| ²é¿´: 2686 | »Ø¸´: 17 | |||
houyanxu½ð³æ (³õÈëÎÄ̳)
|
[ÇóÖú]
¹ØÓÚMATLAB£¬eigÇóÌØÕ÷Öµº¯ÊýµÄÎÊÌâ ÒÑÓÐ7È˲ÎÓë
|
||
|
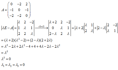
¾ØÕó A = 0 -2 2 -1 0 -1 -2 -2 0 ÓÃeigº¯ÊýÇóÌØÕ÷Öµ [V,D]=eig(A) ½á¹ûΪ V = -0.5773 - 0.0000i -0.5773 + 0.0000i 0.5774 0.5774 + 0.0000i 0.5774 - 0.0000i -0.5774 0.5774 0.5774 -0.5773 D = 1.0e-04 * -0.0540 + 0.0936i 0 0 0 -0.0540 - 0.0936i 0 0 0 0.1081 µ«ÊÖËãÕâ¸ö¾ØÕóµÄÌØÕ÷ÖµÃ÷ÏÔÊÇ 0£¬ 0 £¬ 0 Çë½Ìһϸ÷λ~ллÀ² |
» ²ÂÄãϲ»¶
308Çóµ÷¼Á
ÒѾÓÐ3È˻ظ´
321Çóµ÷¼Á
ÒѾÓÐ11È˻ظ´
Ò»Ö¾Ô¸Öк£Ñó²ÄÁϹ¤³Ìר˶330·ÖÇóµ÷¼Á
ÒѾÓÐ8È˻ظ´
330Çóµ÷¼Á
ÒѾÓÐ4È˻ظ´
304Çóµ÷¼Á
ÒѾÓÐ7È˻ظ´
Ò»Ö¾Ô¸ÄϾ©Àí¹¤´óѧ085701×ÊÔ´Óë»·¾³302·ÖÇóµ÷¼Á
ÒѾÓÐ6È˻ظ´
ÄϾ©´óѧ»¯Ñ§376Çóµ÷¼Á
ÒѾÓÐ3È˻ظ´
¿¼Ñе÷¼ÁÇóÑ§Ð£ÍÆ¼ö
ÒѾÓÐ5È˻ظ´
323Çóµ÷¼Á
ÒѾÓÐ3È˻ظ´
317Çóµ÷¼Á
ÒѾÓÐ12È˻ظ´
» ±¾Ö÷ÌâÏà¹Ø¼ÛÖµÌùÍÆ¼ö£¬¶ÔÄúͬÑùÓаïÖú:
¹ØÓÚmatlab½øÐиµÀïÒ¶Äæ±ä»»µÄ³ÌÐò£¬Çó´óÉñÖ¸µ¼£¡
ÒѾÓÐ2È˻ظ´
¹ØÓÚÁºµÄÒ»¸ö¼òµ¥µÄmatlab³ÌÐò£¬ÎÒÏëÇó³öÕâ¸ö·½³ÌµÄÁãµã£¬Çó´óÉñÖ¸µã
ÒѾÓÐ3È˻ظ´
ÇóÊýѧ´óÉñ£¬¹ØÓÚMATLAB·ÂÕæÏµÄ×îС¶þ³Ë·¨µÄÄâºÏº¯ÊýµÄ±í´ï·½Ê½¡£Ð»Ð»´óÉñ
ÒѾÓÐ6È˻ظ´
matlabÇóÖ¸Êýº¯Êý»ý·Ö£¬Çë¸ßÊÖ°ïÖú£¬²»Ê¤¸Ð¼¤
ÒѾÓÐ13È˻ظ´
ÇóÖúʹÓÃMatlabÇó½â¶¨»ý·ÖµÄÎÊÌ⣬Íû¸ßÊÖ°ïæ½â´ð¡£
ÒѾÓÐ1È˻ظ´
¹ØÓÚ×ÔÓÉ»ù¾ÛºÏ²ÎÊýÄâºÏµÄÒ»¸ömatlab´úÂ룬Çó´óÉñ¿´¿´´íÄÄÁË£¿
ÒѾÓÐ0È˻ظ´
¹ØÓÚYCbCrÖÐCr^2,Cb^2,ÒÔ¼°Cr/Cb±à³ÌÔÚmatlabÖеÄʵÏÖ
ÒѾÓÐ0È˻ظ´
¹ØÓڸĽøBPËã·¨µÄMATLAB±à³ÌµÄÎÊÌ⣬Çë¸÷λ´óÉñ°ï°ïæ
ÒѾÓÐ0È˻ظ´
MatlabÓÃfsolveÇó½â·ÇÏßÐÔ·½³Ì£¬¿¨ÁËÈýËÄÌìÁ˹òÇó°ïÖú£¡
ÒѾÓÐ35È˻ظ´
ºô½Ð°æÖ÷£¬ÔÚÏß½ô¼±ÇóÖú£¬¹ØÓÚmatlabÖÐ΢·Ö·½³Ì×é²ÎÊýÄâºÏµÃÎÊÌ⣡
ÒѾÓÐ12È˻ظ´
matlab±à³ÌÖйØÓÚforÓï¾äÖÐ[V,D]=eig(A)µÄÓ÷¨
ÒѾÓÐ2È˻ظ´
µÚһƪSCIÎÄÕ£¬ÊÕµ½´óÐÞµÄÏûÏ¢£¬¸ÄןÄ×ÅûÐÅÐÄÁË£¡¡£¡£¡£
ÒѾÓÐ6È˻ظ´
¹ØÓÚmatlab½øÐиµÀïÒ¶±ä»»ºÍÄæ±ä»»µÄ³ÌÐò£¬Çó´óÉñÖ¸µ¼£¡
ÒѾÓÐ9È˻ظ´
Çë½Ì´ó¼Ò¹ØÓÚmatlab³õÖµµÄÎÊÌâ
ÒѾÓÐ4È˻ظ´
¹ØÓÚMatlab
ÒѾÓÐ3È˻ظ´
Çë°ïæ¿´¹þÕâ¸ö¹ØÓÚ×îС¶þ³ËµÄmatlab³ÌÐò£¬Ð»Ð»°¡£¡
ÒѾÓÐ0È˻ظ´
MATLAB¹ØÓÚlsqcurvefit³ÌÐò¼¸¸ö´íÎó£¬Çó´óÉñÖ¸µ¼Ò»ÏÂ
ÒѾÓÐ6È˻ظ´
WolframAlpha,Ò»¸öºÜ²»´íµÄÍøÕ¾£¬ºÜÊʺÏÔÛÑо¿ÉúÃÇÓÃŶ£¡
ÒѾÓÐ103È˻ظ´
³õѧÕߣ¬Çë½Ì´ó¼Ò¹ØÓÚmatlab½â¶àÔª¶þ´Î·½³Ì×é
ÒѾÓÐ4È˻ظ´
³õѧÕߣ¬Çë½Ì´ó¼Ò¹ØÓÚmatlab½â¶àÔª¶þ´Î·½³Ì×é
ÒѾÓÐ1È˻ظ´
¡¾ÇóÖú¡¿¹ØÓÚ¡°À©ÕÅ״̬¹Û²âÆ÷¡±£¬ESO£¬ÀëÉ¢¶¯Ì¬·½³Ì¼ÆËã·½·¨
ÒѾÓÐ2È˻ظ´
¡¾·ÖÏí¡¿Ñ§Ï°MATLABµÄ¿´¹ýÀ´£¬¡¶MATLABÖÐÎİïÖú¡·Í¨¹ý¾ØÕóÈÃÄã¸üºÃµÄ´¦ÀíÊý¾Ý£¡
ÒѾÓÐ16È˻ظ´

