÕÍ£Ö¹Ô˶¯£¬ÇóСÇòÂäÈëµÄÉî¶Èh¡£Ô˶¯¹ý³Ì¼°ÏàÓ¦µÄ¹«Ê½ÒѾ¸ø³öÁË£¬¾ßÌåµÄ¼û¸½¼þ¡£Ï£Íû¸ø³ö´ð°¸¼°Çó½â¹ý³Ì¡£¶àлÀ²¡£ ¸½¼þÔÚÎåÂ¥ [ Last edited by soliton923 on 2011-6-17 at 09:24 ] |
» ²ÂÄãϲ»¶
285Çóµ÷¼Á
ÒѾÓÐ10È˻ظ´
353Çóµ÷¼Á
ÒѾÓÐ7È˻ظ´
Çóµ÷¼Á
ÒѾÓÐ7È˻ظ´
²ÄÁÏ»¯¹¤306·ÖÕÒºÏÊʵ÷¼Á
ÒѾÓÐ11È˻ظ´
µ÷¼Á
ÒѾÓÐ8È˻ظ´
¹¤¿ÆÇóµ÷¼Á
ÒѾÓÐ13È˻ظ´
¸´ÊÔµ÷¼Á
ÒѾÓÐ5È˻ظ´
Ò»Ö¾Ô¸±±¾©»¯¹¤085600 310·ÖÇóµ÷¼Á
ÒѾÓÐ11È˻ظ´
Ò»Ö¾Ô¸±±¾©2£¬²ÄÁÏÓ뻯¹¤308Çóµ÷¼Á
ÒѾÓÐ10È˻ظ´
0817»¯Ñ§¹¤³ÌÓë¼¼ÊõÇóµ÷¼Á£¬Ò»Ö¾Ô¸Öк£Ñó319
ÒѾÓÐ9È˻ظ´
» ±¾Ö÷ÌâÏà¹Ø¼ÛÖµÌùÍÆ¼ö£¬¶ÔÄúͬÑùÓаïÖú:
Çó½âÒ»¸öÏòÁ¿0¿Õ¼äÇó½âµÄÎÊÌâ
ÒѾÓÐ3È˻ظ´
¹ØÓÚ±´úÍéµÄ¼¸µãÒÉÎÊ£¬Çë¸ßÊÖ½â´ð£¬ÏÈÐÐл¹ý£¡
ÒѾÓÐ17È˻ظ´
Çó½âÆ×°¡£¬Ã²ËÆÊÇÄ¾Ö¬ËØ°É~~´óÏÀÃǰï°ïæ°É~~~л¹ý~~
ÒѾÓÐ7È˻ظ´
¼±Çó£ºÏÂÃæµÄ¿Õ¼äºÍÆ½Ãæ·Ö²¼Í¼ÈçºÎ»æÖÆ£¬ÓÃʲôÈí¼þ£¿ÏÈÐÐл¹ý£¡
ÒѾÓÐ10È˻ظ´
Çó~fluentÖеÄÐýתÎÊÌâ!ÏÈл¹ý´ó¼Ò~
ÒѾÓÐ8È˻ظ´
´Å¿Ø½¦Éä³öÎÊÌâÁË´óϺÃǰï°ïæ
ÒѾÓÐ6È˻ظ´
¡¾ÇóÖú¡¿¼¯ÁеÄÉÏϼ«ÏÞµÄÈý¸öÎÊÌ⣿Çë´óϺ½â´ð
ÒѾÓÐ14È˻ظ´
¡¾ÇóÖú¡¿¹ØÓÚÍâ²â¶È£¬×Ô¼º²ÂÏëµÄÒ»¸öÐÔÖÊ£¿Çë´óϺ¿´¿´¶Ô²»¶Ô
ÒѾÓÐ9È˻ظ´
ÇóÒ»¶ÎÓйØÉúÎïѧÖÐÎÄ·Òë³ÉÓ¢ÎÄ ·Ç³ÏÎðÈÅ£¨·ÒëµÃºÃ£¬½ð±Ò¿É×·¼Ó£¬ÏÈл¹ý£©
ÒѾÓÐ5È˻ظ´
¡¾ÇóÖú¡¿¹ØÓÚ³¬±àÈËÔ±£¬ÇëÖªµÀºÍÁ˽âµÄ°ï棬¼±~~ÏÈл¹ý
ÒѾÓÐ34È˻ظ´
¡¾ÇóÖú¡¿Çë½ÌÓйعÌÌå´ÅÐÔµÄÎÊÌ⣿ÏÈл¹ýÀ²
ÒѾÓÐ5È˻ظ´
¡¾Çë½Ì¡¿ÈçºÎÈ·¶¨¾§ÌåµÄ¾§°û²ÎÊý¼°¿Õ¼äµãȺ£¿ÏÈл¹ý£¡
ÒѾÓÐ7È˻ظ´
¡¾ÇóÖú¡¿PETµÄÈÈÖØ·ÖÎöDTGÇúÏßΪʲô»áÓÐÁ½¸öÈȽµ½â·å£¿ÏÈл¹ýÁË£¡
ÒѾÓÐ18È˻ظ´
500±ÒÇóÖú3P97Ò©¶¯Èí¼þ¼°Æä½Ì³Ì£¬ÏÈл¹ý¸÷λ´óϺ£¡
ÒѾÓÐ20È˻ظ´
13500558820
Òø³æ (ÎÄ̳¾«Ó¢)
ÌìÅî´óԪ˧¡ª¡ªÌìÉÏÈ˼ä¶Ê³¤
- Ó¦Öú: 0 (Ó×¶ùÔ°)
- ½ð±Ò: 858.4
- É¢½ð: 7807
- ºì»¨: 118
- ɳ·¢: 170
- Ìû×Ó: 12713
- ÔÚÏß: 1168.1Сʱ
- ³æºÅ: 1140029
- ×¢²á: 2010-11-06
- ÐÔ±ð: GG
- רҵ: ¾ü¶ÓÖ¸»Óѧ

