| 查看: 566 | 回复: 1 | |||
616840392金虫 (小有名气)
|
[求助]
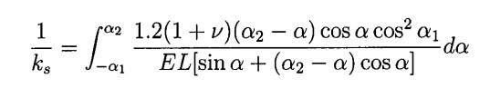
求助使用Matlab求解定积分的问题,望高手帮忙解答。 已有1人参与
|
||
![]() |
|||
|
|
|||
月只蓝主管区长 (职业作家)
|
|||
![]() |
|||
|
2楼2014-12-17 17:09:20
|
|













回复此楼