hlg154003231
½ð³æ (СÓÐÃûÆø)
- Ó¦Öú: 11 (СѧÉú)
- ½ð±Ò: 1881
- ºì»¨: 1
- Ìû×Ó: 280
- ÔÚÏß: 276.7Сʱ
- ³æºÅ: 1763257
- ×¢²á: 2012-04-18
- ÐÔ±ð: GG
- רҵ: Ö²ÎïÒÅ´«Ñ§
|
¾ÍÊÇA ÔÔòÉÏÊDz»¿ÉÄܶԽǻ¯µÄ£¬£¬£¬µ«ÊÇMATLABÈÎÈ»¿ÉÒÔÕÒµ½Ò»¸ö¶Ô½Ç¾ØÕóDºÍÏàÓ¦µÄ¾ØÕóV£¬£¬£¬Ê¹µÃA=V*D*V^-1£¨ÕâÀï²»¿ÉÄÜÑϸñÏàµÈ£©£¬£¬£¬£¬£¬£¬£¬£¬ÕâÖÖ·Ö½âÔÚ¹¤³ÌÓ¦Ó÷½ÃæÒâÒåÖØ´óàÞ¡£¡£¡£¡£ |
13Â¥2016-01-06 19:19:05
dk1013
ľ³æ (ÕýʽдÊÖ)
- Ó¦Öú: 61 (³õÖÐÉú)
- ½ð±Ò: 4285.5
- É¢½ð: 246
- ºì»¨: 13
- Ìû×Ó: 988
- ÔÚÏß: 3204.6Сʱ
- ³æºÅ: 980198
- ×¢²á: 2010-03-23
- ÐÔ±ð: GG
- רҵ: Äý¾Û̬ÎïÐÔ II £ºµç×ӽṹ
|
ÉÏÃæ¼¸Î»ËµµÄÒѾ½âÊÍÄãµÄÎÊÌâÁË¡£ Ê×ÏÈÄãÕâ¸ö¾ØÕóÊÇÆæÒì¾ØÕó,Ìõ¼þÊýÓ¦¸ÃÊÇInf¡£ÉÏÃæ¸ø³öµÄÓ¦¸ÃÊÇÊýÖµ½üËÆ¡£ µ«ÎÞÂÛÈçºÎ£¬Õâô´óµÄÌõ¼þÊýÒâζ×ÅÄãÓÃmatlabËã³öµÄ½á¹û»ù±¾ÉÏûʲôÓô¦¡£ Äã¿ÉÒÔ¶à¿´¼¸Î»Ð¡Êýµã£¨ÓÃformat longÃüÁ¡£ Äã»á·¢ÏÖÆäʵMATLAB¸ø³öµÄ½â(u,v)=eig(A)²¢²»ÑϸñÂú×ãA*u=u*v£¨ºóÃæÒ»Ð©Ð¡Êý¶Ô²»ÉÏ£©¡£»»¾ä»°Ëµ¾ÍÊǽâÊÇ´íµÄ¡£ ÄãÊÖËãµÄûÎÊÌâ¡£ |
» ±¾ÌûÒÑ»ñµÃµÄºì»¨£¨×îÐÂ10¶ä£©