2Â¥2011-06-14 09:09:21
wyf19920719
ͳæ (СÓÐÃûÆø)
- Ó¦Öú: 0 (Ó×¶ùÔ°)
- ½ð±Ò: 155.6
- É¢½ð: 17
- ºì»¨: 2
- Ìû×Ó: 182
- ÔÚÏß: 13.6Сʱ
- ³æºÅ: 1319717
- ×¢²á: 2011-06-10
- ÐÔ±ð: GG
- רҵ: ·ºº¯·ÖÎö
3Â¥2011-06-14 12:13:22
С¶£µ±
½ð³æ (СÓÐÃûÆø)
- Ó¦Öú: 0 (Ó×¶ùÔ°)
- ½ð±Ò: 627.4
- ºì»¨: 1
- Ìû×Ó: 119
- ÔÚÏß: 5.5Сʱ
- ³æºÅ: 178515
- ×¢²á: 2006-02-07
- רҵ: µç»¯Ñ§
4Â¥2011-06-14 13:57:38
С¶£µ±
½ð³æ (СÓÐÃûÆø)
- Ó¦Öú: 0 (Ó×¶ùÔ°)
- ½ð±Ò: 627.4
- ºì»¨: 1
- Ìû×Ó: 119
- ÔÚÏß: 5.5Сʱ
- ³æºÅ: 178515
- ×¢²á: 2006-02-07
- רҵ: µç»¯Ñ§
5Â¥2011-06-14 14:31:35
wayyybn
Ìú¸Ëľ³æ (ÕýʽдÊÖ)
- Ó¦Öú: 0 (Ó×¶ùÔ°)
- ½ð±Ò: 5576.8
- É¢½ð: 80
- ºì»¨: 4
- Ìû×Ó: 370
- ÔÚÏß: 277.5Сʱ
- ³æºÅ: 782847
- ×¢²á: 2009-05-30
- ÐÔ±ð: GG
- רҵ: ¹ÌÌåÁ¦Ñ§

6Â¥2011-06-14 20:44:31
wayyybn
Ìú¸Ëľ³æ (ÕýʽдÊÖ)
- Ó¦Öú: 0 (Ó×¶ùÔ°)
- ½ð±Ò: 5576.8
- É¢½ð: 80
- ºì»¨: 4
- Ìû×Ó: 370
- ÔÚÏß: 277.5Сʱ
- ³æºÅ: 782847
- ×¢²á: 2009-05-30
- ÐÔ±ð: GG
- רҵ: ¹ÌÌåÁ¦Ñ§

7Â¥2011-06-14 20:46:02
duotojh
½ð³æ (СÓÐÃûÆø)
- Ó¦Öú: 9 (Ó×¶ùÔ°)
- ½ð±Ò: 1066.6
- ºì»¨: 5
- Ìû×Ó: 225
- ÔÚÏß: 137.8Сʱ
- ³æºÅ: 1290636
- ×¢²á: 2011-05-09
- רҵ: ÉúÎïÎïÀí¡¢ÉúÎﻯѧÓë·Ö×Ó
¡¾´ð°¸¡¿Ó¦Öú»ØÌû
С¶£µ±(½ð±Ò+10): ʵ¼ÊÉÏËٶȲ»¿ÉÄܵÈÓÚÁ㣬µ«»¹ÊǷdz£¸ÐлÄãµÄÈÈÐİïÖú 2011-07-01 10:47:26
С¶£µ±(½ð±Ò+3): лл°ïÖú£¬ÏÖÔÚÒѾ½â¾öÁË¡£ 2011-11-28 15:38:45
С¶£µ±(½ð±Ò+3): лл°ïÖú£¬ÏÖÔÚÒѾ½â¾öÁË¡£ 2011-11-28 15:38:45
|
ÏÈËٶȶÔʱ¼äµÄ΢·Öת»¯³É¶ÔÎ»ÒÆµÄ΢·Ö£¬½â³öÎ»ÒÆx¹ØÓÚËÙ¶ÈvµÄº¯Êý¹ØÏµ£¬È»ºóÒÔСÇò´¦ÓÚÒºÌå±íÃæÊ±Îª³õÖµÌõ¼þ½â³ö´ý¶¨ÏµÊý£¬×îºóËٶȵÈÓÚ0ʱµÃµ½µÄÎ»ÒÆ¾ÍÊÇСÇòϽµµÄ×î´óÉî¶È¡£ ÓÃMatlabÏÔʾ¾ßÌåµÄÇó½â¹ý³ÌÈçÏ£º |
8Â¥2011-06-18 12:39:41














»Ø¸´´ËÂ¥