| 查看: 1681 | 回复: 4 | |||
老花木虫 (著名写手)
老花
|
[求助]
帮忙用MATLABode45求解2阶微分方程-----新问题!
|
|
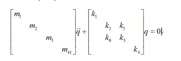
帮忙用ode45求解2阶微分方程。方程如下! 求解q的特征值和特征性向量! 求解 q值! ps:m,k 请用矩阵表示,m为对角阵!因为实际上m,k都是56行,56列的矩阵! 赋值的时候,能否用矩阵表示? 只写出过程来就可以! 那个帖子已经无法追加金币,故再次开贴!见谅! [ Last edited by 老花 on 2011-5-23 at 22:13 ] |
» 收录本帖的淘帖专辑推荐
〖经典科研帖子〗 |
» 猜你喜欢
UJN物理学专业调剂
已经有12人回复
北京纳米能源与系统研究所王中林院士/曹南颖研究员课题组招收2026硕士研究生1名
已经有0人回复
物理学I论文润色/翻译怎么收费?
已经有78人回复
山西大同大学物理学硕士研究生招收调剂生
已经有0人回复
[调剂信息]211智能人工感知方向国家青年特聘专家课题组招收调剂研究生
已经有0人回复
[调剂信息]211智能人工感知方向国家青年特聘专家课题组招收调剂研究生
已经有0人回复
[调剂信息]211智能人工感知方向国家青年特聘专家课题组招收调剂研究生
已经有0人回复
一志愿物理所凝聚态物理352求调剂
已经有0人回复
0702一志愿吉大B区求调剂 本科期间发表一篇Sci
已经有2人回复
0702一志愿吉大B区求调剂 本科期间发表一篇Sci
已经有0人回复
» 本主题相关价值贴推荐,对您同样有帮助:
变系数偏微分方程matlab求解
已经有6人回复
这个两个二阶微分方程的求解
已经有7人回复
偏微分方程求解!
已经有4人回复
mathcad怎样用四阶龙格库塔法求解二阶微分方程?
已经有8人回复
关于matlab中的plot描点画线问题
已经有4人回复
Vibration Simulation Using MATLAB and ANSYS
已经有25人回复
帮忙看看nyquist图和bode图
已经有3人回复
对角阵的-1/2怎么算
已经有7人回复
如何求解描述振动的二阶微分方程
已经有21人回复
请帮忙用matlab求矩阵特征值
已经有8人回复
帮忙求解一道微分方程的题目
已经有7人回复
用MATLAB ode45求解2阶微分方程
已经有4人回复
【求助】急求各位大侠,关于用ode45解微分方程
已经有8人回复
【求助完毕】用ode逆向求解微分方程问题
已经有4人回复
【求助】请教二阶微分方程的特解(含初始条件)
已经有8人回复
【求助】求解以二阶微分方程,赠金币!!
已经有13人回复


2楼2011-05-24 00:53:16
老花
木虫 (著名写手)
老花
- 应助: 0 (幼儿园)
- 贵宾: 0.402
- 金币: 2974.7
- 散金: 6205
- 红花: 41
- 沙发: 4
- 帖子: 2851
- 在线: 930.8小时
- 虫号: 1170496
- 注册: 2010-12-15
- 性别: GG
- 专业: 机械动力学

3楼2011-05-25 11:44:52
4楼2011-05-25 17:17:50
老花
木虫 (著名写手)
老花
- 应助: 0 (幼儿园)
- 贵宾: 0.402
- 金币: 2974.7
- 散金: 6205
- 红花: 41
- 沙发: 4
- 帖子: 2851
- 在线: 930.8小时
- 虫号: 1170496
- 注册: 2010-12-15
- 性别: GG
- 专业: 机械动力学

5楼2011-05-30 21:55:55














回复此楼