14Â¥2016-01-06 22:07:17
jollage
Òø³æ (ÕýʽдÊÖ)
- Ó¦Öú: 5 (Ó×¶ùÔ°)
- ½ð±Ò: 303.5
- É¢½ð: 55
- ºì»¨: 3
- Ìû×Ó: 345
- ÔÚÏß: 113.6Сʱ
- ³æºÅ: 749060
- ×¢²á: 2009-04-15
- רҵ: Á÷ÌåÁ¦Ñ§
2Â¥2016-01-05 22:32:32
houyanxu
½ð³æ (³õÈëÎÄ̳)
- Ó¦Öú: 0 (Ó×¶ùÔ°)
- ½ð±Ò: 767.2
- É¢½ð: 270
- Ìû×Ó: 35
- ÔÚÏß: 33Сʱ
- ³æºÅ: 2696536
- ×¢²á: 2013-10-03
- ÐÔ±ð: GG
- רҵ: ÉúÎïµç×ÓѧÓëÉúÎïÐÅÏ¢´¦Àí

3Â¥2016-01-05 23:58:32
getengqing
ľ³æ (ÕýʽдÊÖ)
- Ó¦Öú: 104 (¸ßÖÐÉú)
- ½ð±Ò: 3759.8
- É¢½ð: 30
- ºì»¨: 5
- Ìû×Ó: 592
- ÔÚÏß: 110.5Сʱ
- ³æºÅ: 2986702
- ×¢²á: 2014-02-23
- ÐÔ±ð: GG
- רҵ: ×ÔÈ»ÓïÑÔÀí½âÓë»úÆ÷·Òë

4Â¥2016-01-06 09:03:18
¶À¹ÂÉñÓî
°æÖ÷ (ÖªÃû×÷¼Ò)
- Ó¦Öú: 490 (˶ʿ)
- ¹ó±ö: 0.008
- ½ð±Ò: 31016.3
- É¢½ð: 802
- ºì»¨: 122
- ɳ·¢: 1
- Ìû×Ó: 5600
- ÔÚÏß: 856.5Сʱ
- ³æºÅ: 3522474
- ×¢²á: 2014-11-06
- ÐÔ±ð: GG
- רҵ: »úе¶¯Á¦Ñ§
- ¹ÜϽ: ¼ÆËãÄ£Äâ
¡¾´ð°¸¡¿Ó¦Öú»ØÌû
¸Ðл²ÎÓ룬ӦÖúÖ¸Êý +1
|
·Ç¶Ô³Æ¾ØÕóÌØÕ÷¸ùΪ¸ºÊý¡£Â¥Ö÷È·¶¨Ã»ÓÐŪ´í£¿ ·¢×ÔСľ³æIOS¿Í»§¶Ë |

5Â¥2016-01-06 10:23:51
houyanxu
½ð³æ (³õÈëÎÄ̳)
- Ó¦Öú: 0 (Ó×¶ùÔ°)
- ½ð±Ò: 767.2
- É¢½ð: 270
- Ìû×Ó: 35
- ÔÚÏß: 33Сʱ
- ³æºÅ: 2696536
- ×¢²á: 2013-10-03
- ÐÔ±ð: GG
- רҵ: ÉúÎïµç×ÓѧÓëÉúÎïÐÅÏ¢´¦Àí

6Â¥2016-01-06 13:02:38
houyanxu
½ð³æ (³õÈëÎÄ̳)
- Ó¦Öú: 0 (Ó×¶ùÔ°)
- ½ð±Ò: 767.2
- É¢½ð: 270
- Ìû×Ó: 35
- ÔÚÏß: 33Сʱ
- ³æºÅ: 2696536
- ×¢²á: 2013-10-03
- ÐÔ±ð: GG
- רҵ: ÉúÎïµç×ÓѧÓëÉúÎïÐÅÏ¢´¦Àí

7Â¥2016-01-06 13:12:54
¡ï
¸Ðл²ÎÓ룬ӦÖúÖ¸Êý +1
ben_ladeng: ½ð±Ò+1, ÆÁ±ÎÄÚÈÝ, »¶Ó³£À´ 2016-01-07 09:39:35
¸Ðл²ÎÓ룬ӦÖúÖ¸Êý +1
ben_ladeng: ½ð±Ò+1, ÆÁ±ÎÄÚÈÝ, »¶Ó³£À´ 2016-01-07 09:39:35
|
±¾ÌûÄÚÈݱ»ÆÁ±Î |
8Â¥2016-01-06 13:55:57
fxj126
ľ³æ (СÓÐÃûÆø)
- Ó¦Öú: 35 (СѧÉú)
- ½ð±Ò: 3531
- É¢½ð: 18
- ºì»¨: 3
- Ìû×Ó: 242
- ÔÚÏß: 74.8Сʱ
- ³æºÅ: 2926855
- ×¢²á: 2014-01-11
- רҵ: ¹âѧ
9Â¥2016-01-06 14:17:11
hlg154003231
½ð³æ (СÓÐÃûÆø)
- Ó¦Öú: 11 (СѧÉú)
- ½ð±Ò: 1881
- ºì»¨: 1
- Ìû×Ó: 280
- ÔÚÏß: 276.7Сʱ
- ³æºÅ: 1763257
- ×¢²á: 2012-04-18
- ÐÔ±ð: GG
- רҵ: Ö²ÎïÒÅ´«Ñ§
10Â¥2016-01-06 16:23:39













»Ø¸´´ËÂ¥
houyanxu